Todo
Apuntes
Ejercicios
Exámenes
Prácticas
Test
chevron_left
chevron_right
Anónimo

@Anónimo

Apuntes final con todas las preguntas importantes

26 páginas

He publicado nuevos apuntes de 3º Dirección Comercial II: Ejercicios-Fijacion-de-Precios-Resueltos-Direccion-Comercial-II.pdf

6 páginas

Apuntes del procedimiento de fijación de precios para los ejercicios

5 páginas

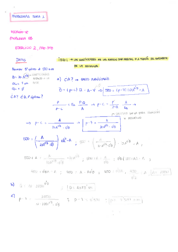
Todos los ejercicios del Boletin de DC 2 resueltos

8 páginas

apuntes

-

Temas

He publicado nuevos apuntes de 3º Dirección Comercial II: Temas

tema-1.pdf
tema-1.pdf
tema-2.pdf
tema-2.pdf
tema-3.pdf
tema-3.pdf

He publicado nuevos apuntes de 3º Dirección Comercial II: TEST-Examen.pdf

9 páginas

He publicado nuevos apuntes de 3º Dirección Comercial II: TEST-CLASE.pdf

1 página

He publicado nuevos examenes de 3º Dirección Comercial II: TEST-TEMA-1-Y-2-RESUELTO.pdf

10 páginas

He publicado nuevos apuntes de 3º Dirección Comercial II: FIJACION-DE-PRECIOS-pdf.pdf

5 páginas

apuntes

-

EJERCICIOS PRECIOS

He publicado nuevos apuntes de 3º Dirección Comercial II: EJERCICIOS PRECIOS

BOLETIN-PRECIOS-RESUELTO.pdf
BOLETIN-PRECIOS-RESUELTO.pdf
FORMULAS-PRECIOS.pdf
FORMULAS-PRECIOS.pdf

apuntes

-

Apuntes Dirección Comercial II

He publicado nuevos apuntes de 3º Dirección Comercial II: Apuntes Dirección Comercial II

Tema-1.pdf
Tema-1.pdf
Tema-2.pdf
Tema-2.pdf
Tema-3.pdf
Tema-3.pdf

He publicado nuevos apuntes de 3º Dirección Comercial II: TEMA-2-DC-II.pdf

4 páginas

He publicado nuevos apuntes de 3º Dirección Comercial II: TEMA-1-DC-II.pdf

4 páginas

apuntes

-

temario

He publicado nuevos apuntes de 3º Dirección Comercial II: temario

TEMA-1-definitivo.pdf
TEMA-1-definitivo.pdf
TEMA-2.pdf
TEMA-2.pdf
TEMA-3-EL-PRECIO-DE-VENTA.pdf
TEMA-3-EL-PRECIO-DE-VENTA.pdf

apuntes

-

temario

He publicado nuevos apuntes de 3º Dirección Comercial II: temario

tema-1.pdf
tema-1.pdf
tema-2.pdf
tema-2.pdf
tema-3.pdf
tema-3.pdf

practicas

-

epd retos actuales

He publicado nuevos practicas de 3º Dirección Comercial II: epd retos actuales

direccion-comercial-2RETOS-ACTUALES-PARA-LA-DIRECCION-Procesos-T5-word..pdf
direccion-comercial-2RETOS-ACTUALES-PARA-LA-DIRECCION-Procesos-T5-word..pdf
procesos-RETOS-ACTUALES-PARA-LA-DIRECCION-Procesos-T5.pdf
procesos-RETOS-ACTUALES-PARA-LA-DIRECCION-Procesos-T5.pdf

apuntes

-

TODOS LOS APUNTES DE DC II

He publicado nuevos apuntes de 3º Dirección Comercial II: TODOS LOS APUNTES DE DC II

TEMA-1.pdf
TEMA-1.pdf
TEMA-2.pdf
TEMA-2.pdf
TEMA-4.pdf
TEMA-4.pdf

apuntes

-

tipo test

He publicado nuevos apuntes de 3º Dirección Comercial II: tipo test

5ad9475e-c654-48e8-b3b8-ec53a49303cb3.jpg
5ad9475e-c654-48e8-b3b8-ec53a49303cb3.jpg
06b4c7de-c423-455b-9ad6-f1355ddca1c3.jpg
06b4c7de-c423-455b-9ad6-f1355ddca1c3.jpg
6a60c23a-d369-4661-b4ce-e4aa7fda08061.jpg
6a60c23a-d369-4661-b4ce-e4aa7fda08061.jpg

apuntes

-

EB Temario completo

He publicado nuevos apuntes de 3º Dirección Comercial II: EB Temario completo

TEMA-3.pdf
TEMA-3.pdf
TEMA-5.pdf
TEMA-5.pdf
TEMA-2.pdf
TEMA-2.pdf

apuntes

-

TEMARIO DIRECCIÓN COMERCIAL

He publicado nuevos apuntes de 3º Dirección Comercial II: TEMARIO DIRECCIÓN COMERCIAL

Tema-4-Direccion-Comercial-II.pdf
Tema-4-Direccion-Comercial-II.pdf
Tema-2-direccion-comercial-ii.pdf
Tema-2-direccion-comercial-ii.pdf
TEMA-1-Direccion-comercial-II.pdf
TEMA-1-Direccion-comercial-II.pdf

apuntes

-

1º Y 2º PARCIAL (inglés)

He publicado nuevos apuntes de 3º Dirección Comercial II: 1º Y 2º PARCIAL (inglés)

VIDEOS-T4-Y-5-MKT.pdf
VIDEOS-T4-Y-5-MKT.pdf
mkt-t4-y-5.pdf
mkt-t4-y-5.pdf
T123-DIRECCION-COMERCIAL.pdf
T123-DIRECCION-COMERCIAL.pdf

ejercicios

-

TODOS LOS EJERCICIOS DIR COMERCIAL 2

He publicado nuevos ejercicios de 3º Dirección Comercial II: TODOS LOS EJERCICIOS DIR COMERCIAL 2

RESOLUCION-BOLETIN-EJERCICIOS-FIJACION-DE-PRECIOS.pdf
RESOLUCION-BOLETIN-EJERCICIOS-FIJACION-DE-PRECIOS.pdf
ENUNCIADOS-BOLETIN-EJERCICIOS-PRESUPUESTO-DE-MARKETING.pdf
ENUNCIADOS-BOLETIN-EJERCICIOS-PRESUPUESTO-DE-MARKETING.pdf
RESOLUCION-BOLETIN-EJERCICIOS-PRESUPUESTO-MARKETING.pdf
RESOLUCION-BOLETIN-EJERCICIOS-PRESUPUESTO-MARKETING.pdf

apuntes

-

TEST COMERCIAL II

He publicado nuevos apuntes de 3º Dirección Comercial II: TEST COMERCIAL II

WhatsApp-Image-2016-11-28-at-19.jpg
WhatsApp-Image-2016-11-28-at-19.jpg
WhatsApp-Image-2016-11-11-at-12.jpg
WhatsApp-Image-2016-11-11-at-12.jpg

apuntes

-

EXAMENES

He publicado nuevos apuntes de 3º Dirección Comercial II: EXAMENES

IMG-20150614-WA0006.jpg
IMG-20150614-WA0006.jpg
IMG-20150614-WA0013.jpg
IMG-20150614-WA0013.jpg
IMG-20150614-WA0012.jpg
IMG-20150614-WA0012.jpg

apuntes

-

EJERCICIOS DC II

He publicado nuevos apuntes de 3º Dirección Comercial II: EJERCICIOS DC II

EJERCICIOS-FIJACION-DE-PRECIOS.pdf
EJERCICIOS-FIJACION-DE-PRECIOS.pdf
EJERCICIOS-PRESUPUESTO-DE-MKT.pdf
EJERCICIOS-PRESUPUESTO-DE-MKT.pdf

apuntes

-

APUNTES DIRECCIÓN

He publicado nuevos apuntes de 3º Dirección Comercial II: APUNTES DIRECCIÓN

TEMA-1.pdf
TEMA-1.pdf
TEMA-5.pdf
TEMA-5.pdf
TEMA-3.pdf
TEMA-3.pdf

apuntes

-

apuntes y problemas d.comercial II

He publicado nuevos apuntes de 3º Dirección Comercial II: apuntes y problemas d.comercial II

TEMA-3.pdf
TEMA-3.pdf
TEMA-1.pdf
TEMA-1.pdf
PROBLEMAS-D.pdf
PROBLEMAS-D.pdf
Anónimo

@Anónimo

apuntes

-

APUNTES/TEMAS

He publicado nuevos apuntes de 3º Dirección Comercial II: APUNTES/TEMAS

TEMA 1.pdf
TEMA 1.pdf
TEMA 2.pdf
TEMA 2.pdf
TEMA 3.pdf
TEMA 3.pdf

apuntes

-

TEMARIO

He publicado nuevos apuntes de 3º Dirección Comercial II: TEMARIO

Tema 3 DCII (adaptado a libro) [Modo de compatibilidad].pdf
Tema 3 DCII (adaptado a libro) [Modo de compatibilidad].pdf
Tema 2 DCII (adaptado a libro) [Modo de compatibilidad].pdf
Tema 2 DCII (adaptado a libro) [Modo de compatibilidad].pdf
Tema 1 DCII [Modo de compatibilidad].pdf
Tema 1 DCII [Modo de compatibilidad].pdf
Anónimo

@Anónimo

EPD FOFUCHAS

2 páginas

apuntes

-

APUNTES

He publicado nuevos apuntes de 3º Dirección Comercial II: APUNTES

apuntes tema 2 direccion comerciall.docx
apuntes tema 2 direccion comerciall.docx
apuntes tema 1 direccion comercial.docx
apuntes tema 1 direccion comercial.docx
apuntes tema 4 direccion comerciall.docx
apuntes tema 4 direccion comerciall.docx