Todo
Apuntes
Preguntas
Ejercicios
Exámenes
Prácticas
publication
Test
Trabajos
chevron_left
chevron_right

apuntes

-

2ºBloque T4-5-6

todo lo que tengo del bloque 2. Ánimo jaja.

Ejercicios-tema-4-5-y-6.xlsx
EJERCICIOS-TEMA-4.xlsx
EJERCICIOS-TEMA-5.xlsx
EJERCICIOS-TEMA-6.xlsx
ejercicos-tema-5.xlsx
Miniatura no disponible
Bloque-temas-4-5-6.zip

apuntes

-

tema 3

carpeta de excels tema 3

repaso-DS.xlsx
tema-3-repaso.xlsx
ejercicios-tema-3-financieras-bueno.xlsx

apuntes

-

tema 2

carpeta de ejercicios tema 2

Ejercicios-tema-2-Financieras.xlsx
ejercicios-tema-2.xlsx
ejercicio-autofinanciacion-cv.xlsx
ejercicios-tema-2-direccion-financiera-bien-hechos.xlsx
tema-2-ej-2-financieras.xlsx

He publicado nuevos apuntes de 3º Dirección Financiera: FORMULARIO-COMPLETO.pdf

8 páginas

He publicado nuevos ejercicios de 3º Dirección Financiera: Ejercicios-t1.pdf

1 página

He publicado nuevos apuntes de 3º Dirección Financiera: Tema-1-con-anotaciones-clase-y-ejercicios.pdf

18 páginas

Tema 1: diapositivas y notas de clase

6 páginas

He publicado nuevos examenes de 3º Dirección Financiera: Resumen-Examen-Teoria.pdf

4 páginas

He publicado nuevos apuntes de 3º Dirección Financiera: DF-tema-1.pdf

4 páginas

He publicado nuevos apuntes de 3º Dirección Financiera: Ejs-t6-resueltos.pdf

6 páginas

He publicado nuevos apuntes de 3º Dirección Financiera: Ejs-t5-resueltos.pdf

14 páginas

He publicado nuevos apuntes de 3º Dirección Financiera: Ejs-t4-resueltos.pdf

14 páginas

He publicado nuevos ejercicios de 3º Dirección Financiera: Ejs-t2.pdf

14 páginas

He publicado nuevos ejercicios de 3º Dirección Financiera: Ejercicios-tema-345-y-6.xlsx

excel

ejercicios

-

EJERCICOS T3 SOLUCIÓN Y EXPLICACIÓN

Ejercicios tema 3 con solución, explicación e interpretación de cada paso y resultado

Ejercicio-1-Solucion--Rescate-anticipado-de-obligaciones.pdf
Ejercicio-2-con-Solucion-Conversion-de-obligaciones-en-acciones.pdf
Ejercicio-3.-Solucion-Clausula-antidilucion-de-beneficios-Direccion-finaciera-.pdf
Ejercicio-4.-Solucion-Tipos-de-acciones-Direccion-financiera.pdf
Ejercicio-5.-Solucion-Fusiones-y-adquisiciones-Direccion-financiera.pdf

He publicado nuevos apuntes de 3º Dirección Financiera: Teoria-tema-6-Metodos-de-valoracion-de-empresas-Doreccion-financiera.pdf

7 páginas

He publicado nuevos apuntes de 3º Dirección Financiera: Ejercicios-solucion-tema-6.pdf

6 páginas

Sabéis que teoría suele preguntar María Rubio en la 2ºConv ?

He publicado nuevos examenes de 3º Dirección Financiera: REPASO-EJERCICIOS-CAMPUS-EXAMEN-1-BLOQUE.pdf

50 páginas

TODOS LOS EJERCICIOS RESUELTOS Y CON ANOTACIONES CLAVES, TAMBIÉN HAY EJERCICIOS DE EXAMEN

42 páginas

He publicado nuevos apuntes de 3º Dirección Financiera: BLOQUE-2.xlsx

excel

He publicado nuevos apuntes de 3º Dirección Financiera: TEMA-4.-TEORIA-FINANCIERAS.pdf

3 páginas

He publicado nuevos apuntes de 3º Dirección Financiera: TEMA-3-TEORIA-FINANCIERAS.pdf

3 páginas

He publicado nuevos apuntes de 3º Dirección Financiera: TEMA-5-TEORIA-FINANCIERAS.pdf

3 páginas

He publicado nuevos ejercicios de 3º Dirección Financiera: 2o-Parte-Ejercicios-tema-5-Direccion-financiera.pdf

9 páginas

Dirección financiera

3 páginas

apuntes

-

Apuntes Teoría

He publicado nuevos apuntes de 3º Dirección Financiera: Apuntes Teoría

Apuntes-Tema-2.pdf
Apuntes-Tema-1.pdf
Apuntes-Tema-3.pdf
Apuntes-Tema-4.pdf
Apuntes-Tema-5.pdf
Apuntes-Tema-6.pdf

apuntes

-

Apuntes dirección financiera todos los temas

He publicado nuevos apuntes de 3º Dirección Financiera: Apuntes dirección financiera todos los temas

Tema-1-introduccion-a-la-gestion-financiera.pdf
Tema-2-estudio-de-la-inversion-corriente.pdf
Tema-4-la-financiacion-ajena-especial-referencia-a-operaciones-bancarias.pdf
Tema-3-las-fuentes-de-financiacion-basica.pdf
Tema-5-el-coste-del-capital.pdf
Tema-6-metodos-de-valoracion-de-empresas.pdf

He publicado nuevos ejercicios de 3º Dirección Financiera: Paso-a-paso-ejercicios-Tema-2.pdf

3 páginas

He publicado nuevos ejercicios de 3º Dirección Financiera: Ejercicios-tema-2-resueltos-Direccion-Financiera.pdf

2 páginas

He publicado nuevos ejercicios de 3º Dirección Financiera: Ejercicios-tema-1-resueltos-Direccion-Financiera.pdf

2 páginas

Examen

Es fácil aprobar con Maria, como es el examen?

He publicado nuevos apuntes de 3º Dirección Financiera: Tema-1-resumen-incluye-videos-para-estudiar-direccion-financiera.pdf

16 páginas

He publicado nuevos apuntes de 3º Dirección Financiera: Cap-5-libro-Direccion-financiera.pdf

25 páginas

He publicado nuevos apuntes de 3º Dirección Financiera: Indice-Libro-direccion-financiera-compressed.pdf

4 páginas

He publicado nuevos apuntes de 3º Dirección Financiera: Cap-4-libro-direccion-financieracompressed.pdf

34 páginas

He publicado nuevos apuntes de 3º Dirección Financiera: Cap-3-libro-direccion-financiera-compressed.pdf

25 páginas

He publicado nuevos apuntes de 3º Dirección Financiera: Cap-2-libro-direccion-financiera-compressed.pdf

20 páginas

He publicado nuevos apuntes de 3º Dirección Financiera: Cap-1-Libro-direccion-financieracompressed.pdf

24 páginas

He publicado nuevos apuntes de 3º Dirección Financiera: TEMA-2-teoria-muy-completa-y-resumida.pdf

3 páginas

He publicado nuevos apuntes de 3º Dirección Financiera: TEMA-1-teoria-muy-completa-y-resumida.pdf

3 páginas

He publicado nuevos apuntes de 3º Dirección Financiera: Examen-Resuelto-Junio 2023.pdf

3 páginas
Anónimo

@Anónimo

He publicado nuevos apuntes de 3º Dirección Financiera: Ej-examen-20222024.pdf

1 página

EXAMEN FINAL

Suelen complicarlo mucho? caen ejercicios del parcial en el final?

He publicado nuevos apuntes de 3º Dirección Financiera: Financiacion-Propia-Valoracion-de-acciones.pdf

1 página

He publicado nuevos apuntes de 3º Dirección Financiera: Desarrollo-teorico-Relacion-del-ROE-con-el-ROA.pdf

1 página

He publicado nuevos apuntes de 3º Dirección Financiera: Desarrollo-teorico-Coste-de-capital-medio-ponderado.pdf

1 página

He publicado nuevos apuntes de 3º Dirección Financiera: Desarrollo-teorico-Valoracion-de-las-acciones-dividendos.pdf

3 páginas

He publicado nuevos apuntes de 3º Dirección Financiera: Desarrollo-teorico-Metodo-de-amortizacion-frances.pdf

2 páginas

He publicado nuevos apuntes de 3º Dirección Financiera: Desarrollo-teorico-apalancamiento-financiero.pdf

1 página

He publicado nuevos apuntes de 3º Dirección Financiera: Desarrollo-Metodo-amortizacion-frances.pdf

1 página

He publicado nuevos ejercicios de 3º Dirección Financiera: Ejercicios-Tema-6.pdf

3 páginas

He publicado nuevos ejercicios de 3º Dirección Financiera: Ejercicios-Tema-5-Parte-2.pdf

6 páginas

He publicado nuevos ejercicios de 3º Dirección Financiera: Ejercicios-Tema-5-Parte-1.pdf

4 páginas

He publicado nuevos apuntes de 3º Dirección Financiera: TEMA-4-RESUMIDO.pdf

4 páginas

He publicado nuevos ejercicios de 3º Dirección Financiera: Tema-6.pdf

4 páginas

He publicado nuevos ejercicios de 3º Dirección Financiera: Tema-5.pdf

13 páginas

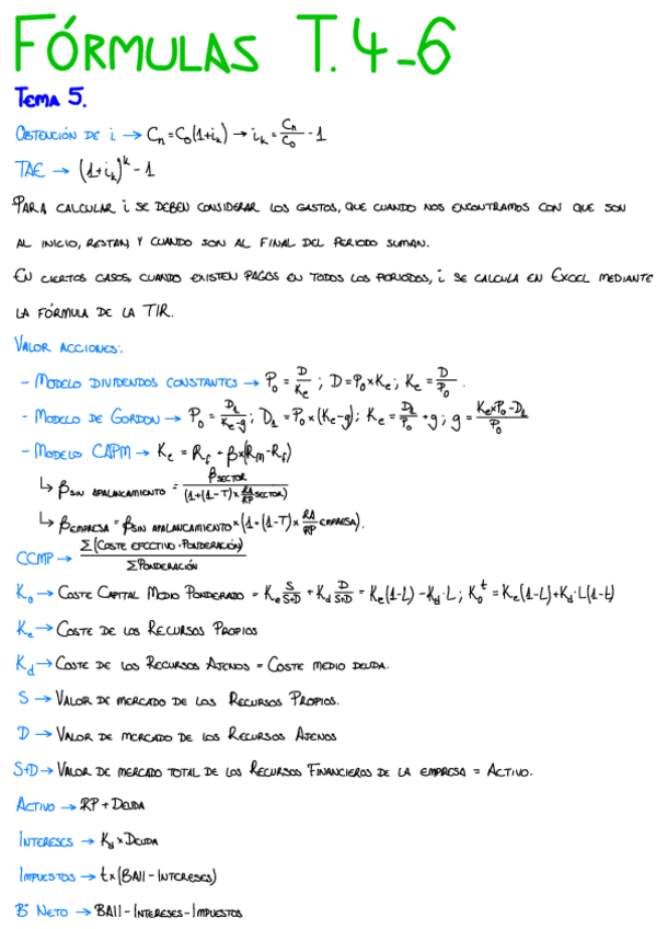
He publicado nuevos apuntes de 3º Dirección Financiera: Formulas-T.4-6.pdf

3 páginas
Anónimo

@Anónimo

He publicado nuevos apuntes de 3º Dirección Financiera: Formulas-T52o-parte-y-6.pdf

2 páginas

He publicado nuevos apuntes de 3º Dirección Financiera: Tema-6-Dir.-Financ.pdf

5 páginas