Todo
Apuntes
Preguntas
Ejercicios
Exámenes
Prácticas
Trabajos
chevron_left
chevron_right

He publicado nuevos apuntes de 3º Dirección Estratégica: Resumen-tema-6.pdf

12 páginas

He publicado nuevos apuntes de 3º Dirección Estratégica: Resumen-tema-5.pdf

10 páginas

apuntes

-

Resumenes + Ejercicios Clase y Voluntarios (Temas 1-5)

He publicado nuevos apuntes de 3º Dirección Estratégica: Resumenes + Ejercicios Clase y Voluntarios (Temas 1-5)

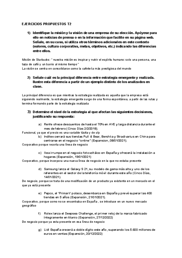
Ejercicios-tema-1.pdf
Ejercicios-tema-2.pdf
Ejercicios-voluntarios-tema-1.pdf
Ejercicios-voluntarios-tema-2.pdf
Tema-2-Estrategia.pdf
Tema-1-Ventaja-competitiva-y-creacion-de-valor.pdf

He publicado nuevos apuntes de 3º Dirección Estratégica: ejercicios-tema-5--extras.pdf

5 páginas

He publicado nuevos apuntes de 3º Dirección Estratégica: Resumen-Tema-4.pdf

5 páginas

He publicado nuevos apuntes de 3º Dirección Estratégica: Resumen-Tema-3.pdf.pdf

7 páginas

He publicado nuevos ejercicios de 3º Dirección Estratégica: ejercicios-temas-3-y-4.pdf

8 páginas

He publicado nuevos apuntes de 3º Dirección Estratégica: TEMA-1-resumen.pdf

4 páginas

He publicado nuevos apuntes de 3º Dirección Estratégica: Ejercicios-voluntarios-t3-y-4.pdf

6 páginas

He publicado nuevos apuntes de 3º Dirección Estratégica: apuntes-todos-los-temas.pdf

48 páginas

He publicado nuevos apuntes de 3º Dirección Estratégica: Resumen-D.-estrategica-Tema-2.pdf

6 páginas

He publicado nuevos ejercicios de 3º Dirección Estratégica: Ejercicios-tema-3.pdf

1 página

He publicado nuevos apuntes de 3º Dirección Estratégica: Ejercicios-resueltos-Tema-2.pdf

2 páginas

He publicado nuevos apuntes de 3º Dirección Estratégica: Tema-1.-Direccion-estrategica.pdf

3 páginas

He publicado nuevos ejercicios de 3º Dirección Estratégica: EJERCICIOS-VOLUNTARIOS-TEMA-1.pdf

5 páginas

He publicado nuevos ejercicios de 3º Dirección Estratégica: Ejercicios-Direccion-Estrategica-Tema-2.pdf

5 páginas

He publicado nuevos ejercicios de 3º Dirección Estratégica: Ejercicios-Direccion-Estrategica-Tema-1.pdf

5 páginas

He publicado nuevos ejercicios de 3º Dirección Estratégica: Ejercicios-Tema-6.pdf

5 páginas

He publicado nuevos ejercicios de 3º Dirección Estratégica: Ejercicios-Tema-3-Y-4.pdf

11 páginas

He publicado nuevos ejercicios de 3º Dirección Estratégica: Ejercicios tema5Direccion-Estrategica-.pdf

4 páginas
Anónimo

@Anónimo

He publicado nuevos examenes de 3º Dirección Estratégica: Examen-Direccion-Estrategica.pdf

1 página

He publicado nuevos apuntes de 3º Dirección Estratégica: Direccion-estrategica-Tema-6.pdf

16 páginas

He publicado nuevos apuntes de 3º Dirección Estratégica: Direccion-estrategica-Tema-5.pdf

14 páginas

He publicado nuevos apuntes de 3º Dirección Estratégica: Direccion-Estrategica-Tema-4.pdf

8 páginas

He publicado nuevos apuntes de 3º Dirección Estratégica: Direccion-Estrategica-Tema-3.pdf

11 páginas

He publicado nuevos apuntes de 3º Dirección Estratégica: Direccion-Estrategica-Tema-2.pdf

15 páginas

He publicado nuevos apuntes de 3º Dirección Estratégica: Direccion-Estrategica-Tema-1.pdf

9 páginas

He publicado nuevos examenes de 3º Dirección Estratégica: EXAMEN-GLOBAL-2025.pdf

1 página
Anónimo

@Anónimo

He publicado nuevos examenes de 3º Dirección Estratégica: ex-parte-2.pdf

1 página
Anónimo

@Anónimo

He publicado nuevos examenes de 3º Dirección Estratégica: ex-parte-1.pdf

1 página

He publicado nuevos apuntes de 3º Dirección Estratégica: TEMA-2.pdf

7 páginas

He publicado nuevos apuntes de 3º Dirección Estratégica: TEMA-1.pdf

6 páginas

He publicado nuevos apuntes de 3º Dirección Estratégica: TEMA-6.pdf

8 páginas

He publicado nuevos apuntes de 3º Dirección Estratégica: TEMA-5.pdf

6 páginas

He publicado nuevos apuntes de 3º Dirección Estratégica: TEMA-4.pdf

5 páginas

He publicado nuevos apuntes de 3º Dirección Estratégica: TEMA-3.pdf

8 páginas

apuntes

-

ESQUEMAS para examen

He publicado nuevos apuntes de 3º Dirección Estratégica: ESQUEMAS para examen

Tema-1.pdf
Tema-2.pdf
Tema-4.pdf
Tema-5.pdf
Tema-6.pdf
Anónimo

@Anónimo

He publicado nuevos apuntes de 3º Dirección Estratégica: TEMA-4.-Organizacion-y-evolucion-de-la-industria.pdf

8 páginas
Anónimo

@Anónimo

He publicado nuevos apuntes de 3º Dirección Estratégica: TEMA-2.-Estrategica..definicion-elementos-y-tipologias.pdf

13 páginas
Anónimo

@Anónimo

He publicado nuevos apuntes de 3º Dirección Estratégica: TEMA-3.-La-empresa-y-el-entorno.pdf

12 páginas
Anónimo

@Anónimo

He publicado nuevos apuntes de 3º Dirección Estratégica: TEMA-1.-Ventaja-competitiva-y-creacion-de-valor.pdf

8 páginas
Anónimo

@Anónimo

He publicado nuevos apuntes de 3º Dirección Estratégica: TEMA-5.-Analisis-interno-de-la-empresa-la-teoria-de-los-recursos.pdf

12 páginas
Anónimo

@Anónimo

He publicado nuevos apuntes de 3º Dirección Estratégica: TEMA-6.-Estrategias-competitivas.pdf

15 páginas

He publicado nuevos apuntes de 3º Dirección Estratégica: Ejercicios-voluntarios-T3.pdf

3 páginas

He publicado nuevos apuntes de 3º Dirección Estratégica: Direccion-Estrategica-Tema-1.pdf

9 páginas

apuntes

-

EJERCICIOS VOLUNTARIOS

He publicado nuevos apuntes de 3º Dirección Estratégica: EJERCICIOS VOLUNTARIOS

Ejercicios-Voluntarios-Tema-1.pdf
Ejercicios-Voluntarios-Tema-2.pdf
Ejers-voluntarios-TEMAS-3-y-4.pdf
Voluntarios-T.5.pdf

He publicado nuevos ejercicios de 3º Dirección Estratégica: Ejercicios-voluntarios-T2.pdf

2 páginas

He publicado nuevos ejercicios de 3º Dirección Estratégica: Ejercicios-clase y voluntarios-T.6.pdf

8 páginas

He publicado nuevos ejercicios de 3º Dirección Estratégica: Ejercicios-clase y voluntarios-T.5.pdf

5 páginas

He publicado nuevos ejercicios de 3º Dirección Estratégica: Ejercicios-clase y voluntarios-T.3-y-T.4.pdf

7 páginas

He publicado nuevos ejercicios de 3º Dirección Estratégica: Ejercicios-clase y voluntarios-T.2.pdf

4 páginas

He publicado nuevos ejercicios de 3º Dirección Estratégica: Ejercicios-clase y voluntarios-T.1.pdf

5 páginas

He publicado nuevos examenes de 3º Dirección Estratégica: Examen-2023-junio.pdf

1 página

He publicado nuevos examenes de 3º Dirección Estratégica: Examen-2023-enero.pdf

1 página

He publicado nuevos apuntes de 3º Dirección Estratégica: EJEMPLO-T6-RESUELTO.pdf

2 páginas

He publicado nuevos apuntes de 3º Dirección Estratégica: EJERCICIOS-RESUELTOS-VOLUNTARIOS-TEMA-6.pdf

5 páginas

He publicado nuevos apuntes de 3º Dirección Estratégica: EJERCICIOS-RESUELTOS-CLASE-TEMA-6.pdf

11 páginas

apuntes

-

T6 minicasos resueltos

He publicado nuevos apuntes de 3º Dirección Estratégica: T6 minicasos resueltos

Enunciado.pdf
Resolucion.pdf

He publicado nuevos apuntes de 3º Dirección Estratégica: Ejercicios-resueltos-voluntarios-tema-5.pdf

4 páginas

He publicado nuevos apuntes de 3º Dirección Estratégica: ejercicios-resueltos-clase-tema-5.pdf

6 páginas