chevron_left
chevron_right
Todo
Apuntes
Ejercicios
Exámenes
Prácticas
chevron_left
chevron_right

ejercicios

-

Ejercicio XIPLAND II RESUELTO en clase

Ejercicio de los apuntes del tema 6 Xipland II resuelto en clase.

20260422133300.jpg
20260422133308.jpg

Ejemplo 2 de Estudio de Tiempos del power del tema 2 SOLUCIÓN.

2 páginas
Anónimo

@Anónimo

Ejemplo 1 del power del profe, de la última parte del tema 2 "Estudio de tiempos", RESUELTO EN CLASE. Fue ejercicio en un EXAMEN FINAL de un curso anterior.

1 página

apuntes

-

3º - APUNTES DIRECCIÓN DE OPERACIONES

He publicado nuevos apuntes de 3º Dirección de Operaciones: 3º - APUNTES DIRECCIÓN DE OPERACIONES

manual-de-Heizer-y-Render-cap-1-y-2--6.pdf

apuntes

-

Resums Dir. Operacions

He publicado nuevos apuntes de 3º Dirección de Operaciones: Resums Dir. Operacions

Resumen-Parcial-DO-T1JP1T2.docx
Resumen-Final-DO-T2-3-4-5.docx

apuntes

-

Exercicis Dir. Operaciones

He publicado nuevos apuntes de 3º Dirección de Operaciones: Exercicis Dir. Operaciones

Ejericicio-2-MRP.xlsx
Plantilla-con-formulas-Bowman.xlsx
plantilla-MRP.xlsx

apuntes

-

Resums + Apunts Dir. Operaciones

He publicado nuevos apuntes de 3º Dirección de Operaciones: Resums + Apunts Dir. Operaciones

T4-PLANIFICACION-DE-LAS-NECESIDADES-DE-MATERIALES.docx
T5-Programacion-de-la-produccion.docx
Resumen-Parcial-DO-T1JP1T2.docx
T1-INTRODUCCION-AL-AREA-DE-OPERACIONES.docx
T2-DISENO-Y-PLANIFICACION-DE-PROCESOS.docx
T3-PLANIFICACION-DE-LA-PRODUCCION.docx
Anónimo

@Anónimo

He publicado nuevos apuntes de 3º Dirección de Operaciones: tema-5-DO.pdf

6 páginas
Anónimo

@Anónimo

He publicado nuevos apuntes de 3º Dirección de Operaciones: tema-4-DO.pdf

12 páginas
Anónimo

@Anónimo

He publicado nuevos apuntes de 3º Dirección de Operaciones: tema-3-DO.pdf

16 páginas
Anónimo

@Anónimo

He publicado nuevos apuntes de 3º Dirección de Operaciones: tema-2-DO.pdf

26 páginas
Anónimo

@Anónimo

He publicado nuevos apuntes de 3º Dirección de Operaciones: tema-2-parcial-DO.pdf

7 páginas
Anónimo

@Anónimo

He publicado nuevos apuntes de 3º Dirección de Operaciones: tema-1-DO.pdf

12 páginas

Practica final amb el SAP

3 páginas

Apunts de direcció d'operacions del tema 1

12 páginas

Apunts de direcció d'operacions del tema 2

23 páginas

Apunts de direcció d'operacions del tema 3

17 páginas

Apunts de direcció d'operacions del tema 5

6 páginas

Apunts de direcció d'operacions del tema 4

13 páginas

apuntes

-

Apunts Direcció d'Operacions

He publicado nuevos apuntes de 3º Dirección de Operaciones: Apunts Direcció d'Operacions

Tema-1.pdf
Tema-2.pdf
Tema-3.pdf
Tema-4.pdf
Tema-5.pdf
Tema-6.pdf
Anónimo

@Anónimo

He publicado nuevos apuntes de 3º Dirección de Operaciones: APUNTES-FINAL-DIRECCION-DE-OPERACIONES.pdf

33 páginas

He publicado nuevos apuntes de 3º Dirección de Operaciones: Tema-4-Dir-operaciones.pdf

pdf

He publicado nuevos apuntes de 3º Dirección de Operaciones: Tema-5-Dir-operaciones.pdf

pdf

He publicado nuevos apuntes de 3º Dirección de Operaciones: Tema-2-Dir-operaciones.pdf

1 página

He publicado nuevos apuntes de 3º Dirección de Operaciones: Tema-3-Dir-operaciones.pdf

1 página

He publicado nuevos apuntes de 3º Dirección de Operaciones: Tema-1-Dir-operaciones.pdf

5 páginas

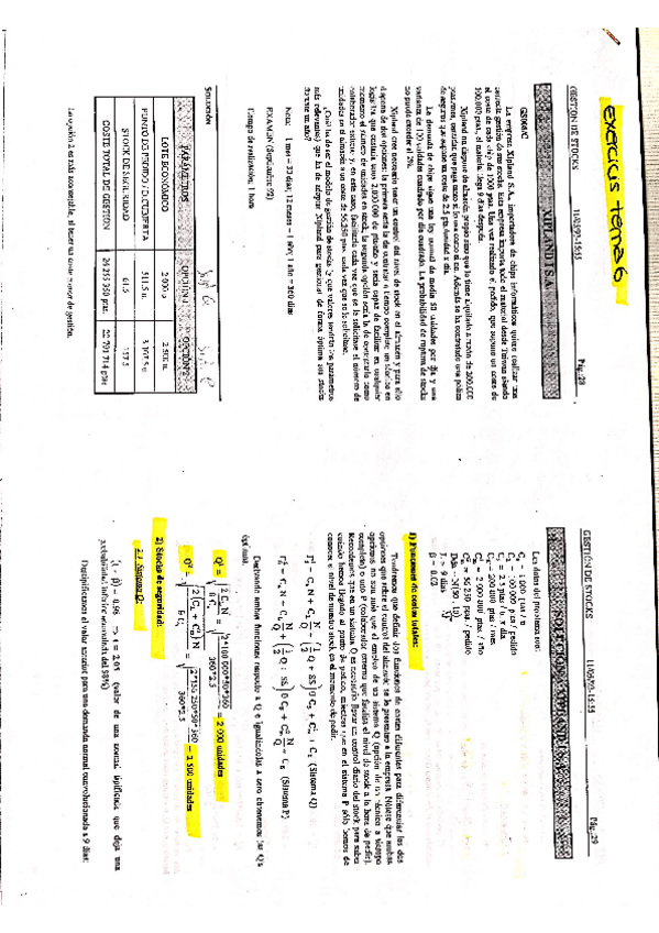
He publicado nuevos ejercicios de 3º Dirección de Operaciones: Ejercicios-soluciones-Tema-6.pdf

9 páginas

He publicado nuevos apuntes de 3º Dirección de Operaciones: Formulario.pdf

2 páginas

apuntes

-

Dirección de Operaciones

He publicado nuevos apuntes de 3º Dirección de Operaciones: Dirección de Operaciones

Apunts-Tema-1.pdf
Apunts-Tema-3.pdf
Apunts-Tema-2.pdf
Apunts-Tema-4.pdf
Apunts-Tema-6.pdf
Apunts-Tema-5.pdf

apuntes

-

APUNTES

He publicado nuevos apuntes de 3º Dirección de Operaciones: APUNTES

T5-DOP-PUE.pdf

He publicado nuevos apuntes de 3º Dirección de Operaciones: Resumen-y-ejercicios-para-parcial-DOP.pdf

5 páginas
Anónimo

@Anónimo

He publicado nuevos examenes de 3º Dirección de Operaciones: Examen-Finalsolucionpublicar8e117b3ee6408011f3537ffd85658a7f.pdf

10 páginas

He publicado nuevos apuntes de 3º Dirección de Operaciones: T1.pdf

10 páginas

He publicado nuevos apuntes de 3º Dirección de Operaciones: Formulari-Direccio-dOperacions.pdf

7 páginas

He publicado nuevos apuntes de 3º Dirección de Operaciones: DIRECCIO-DOPERACIONS-I.pdf

84 páginas
Anónimo

@Anónimo

apuntes

-

Dirección de Operaciones I

Apuntes en castellano. Explicados cada diapositiva (incluye ejercicios resueltos en clase).

TEMA-1.pdf
TEMA-2.pdf
TEMA-3.pdf

He publicado nuevos apuntes de 3º Dirección de Operaciones: t6-exerciciis.pdf

4 páginas

He publicado nuevos apuntes de 3º Dirección de Operaciones: t5-resumen.pdf

8 páginas

He publicado nuevos apuntes de 3º Dirección de Operaciones: t4-resumen.pdf

12 páginas

He publicado nuevos apuntes de 3º Dirección de Operaciones: FORMULARIOS.pdf

10 páginas

apuntes

-

TEMA 3 DOP

He publicado nuevos apuntes de 3º Dirección de Operaciones: TEMA 3 DOP

exercicis-t3.pdf
tema-3-resumen.pdf

apuntes

-

TEMA 2 DIRECCION OPERACIONES

VICTOR/OLGA - 2019/2020

CLASE-PRACTICA-OLGA-ESTOCS.pdf
CASOS-TEMA-2.pdf
TEMA-2-APUNTES.pdf
Tema-2-parte-1-DOP-I.pdf
ejercicios-tema-2-parte-2.pdf
resum-t2-equilibrado-y-estudio-de-trabajo.pdf

apuntes

-

TEMA 1 DIRECCION OPERACIONES

VICTOR/OLGA - 2019/2020

tema-1.pdf

apuntes

-

Direcció d'Operaions

He publicado nuevos apuntes de 3º Dirección de Operaciones: Direcció d'Operaions

PlantillaconformulasBowman.xlsx
INTRODUCCIONALAREADEOPERACIONES.pdf
plantillamrp.xlsx
DIRECCIODOPERACIONS.pdf
EJERCICIOS.pdf
PARTE-2-DIRECCION-OPERACIONES.pdf

He publicado nuevos apuntes de 3º Dirección de Operaciones: PARTE-2-DIRECCION-OPERACIONES.pdf

70 páginas
¡Estás al día!

¡Estás al día!

Has visto todos los archivos