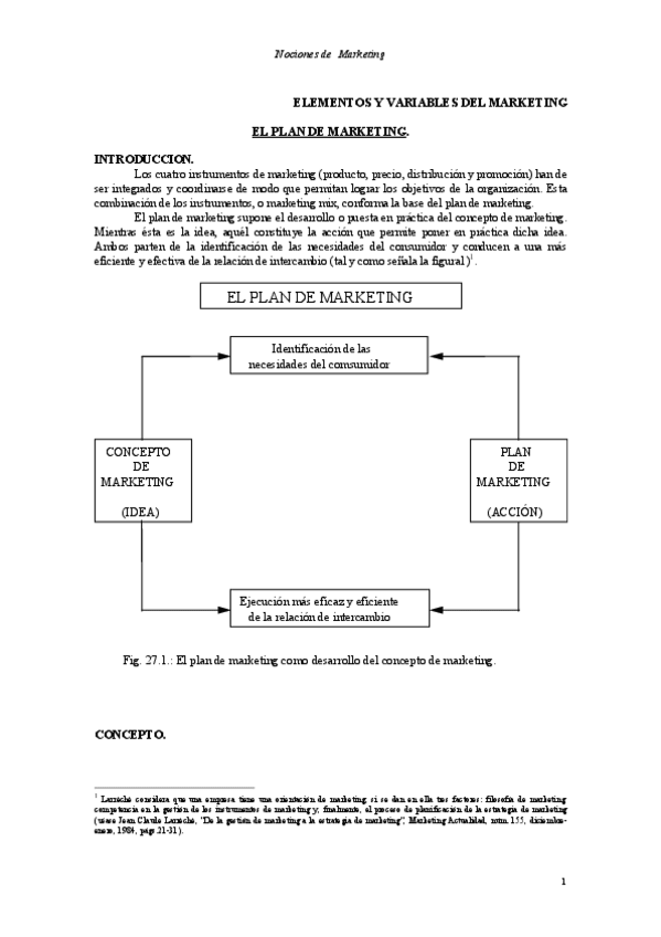
chevron_left
chevron_right
Todo
Apuntes
Exámenes
Prácticas
Test
chevron_left
chevron_right

Commercial management(inglés)

33 páginas

Apuntes de todos los temas

32 páginas

preguntas de los alumnos Lucía Sutil 25/26

20 páginas

Preguntas del 1er examen, con respuestas.

4 páginas

He publicado nuevos apuntes de 3º Dirección Comercial: TEMA-6.-DIRECC-COMER.pdf

4 páginas

He publicado nuevos apuntes de 3º Dirección Comercial: TEMA-7.-DIRECC-COMER.pdf

2 páginas

He publicado nuevos apuntes de 3º Dirección Comercial: TEMA-5-DIRECC-COMER.pdf

3 páginas

He publicado nuevos apuntes de 3º Dirección Comercial: TEMA-4-DIREC.-COMERCIAL.pdf

4 páginas

He publicado nuevos apuntes de 3º Dirección Comercial: TEMA-3-DIRECC-COMERCIAL.pdf

4 páginas

apuntes de clase de la profesora lucía sutil

41 páginas

He publicado nuevos apuntes de 3º Dirección Comercial: TEMA-2-DIREC-COMER.pdf

3 páginas

He publicado nuevos apuntes de 3º Dirección Comercial: TEMA-1-DIRECC-COMERCIAL.pdf

5 páginas

He publicado nuevos test de 3º Dirección Comercial: EXAMEN-COMERCIAL.pdf

4 páginas

Preguntas test exámenes general y por temas

45 páginas

He publicado nuevos apuntes de 3º Dirección Comercial: Direccion-Comercial.pdf

11 páginas

apuntes

-

Dirección Comercial

He publicado nuevos apuntes de 3º Dirección Comercial: Dirección Comercial

Examen-enero.pdf
Examen-manana.pdf

He publicado nuevos apuntes de 3º Dirección Comercial: Apuntes-Direccion-Comercial.pdf

26 páginas

He publicado nuevos apuntes de 3º Dirección Comercial: 6.1.-CONCEPTOS-INTRODUCTORIOS.pdf

2 páginas

He publicado nuevos apuntes de 3º Dirección Comercial: 5.1.-MARKETING-RELACIONAL.pdf

2 páginas

He publicado nuevos apuntes de 3º Dirección Comercial: TEMA-4.-GESTION-DEL-EQUIPO-DE-VENTAS.pdf

3 páginas

He publicado nuevos apuntes de 3º Dirección Comercial: tema-3.pdf

5 páginas

He publicado nuevos apuntes de 3º Dirección Comercial: tema-2.pdf

4 páginas

He publicado nuevos apuntes de 3º Dirección Comercial: tema-1.pdf

3 páginas

Le faltan algunos temas

13 páginas

apuntes

-

APUNTES DIRECCIÓN COMERCIAL

He publicado nuevos apuntes de 3º Dirección Comercial: APUNTES DIRECCIÓN COMERCIAL

TEMA-I.-DIRECCION-COMERCIAL-ACTUAL.pdf
TEMA-II.-EL-PLAN-COMERCIAL-O-DE-VENTAS-DIRECCION-COMERCIAL.pdf
TEMA-III.-LA-ORGANIZACION-DE-VENTAS-DIRECCION-COMERCIAL.pdf
TEMA-IV.-GESTION-DEL-EQUIPO-DE-VENTAS.pdf
TEMA-V.-ELEMENTOS-BASICOS-DE-LA-GESTION-DEL-CLIENTE.pdf
TEMA-VI.-GESTION-DE-CLIENTES-EN-BASE-AL-VALOR.pdf

He publicado nuevos apuntes de 3º Dirección Comercial: Tema-4-Comercial.pdf

9 páginas

He publicado nuevos apuntes de 3º Dirección Comercial: Tema-3-Comercial.pdf

8 páginas

He publicado nuevos apuntes de 3º Dirección Comercial: TEMA-1-COMERCIAL.pdf

4 páginas

He publicado nuevos apuntes de 3º Dirección Comercial: TEMA-2-COMERCIAL.pdf

7 páginas
Anónimo

@Anónimo

He publicado nuevos apuntes de 3º Dirección Comercial: Temario-D.-Comercial.pdf

135 páginas

He publicado nuevos examenes de 3º Dirección Comercial: Examen-Dir-Comercial-Enero2023.pdf

3 páginas

He publicado nuevos examenes de 3º Dirección Comercial: DCExamen-Enero-2023.pdf

3 páginas

He publicado nuevos examenes de 3º Dirección Comercial: Direccion-ComercialExamen-Enero-2023.pdf

3 páginas

Resumen de todo el temario de comportamiento

15 páginas

resumen de todo dirección comercial con el profesor Peces

37 páginas

resumen de todo el temario de macroeconomía

34 páginas

examenes

-

Dirección comercial. Exámenes

He publicado nuevos examenes de 3º Dirección Comercial: Dirección comercial. Exámenes

resumen-del-libro-y-comentarios-clase.pdf
examen-final-oficial.pdf
Direccion-comercial-modelo-de-examen.pdf

He publicado nuevos examenes de 3º Dirección Comercial: Preguntas-comercial.docx

word

He publicado nuevos examenes de 3º Dirección Comercial: Preguntas-comercial.docx

Miniatura no disponible
word

He publicado nuevos examenes de 3º Dirección Comercial: Preguntas-comercial.docx

Miniatura no disponible
word

He publicado nuevos examenes de 3º Dirección Comercial: examen.pdf

4 páginas
Anónimo

@Anónimo

He publicado nuevos examenes de 3º Dirección Comercial: Preguntas-comercial.pdf

27 páginas
Anónimo

@Anónimo

examenes

-

Examen

He publicado nuevos examenes de 3º Dirección Comercial: Examen

WhatsApp Image 2018-12-18 at 11.15.31 (2).jpeg
WhatsApp Image 2018-12-18 at 11.15.31 (1).jpeg
WhatsApp Image 2018-12-18 at 11.15.31 (3).jpeg
WhatsApp Image 2018-12-18 at 11.15.31.jpeg

He publicado nuevos apuntes de 3º Dirección Comercial: TEMA 4.docx

word

He publicado nuevos apuntes de 3º Dirección Comercial: TEMA 5.docx

word

He publicado nuevos apuntes de 3º Dirección Comercial: DIRECCION COMERCIAL.docx

word

He publicado nuevos apuntes de 3º Dirección Comercial: TEMA 2.docx

word

He publicado nuevos apuntes de 3º Dirección Comercial: TEMA 6.docx

word

He publicado nuevos apuntes de 3º Dirección Comercial: TEMA 3.docx

word

apuntes

-

Apuntes y Casos Prácticos

Apuntes muy bien explicados

Tema 11.pdf
Tema 12.pdf
Tema 13.pdf
Tema 14.pdf
Tema 15.pdf
Guia Docente Asignatura Direccion Comercial 14-15 ..pdf

practicas

-

Plan de Marketing

Brilliant

Miniatura no disponible
direccion comercial.rtf
PLAN DE MK.pdf
Plan Marketing articulo.pdf

apuntes

-

Apuntes y Casos Prácticos

Apuntes perfectos en PDF (muy bien explicados)

T1.pdf
Tema 2.pdf
Tema 3.pdf
Tema 4.pdf
Tema 5.pdf
Tema 6.pdf
¡Estás al día!

¡Estás al día!

Has visto todos los archivos