chevron_left
chevron_right
Todo
Apuntes
Ejercicios
Exámenes
Prácticas
chevron_left
chevron_right

Recopilación de preguntas de examen de teoría

9 páginas

He publicado nuevos apuntes de 3º Diseño Asistido Por Ordenador: Diseno-Asistido-Por-Ordenador.pdf

34 páginas

He publicado nuevos examenes de 3º Diseño Asistido Por Ordenador: Preguntas-Teoria-De-Examen-DAO.pdf

11 páginas

He publicado nuevos apuntes de 3º Diseño Asistido Por Ordenador: 2024-SOLO-PREGUNTAS-TEORIA-RESUELTAS.pdf

9 páginas
Anónimo

@Anónimo

He publicado nuevos apuntes de 3º Diseño Asistido Por Ordenador: 2024-RECOPILACION-EXAMENES-DE-TEORIA-CON-SOLUCIONESSIN-CAE-NI-PRACTICAS.pdf

70 páginas

examenes

-

EXAMEN JUNIO 2021 CON SOL

He publicado nuevos examenes de 3º Diseño Asistido Por Ordenador: EXAMEN JUNIO 2021 CON SOL

PIEZA-3D-JUNIO21-PDF.pdf
Miniatura no disponible
SOLCADJUN21.zip
SOLJUN21PLANOCAD.pdf
Miniatura no disponible
SWCAEconSOLUCIONJUN21.zip
Aerogenerador-CAEJUN21.pdf
EJERCICIO-1-RESUELTO.pdf

ejercicios

-

EJERCICIOS PRACTICOS RESUELTOS

He publicado nuevos ejercicios de 3º Diseño Asistido Por Ordenador: EJERCICIOS PRACTICOS RESUELTOS

E8.pdf
E7.pdf
E9.pdf
E4.pdf
E2.pdf
E1.pdf

He publicado nuevos apuntes de 3º Diseño Asistido Por Ordenador: APUNTES-EJERCICIOS-PRACTICOS.pdf

10 páginas

He publicado nuevos apuntes de 3º Diseño Asistido Por Ordenador: APUNTES-GUIA-EJER-SOLIDWORKS.pdf

29 páginas

examenes

-

PREGUNTAS TEORICAS RESUELTAS

He publicado nuevos examenes de 3º Diseño Asistido Por Ordenador: PREGUNTAS TEORICAS RESUELTAS

PREGUNTAS-TEORICAS-RESUELTAS.pdf
PREGUNTAS-TEMA-7.pdf
PREGUNTAS-TEMA-3.pdf
PREGUNTAS-TEMA-8.pdf
PREGUNTAS-TEMA-1.pdf
PREGUNTAS-TEMA-2.pdf

practicas

-

ACTIVIDAD IND 1 - CODO CON BRIDA 90 G

He publicado nuevos practicas de 3º Diseño Asistido Por Ordenador: ACTIVIDAD IND 1 - CODO CON BRIDA 90 G

PLANO-CODO.pdf
Miniatura no disponible
SWCODO.zip
PIEZA-3D-PDF.pdf
GUIA-ACTIVIDAD-1.pdf
Miniatura no disponible
https://www.wuolah.com/apuntes-diseno-asistido-por-ordenador/apuntes/grado-en-ingenieria-mecanica/ual-escuela-superior-de-ingenieria/3/apuntes-guia-ejer-solidworks-apuntes-guia-ejer-solidworkspdf-5954647?page=subject&path=ffb3HOwS

practicas

-

ACTIVIDAD IND 2 - MODELOS SOLIDOS 3D

He publicado nuevos practicas de 3º Diseño Asistido Por Ordenador: ACTIVIDAD IND 2 - MODELOS SOLIDOS 3D

PLANO-PIEZA-1.pdf
PLANO-3D-PIEZA-1.pdf
ENUNCIADO-PIEZA-1.pdf
PLANO-PIEZA-2.pdf
Miniatura no disponible
RESOLUCION-ACT2P2.zip
PLANO-3D-PIEZA-2.pdf

practicas

-

PIEZAS PARA PRACTICAR SOLIDWORKS

He publicado nuevos practicas de 3º Diseño Asistido Por Ordenador: PIEZAS PARA PRACTICAR SOLIDWORKS

E2-ENUNCIADO.pdf
E1-PLANO-SOLUCION.pdf
E4-PLANO-SOLUCION.pdf
E4-ENUNCIADO.pdf
E3-ENUNCIADO.pdf
E1-ENUNCIADO.pdf

practicas

-

CAE_A5. Mallado sólidos y superficies

He publicado nuevos practicas de 3º Diseño Asistido Por Ordenador: CAE_A5. Mallado sólidos y superficies

Miniatura no disponible
SWSOLUCION-ACTIVIDAD2.zip
Miniatura no disponible
SWSOLUCION-ACTIVIDAD1.zip
Miniatura no disponible
https://www.wuolah.com/apuntes-diseno-asistido-por-ordenador/apuntes/grado-en-ingenieria-mecanica/ual-escuela-superior-de-ingenieria/3/apuntes-guia-ejer-solidworks-apuntes-guia-ejer-solidworkspdf-5954647?page=subject&path=ffb3HOwS
Anónimo

@Anónimo

practicas

-

CAE_A4. Análisis frecuencia vibración

He publicado nuevos practicas de 3º Diseño Asistido Por Ordenador: CAE_A4. Análisis frecuencia vibración

Miniatura no disponible
CAEA4.zip
Miniatura no disponible
https://www.wuolah.com/apuntes-diseno-asistido-por-ordenador/apuntes/grado-en-ingenieria-mecanica/ual-escuela-superior-de-ingenieria/3/apuntes-guia-ejer-solidworks-apuntes-guia-ejer-solidworkspdf-5954647?page=subject&path=ffb3HOwS
Anónimo

@Anónimo

practicas

-

CAE_A3. Elementos tipo viga

He publicado nuevos practicas de 3º Diseño Asistido Por Ordenador: CAE_A3. Elementos tipo viga

SOLUCIONES.pdf
Miniatura no disponible
SWSOLUCION.zip
ENUNCIADO.pdf
Miniatura no disponible
https://www.wuolah.com/apuntes-diseno-asistido-por-ordenador/apuntes/grado-en-ingenieria-mecanica/ual-escuela-superior-de-ingenieria/3/apuntes-guia-ejer-solidworks-apuntes-guia-ejer-solidworkspdf-5954647?page=subject&path=ffb3HOwS
Anónimo

@Anónimo

practicas

-

CAE_A2. Elementos Truss 3D

He publicado nuevos practicas de 3º Diseño Asistido Por Ordenador: CAE_A2. Elementos Truss 3D

Miniatura no disponible
CAEA2.zip
ENUNCIADO.pdf
resultados-axiales-barras.pdf
Miniatura no disponible
https://www.wuolah.com/apuntes-diseno-asistido-por-ordenador/apuntes/grado-en-ingenieria-mecanica/ual-escuela-superior-de-ingenieria/3/apuntes-guia-ejer-solidworks-apuntes-guia-ejer-solidworkspdf-5954647?page=subject&path=ffb3HOwS
Anónimo

@Anónimo

practicas

-

CAE_A1. Introd cálculo elementos finitos

He publicado nuevos practicas de 3º Diseño Asistido Por Ordenador: CAE_A1. Introd cálculo elementos finitos

Miniatura no disponible
CAE-A111.zip
Miniatura no disponible
CAE-A113.zip
Miniatura no disponible
CAE-A112.zip
Miniatura no disponible
https://www.wuolah.com/apuntes-diseno-asistido-por-ordenador/apuntes/grado-en-ingenieria-mecanica/ual-escuela-superior-de-ingenieria/3/apuntes-guia-ejer-solidworks-apuntes-guia-ejer-solidworkspdf-5954647?page=subject&path=ffb3HOwS
Anónimo

@Anónimo

practicas

-

CAE_A0. Análisis estático aerogenerador

He publicado nuevos practicas de 3º Diseño Asistido Por Ordenador: CAE_A0. Análisis estático aerogenerador

Aerogenerador.pdf
Miniatura no disponible
SWGENERADOR.zip
Miniatura no disponible
SOLUCION-CAE.zip
Miniatura no disponible
https://www.wuolah.com/apuntes-diseno-asistido-por-ordenador/apuntes/grado-en-ingenieria-mecanica/ual-escuela-superior-de-ingenieria/3/apuntes-guia-ejer-solidworks-apuntes-guia-ejer-solidworkspdf-5954647?page=subject&path=ffb3HOwS
Anónimo

@Anónimo

practicas

-

P11 - PIEZAS SOLDADAS. LISTA DE CORTES

He publicado nuevos practicas de 3º Diseño Asistido Por Ordenador: P11 - PIEZAS SOLDADAS. LISTA DE CORTES

Miniatura no disponible
SWParte-lateral-izq.zip
EVAPORADOR-3D.pdf
Miniatura no disponible
SWEVAPORADOR.zip
PLANO-SOLUCION-Parte-lateral-izq.pdf
PARTE-LATERAL.pdf
PLANO-SOLUCION-evaporador.pdf
Anónimo

@Anónimo

practicas

-

P10 - DISEÑO CON CHAPA METÁLICA

He publicado nuevos practicas de 3º Diseño Asistido Por Ordenador: P10 - DISEÑO CON CHAPA METÁLICA

PLANO-SOLUCION-PARTE-SUPERIOR.pdf
Miniatura no disponible
SWTOLVA-SOLUCION-COMPLETA.zip
PLANO-SOLUCION-ENSAMBLAJE-TOLVA.pdf
PLANO-SOLUCION-PARTE-INFERIOR.pdf
tolva.pdf
GUIA-PRACTICA-10-TOLVA-LISTA-CORTES.pdf
Anónimo

@Anónimo

practicas

-

P9 - PROYECTO ENSAMBLAJE DE GRÚA PULPO

He publicado nuevos practicas de 3º Diseño Asistido Por Ordenador: P9 - PROYECTO ENSAMBLAJE DE GRÚA PULPO

Miniatura no disponible
SOLUCION-ENSAMBLAJE.zip
PLANO-SOLUCION-GRUA.pdf
PLANO-CONJUNTO-GRUA-ENUNCIADO.pdf
Miniatura no disponible
P9PIEZAS-GRUA.zip
Miniatura no disponible
https://www.wuolah.com/apuntes-diseno-asistido-por-ordenador/apuntes/grado-en-ingenieria-mecanica/ual-escuela-superior-de-ingenieria/3/apuntes-guia-ejer-solidworks-apuntes-guia-ejer-solidworkspdf-5954647?page=subject&path=ffb3HOwS
Anónimo

@Anónimo

practicas

-

P8 - ENSAMBLAJES 2

He publicado nuevos practicas de 3º Diseño Asistido Por Ordenador: P8 - ENSAMBLAJES 2

Miniatura no disponible
COMPONENTES-LAMPARA.zip
PLANO-ENSAMBLAJE.pdf
Miniatura no disponible
SWENSAMBLAJES-2LAMPARA-CON-SOLUCION.rar
Miniatura no disponible
https://www.wuolah.com/apuntes-diseno-asistido-por-ordenador/apuntes/grado-en-ingenieria-mecanica/ual-escuela-superior-de-ingenieria/3/apuntes-guia-ejer-solidworks-apuntes-guia-ejer-solidworkspdf-5954647?page=subject&path=ffb3HOwS
Anónimo

@Anónimo

practicas

-

P6 - ENSAMBLAJES 1

He publicado nuevos practicas de 3º Diseño Asistido Por Ordenador: P6 - ENSAMBLAJES 1

P6EN13-ENSAMBLAJE.pdf
PLANOS-P6EXEN16.pdf
P6EN16-PASADOR.pdf
P6EN13-POLEA-Y-PASADOR.pdf
Miniatura no disponible
SW-P6EJEMPLO-1-SOLUCION.zip
P6EN16-PINZA.pdf
Anónimo

@Anónimo

practicas

-

P5 - TABLAS DISEÑO (DISEÑO PARAMETRICO)

He publicado nuevos practicas de 3º Diseño Asistido Por Ordenador: P5 - TABLAS DISEÑO (DISEÑO PARAMETRICO)

PLANO-CARCASA.pdf
Miniatura no disponible
SWRESORTEP5.zip
Miniatura no disponible
SWCARCASA.zip
Miniatura no disponible
https://www.wuolah.com/apuntes-diseno-asistido-por-ordenador/apuntes/grado-en-ingenieria-mecanica/ual-escuela-superior-de-ingenieria/3/apuntes-guia-ejer-solidworks-apuntes-guia-ejer-solidworkspdf-5954647?page=subject&path=ffb3HOwS
Anónimo

@Anónimo

practicas

-

P4 - DISEÑO MEDIANTE SUPERFICIES

He publicado nuevos practicas de 3º Diseño Asistido Por Ordenador: P4 - DISEÑO MEDIANTE SUPERFICIES

Miniatura no disponible
SWPOMO.rar
Miniatura no disponible
SWBOTELLA.rar
PLANO-CUCHARA.pdf
Miniatura no disponible
SWCUCHARA.zip
PDF-3D-CUCHARA.pdf
Miniatura no disponible
https://www.wuolah.com/apuntes-diseno-asistido-por-ordenador/apuntes/grado-en-ingenieria-mecanica/ual-escuela-superior-de-ingenieria/3/apuntes-guia-ejer-solidworks-apuntes-guia-ejer-solidworkspdf-5954647?page=subject&path=ffb3HOwS
Anónimo

@Anónimo

practicas

-

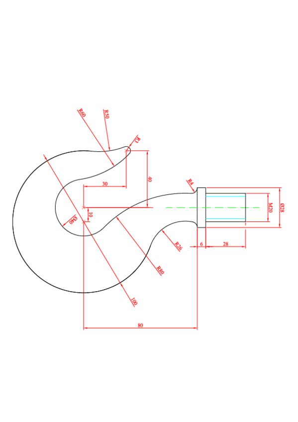
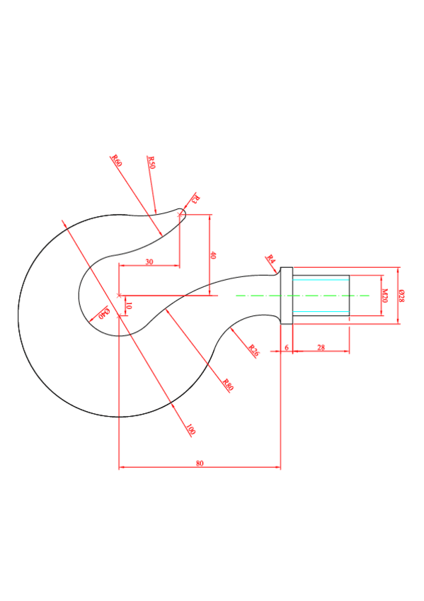
P3 - GANCHO DE CARGA

He publicado nuevos practicas de 3º Diseño Asistido Por Ordenador: P3 - GANCHO DE CARGA

Miniatura no disponible
SWGANCHO-DE-CARGA.zip
PLANO-GANCHO.pdf
GUIA-PRACTICA-3-GANCHO-CARGA.pdf
Miniatura no disponible
https://www.wuolah.com/apuntes-diseno-asistido-por-ordenador/apuntes/grado-en-ingenieria-mecanica/ual-escuela-superior-de-ingenieria/3/apuntes-guia-ejer-solidworks-apuntes-guia-ejer-solidworkspdf-5954647?page=subject&path=ffb3HOwS
Anónimo

@Anónimo

practicas

-

P2 - AIREADOR. MODELO 3D Y PLANOS

He publicado nuevos practicas de 3º Diseño Asistido Por Ordenador: P2 - AIREADOR. MODELO 3D Y PLANOS

PLANO-SOLUCION-AIREADOR.pdf
Miniatura no disponible
SWAIREADORP2.zip
PIEZA-PDF-3D.pdf
GUIA-PRACTICA-2-AIREADOR.pdf
PLANO-AIREADOR.pdf
Miniatura no disponible
https://www.wuolah.com/apuntes-diseno-asistido-por-ordenador/apuntes/grado-en-ingenieria-mecanica/ual-escuela-superior-de-ingenieria/3/apuntes-guia-ejer-solidworks-apuntes-guia-ejer-solidworkspdf-5954647?page=subject&path=ffb3HOwS
Anónimo

@Anónimo

practicas

-

P1 - OPERACIONES BARRIDO Y RECUBRIMIENTO

He publicado nuevos practicas de 3º Diseño Asistido Por Ordenador: P1 - OPERACIONES BARRIDO Y RECUBRIMIENTO

GUIA-P1-RESORTE.pdf
RESORTE-HELICOIDAL-PLANO.pdf
GUIA-P1-BROCA.pdf
PLANO-ESCOPLO.pdf
GUIA-PRACTICA-1-COMPLETA.pdf
PLANO-BROCA.pdf
Anónimo

@Anónimo

practicas

-

P0 - EJERCICIO 0

He publicado nuevos practicas de 3º Diseño Asistido Por Ordenador: P0 - EJERCICIO 0

Miniatura no disponible
SWE0.zip
EJERCICIO-0-TUTORIAL-PLANO.pdf
EJERCICIO-0-TUTORIAL-PIEZA.pdf
E0.pdf
Miniatura no disponible
https://www.wuolah.com/apuntes-diseno-asistido-por-ordenador/apuntes/grado-en-ingenieria-mecanica/ual-escuela-superior-de-ingenieria/3/apuntes-guia-ejer-solidworks-apuntes-guia-ejer-solidworkspdf-5954647?page=subject&path=ffb3HOwS
Anónimo

@Anónimo

apuntes

-

RESUMEN NORMALIZACION

He publicado nuevos apuntes de 3º Diseño Asistido Por Ordenador: RESUMEN NORMALIZACION

RESUMEN-NORMALIZACION.pdf
UNE-EN-ISO-5455.pdf
UNEEN-ISO-2162008.pdf
UNE-EN-ISO-3098-5.pdf
UNE-EN-ISO-5457.pdf
UNEEN-ISO-128-22020.pdf
Anónimo

@Anónimo

examenes

-

EXAMEN ENERO 2013 CON SOL

He publicado nuevos examenes de 3º Diseño Asistido Por Ordenador: EXAMEN ENERO 2013 CON SOL

PLANO-EXEN13-ENSAMBLAJE.pdf
EJERCICIO-1.pdf
Miniatura no disponible
SWCADEN13-PIEZAS.zip
ENUNCIADO-CAD-EN13.pdf
EJERCICIO-2-RESUELTO.pdf
PLANO-EXEN13-POLEA-COLGANTE.pdf
Anónimo

@Anónimo

examenes

-

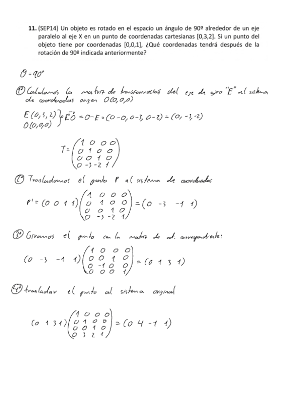
EXAMEN SEPTIEMBRE 2014 CON SOL

He publicado nuevos examenes de 3º Diseño Asistido Por Ordenador: EXAMEN SEPTIEMBRE 2014 CON SOL

EJERCICIO-1-RESUELTO.pdf
EJERCICIO-1-ENUNCIADO.pdf
Miniatura no disponible
https://www.wuolah.com/apuntes-diseno-asistido-por-ordenador/apuntes/grado-en-ingenieria-mecanica/ual-escuela-superior-de-ingenieria/3/apuntes-guia-ejer-solidworks-apuntes-guia-ejer-solidworkspdf-5954647?page=subject&path=OJMIZ9JA
Anónimo

@Anónimo

examenes

-

EXAMEN FEBRERO 2014 CON SOL

He publicado nuevos examenes de 3º Diseño Asistido Por Ordenador: EXAMEN FEBRERO 2014 CON SOL

SWPLANOFEB14SOLUCION.pdf
EJERCICIO-1-RESUELTO.pdf
PLANOS-ENUNCIADO-CAD-ENE14.pdf
Miniatura no disponible
SWCADFEB14SOLUCION.zip
Miniatura no disponible
https://www.wuolah.com/apuntes-diseno-asistido-por-ordenador/apuntes/grado-en-ingenieria-mecanica/ual-escuela-superior-de-ingenieria/3/apuntes-guia-ejer-solidworks-apuntes-guia-ejer-solidworkspdf-5954647?page=subject&path=OJMIZ9JA
Anónimo

@Anónimo

examenes

-

EXAMEN SEPTIEMBRE 2015 CON SOL

He publicado nuevos examenes de 3º Diseño Asistido Por Ordenador: EXAMEN SEPTIEMBRE 2015 CON SOL

EJERCICIO-1-RESUELTO.pdf
Miniatura no disponible
CAESEP15SOLUCION.zip
Miniatura no disponible
https://www.wuolah.com/apuntes-diseno-asistido-por-ordenador/apuntes/grado-en-ingenieria-mecanica/ual-escuela-superior-de-ingenieria/3/apuntes-guia-ejer-solidworks-apuntes-guia-ejer-solidworkspdf-5954647?page=subject&path=OJMIZ9JA
Anónimo

@Anónimo

examenes

-

EXAMEN FEBRERO 2015 CON SOL

He publicado nuevos examenes de 3º Diseño Asistido Por Ordenador: EXAMEN FEBRERO 2015 CON SOL

PLANOS-ENUNCIADO-CAD-ENE15.pdf
Miniatura no disponible
SWCADENE15SOLUCION.zip
Miniatura no disponible
SWCAEENE15SOLUCION.zip
PIEZA-3D-CAD.pdf
EJERCICIO-1-RESUELTO.pdf
Miniatura no disponible
https://www.wuolah.com/apuntes-diseno-asistido-por-ordenador/apuntes/grado-en-ingenieria-mecanica/ual-escuela-superior-de-ingenieria/3/apuntes-guia-ejer-solidworks-apuntes-guia-ejer-solidworkspdf-5954647?page=subject&path=OJMIZ9JA