Dirección de las Operaciones

chevron_left
chevron_right
Todo
Apuntes
Ejercicios
Exámenes
chevron_left
chevron_right

Examen de la asignatura dirección de las operaciones corregido de junio 2025 modelo B de la UNED con 2 casos prácticos.

5 páginas

Examen de la asignatura dirección de operaciones de JUNIO 2024 modelo A de la UNED corregido y con caso práctico.

5 páginas

He publicado nuevos apuntes de 3º Dirección de las Operaciones: TEMA-1-LA-DIRECCION-DE-OPERACIONES-EN-EL-ENTORNO-ACTUAL-GUIA-SUPER-UTIL-EXAMEN.pdf

9 páginas

He publicado nuevos apuntes de 3º Dirección de las Operaciones: TEMA-3-HERRAMIENTAS-PARA-APOYAR-LA-TOMA-DE-DECISIONES-EN-OPERACIONES-GUIA-SUPER-UTIL-EXAMEN.pdf

7 páginas

He publicado nuevos apuntes de 3º Dirección de las Operaciones: TEMA-2-DIRIGIENDO-LAS-OPERACIONES-GUIA-SUPER-UTIL-EXAMEN.pdf

7 páginas

He publicado nuevos apuntes de 3º Dirección de las Operaciones: TEMA-4-LA-PLANIFICACION-AGREGADA-GUIA-SUPER-UTIL-EXAMEN.pdf

8 páginas

He publicado nuevos apuntes de 3º Dirección de las Operaciones: TEMA-5-GESTION-DE-INVENTARIO-DEMANDA-INDEPENDIENTE-GUIA-SUPER-UTIL-EXAMEN.pdf

7 páginas

He publicado nuevos apuntes de 3º Dirección de las Operaciones: TEMA-6-GESTION-DE-INVENTARIO-DEMANDA-DEPENDIENTE-GUIA-SUPER-UTIL-EXAMEN.pdf

7 páginas

He publicado nuevos apuntes de 3º Dirección de las Operaciones: TEMA-7-PROGRAMACION-OPERATIVA-GUIA-SUPER-UTIL-EXAMEN.pdf

8 páginas

He publicado nuevos apuntes de 3º Dirección de las Operaciones: TEMA-8-TQM-EN-LA-ERA-DE-LA-OBSOLESCENCIA-PROGRAMADA-GUIA-SUPER-UTIL-EXAMEN.pdf

7 páginas
Anónimo

@Anónimo

examenes

-

Exámenes Operaciones

He publicado nuevos examenes de 2º Dirección de las Operaciones: Exámenes Operaciones

Examen-extraordinaria-2023.pdf
Examen-operaciones-ordinaria-2024.pdf
Examen-operaciones-ordinaria-2025.pdf
Anónimo

@Anónimo

Diapositivas que NO SUBEN al campus virtual

83 páginas

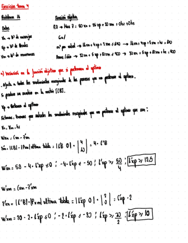
He publicado nuevos apuntes de 2º Dirección de las Operaciones: Ejercicios-Tema-4.pdf

25 páginas

OTRO EXAMEN RESUELTO CON PARTE PRÁCTICA 2025 DIRECCIÓN DE OPERACIONES

3 páginas

EXAMEN RESUELTO DE AYUDA PARA CONVOCATORIA DIRECCIÓN DE OPERACIONES JUNIO

3 páginas

He publicado nuevos examenes de 2º Dirección de las Operaciones: D.-OPER-examen-23-mayo-2014-preguntas.pdf

3 páginas

He publicado nuevos examenes de 2º Dirección de las Operaciones: D.-OPER-examen-17-enero-preguntas-y-respuestas.pdf

3 páginas

He publicado nuevos examenes de 2º Dirección de las Operaciones: D.-OPER-examen-10-junio.pdf

3 páginas

He publicado nuevos examenes de 2º Dirección de las Operaciones: D.-OPER-enunciados-simplex.pdf

11 páginas

EXAMEN CONVOCATORIA MAYO 2025 DIRECCIÓN DE OPERACIONES CORREGIDO

4 páginas

PEC DE ESTE AÑO 2025 DE DIRECCIÓN DE OPERACIONES CORREGIDO

4 páginas

OTRO EXAMEN ACTUALIZADO DE LA ASIGNATURA DIRECCIÓN DE OPERACIONES UNED

3 páginas

EXAMEN ACTUALIZADO DE LA ASIGNATURA DIRECCIÓN DE OPERACIONES UNED

4 páginas

He publicado nuevos apuntes de 2º Dirección de las Operaciones: Ejercicios-Tema-3-resueltos.pdf

37 páginas

He publicado nuevos apuntes de 2º Dirección de las Operaciones: Apuntes-Tema-4.pdf

12 páginas

He publicado nuevos apuntes de 2º Dirección de las Operaciones: Apuntes-Tema-3.pdf

4 páginas
Anónimo

@Anónimo

examenes

-

Segunda prueba de evaluacion continua

He publicado nuevos examenes de 2º Dirección de las Operaciones: Segunda prueba de evaluacion continua

Captura-de-pantalla-2025-04-28-100119.pdf
Captura-de-pantalla-2025-04-28-095925.pdf
Captura-de-pantalla-2025-04-28-095627.pdf
Captura-de-pantalla-2025-04-28-095513.pdf
Captura-de-pantalla-2025-04-28-095407.pdf
Captura-de-pantalla-2025-04-28-095249.pdf
Anónimo

@Anónimo

Resumen 2.TEMA + ejercicios

7 páginas
Anónimo

@Anónimo

Resumen del 1.Tema + Ejercicios

5 páginas

He publicado nuevos apuntes de 2º Dirección de las Operaciones: Tema-4.pdf

5 páginas
Anónimo

@Anónimo

examenes

-

Preguntas primera prueba de evaluación dirección de operaciones

He publicado nuevos examenes de 2º Dirección de las Operaciones: Preguntas primera prueba de evaluación dirección de operaciones

IMG0582.pdf
IMG0579.pdf
IMG0577.pdf
IMG0580.pdf
IMG0581.pdf
IMG0573.pdf

He publicado nuevos apuntes de 2º Dirección de las Operaciones: Tema-3.pdf

3 páginas

Tema_2_La estrategia de operaciones

3 páginas

Tema_3_Diseño y desarrollo de nuevos productos.

3 páginas

Tema 1_ introducción a la dirección de operaciones

6 páginas

He publicado nuevos apuntes de 2º Dirección de las Operaciones: Tema-2.pdf

3 páginas

He publicado nuevos apuntes de 3º Dirección de las Operaciones: Tema-8-La-calidad-en-la-era-de-la-obsolescencia-programada.docx

word

He publicado nuevos apuntes de 3º Dirección de las Operaciones: Tema-7-Programacion-Operativa.docx

word

He publicado nuevos apuntes de 3º Dirección de las Operaciones: Tema-6-Gestion-de-inventarios-demanda-dependiente.docx

word

He publicado nuevos apuntes de 3º Dirección de las Operaciones: Tema-4-La-Planificacion-Agregada.docx

word

He publicado nuevos apuntes de 3º Dirección de las Operaciones: Tema-5-Gestion-de-inventarios-demanda-independiente.docx

word

He publicado nuevos apuntes de 3º Dirección de las Operaciones: Tema-3-Herramientas-para-apoyar-la-toma-de-decisiones-en-la-Direccion-de-Operaciones.docx

word

He publicado nuevos apuntes de 3º Dirección de las Operaciones: Tema-1-Las-operaciones-en-el-entorno-actual.docx

word

He publicado nuevos apuntes de 3º Dirección de las Operaciones: Tema-2-Dirigiendo-las-operaciones.docx

word

apuntes

-

DIRE. OPERACIONES

He publicado nuevos apuntes de 2º Dirección de las Operaciones: DIRE. OPERACIONES

DIRE.-OPERACIONES-TEMA-123.pdf
D.O-RESUMEN-PRIMER-EXAMEN.pdf

He publicado nuevos examenes de 3º Dirección de las Operaciones: EX-Direccion-de-las-Operaciones.pdf

16 páginas

He publicado nuevos examenes de 2º Dirección de las Operaciones: examen-do.pdf

2 páginas

He publicado nuevos examenes de 3º Dirección de las Operaciones: examen-DO-septiembre-2023.pdf

2 páginas

apuntes

-

Resúmenes Dirección de las Operaciones

He publicado nuevos apuntes de 3º Dirección de las Operaciones: Resúmenes Dirección de las Operaciones

Tema-1-Las-operaciones-en-el-entorno-actual.pdf
Tema-2-Dirigiendo-las-operaciones.pdf
Tema-3-Herramientas-para-apoyar-la-toma-de-decisiones-en-la-Direccion-de-Operaciones.pdf
Tema-4-La-planificacion-agregada.pdf
Tema-5-Gestion-de-inventarios-demanda-independiente.pdf
Tema-6-Gestion-de-inventarios-demanda-dependiente.pdf

He publicado nuevos apuntes de 2º Dirección de las Operaciones: Apuntes-sensibilidad-con-interpretaciones.pdf

39 páginas

He publicado nuevos ejercicios de 2º Dirección de las Operaciones: 1.pdf

10 páginas

He publicado nuevos ejercicios de 2º Dirección de las Operaciones: 4.pdf

2 páginas

He publicado nuevos ejercicios de 2º Dirección de las Operaciones: Documento-2.pdf

1 página

He publicado nuevos ejercicios de 2º Dirección de las Operaciones: 6.pdf

2 páginas

He publicado nuevos ejercicios de 2º Dirección de las Operaciones: 3.pdf

4 páginas

He publicado nuevos ejercicios de 2º Dirección de las Operaciones: 8.pdf

8 páginas

He publicado nuevos ejercicios de 2º Dirección de las Operaciones: 2.pdf

2 páginas

He publicado nuevos ejercicios de 2º Dirección de las Operaciones: 5.pdf

2 páginas

He publicado nuevos ejercicios de 2º Dirección de las Operaciones: 7.pdf

3 páginas

He publicado nuevos apuntes de 3º Dirección de las Operaciones: Capitulo-1.-Las-operaciones-en-el-entorno-actual.pdf

37 páginas