Diseño Asistido Por Ordenador

chevron_left
chevron_right
Todo
Apuntes
Ejercicios
Exámenes
Prácticas
chevron_left
chevron_right

He publicado nuevos apuntes de 3º Diseño Asistido Por Ordenador: Enunciado-CAD-Enero-2018.pdf

2 páginas

He publicado nuevos apuntes de 3º Diseño Asistido Por Ordenador: Enunciado-CAD-Septiembre-2020.pdf

2 páginas

He publicado nuevos apuntes de 3º Diseño Asistido Por Ordenador: Practica-1.pdf

1 página

apuntes

-

Examen CAD 2019

He publicado nuevos apuntes de 3º Diseño Asistido Por Ordenador: Examen CAD 2019

Enunciado.pdf
Planos.pdf

apuntes

-

Cámara de mezcla

He publicado nuevos apuntes de 3º Diseño Asistido Por Ordenador: Cámara de mezcla

Camara-de-mezcla.pdf
planos.pdf

apuntes

-

TEMAS TEORÍA RESUMIDOS

He publicado nuevos apuntes de 3º Diseño Asistido Por Ordenador: TEMAS TEORÍA RESUMIDOS

Tema-1-Resumido.pdf
Tema-2-Resumido.pdf
Tema-3-Resumido.pdf
Tema-4-Resumido.pdf
Tema-5-Resumido.pdf
Tema-6-Resumido.pdf

EJERCICIOS DE SUPERFICIE BILINEAL DE EXAMEN

10 páginas

EJERCICIOS DE HERMITE DE EXAMEN

3 páginas

EJERCICIOS CURVAS DE BEZIER DE EXAMEN

3 páginas

EJERCICIOS DE MATRICES DE ROTACIÓN DE EXAMEN

12 páginas
Anónimo

@Anónimo

He publicado nuevos apuntes de 3º Diseño Asistido Por Ordenador: Teoria-Examenes-DAO.pdf

14 páginas
Anónimo

@Anónimo

Preguntas teoría exámenes

34 páginas
Anónimo

@Anónimo

ejercicios

-

Ejercicio 1

He publicado nuevos ejercicios de 3º Diseño Asistido Por Ordenador: Ejercicio 1

Planos-ejercicio-1.pdf
Miniatura no disponible
Pieza1.SLDPRT

apuntes

-

examen 2k24 ordinaria :)

He publicado nuevos apuntes de 3º Diseño Asistido Por Ordenador: examen 2k24 ordinaria :)

Miniatura no disponible
baserodillo.SLDPRT
Miniatura no disponible
eje.SLDPRT
Miniatura no disponible
ensamblajeexamen.SLDASM
Miniatura no disponible
MARTAVISTAEXPLOSIONADA.SLDDRW
Miniatura no disponible
rodillodecampana.SLDPRT
Miniatura no disponible
soporteeje.SLDPRT

He publicado nuevos examenes de 3º Diseño Asistido Por Ordenador: PREGUNTAS-DE-EXAMEN-DAO-POR-TEMAS.pdf

11 páginas

apuntes

-

Teoría y formulario

He publicado nuevos apuntes de 3º Diseño Asistido Por Ordenador: Teoría y formulario

Formulario.pdf
Resumen-de-teoria..pdf
Tema-1.pdf
TEMA-8.pdf

examenes

-

Exámenes

He publicado nuevos examenes de 3º Diseño Asistido Por Ordenador: Exámenes

Enero-2020.pdf
Enero-2022.pdf
Febrero-2013.pdf
Febrero-2014.pdf
Febrero-2016.pdf
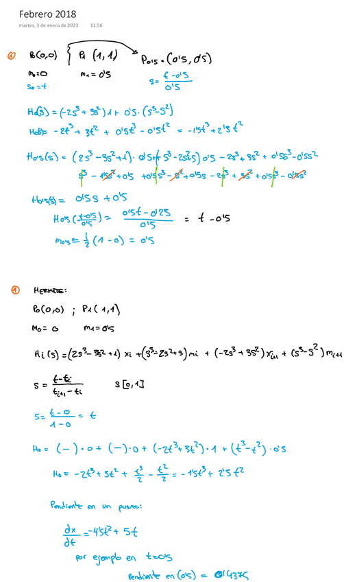
Febrero-2018.pdf

He publicado nuevos examenes de 3º Diseño Asistido Por Ordenador: Enero-2019.pdf

1 página

apuntes

-

Resumenes

He publicado nuevos apuntes de 3º Diseño Asistido Por Ordenador: Resumenes

3.pdf
4.pdf
5.pdf
6-Ejercicios.pdf
7.pdf
1.pdf
Anónimo

@Anónimo

examenes

-

EXAMEN ENERO 2019 CON SOL

He publicado nuevos examenes de 3º Diseño Asistido Por Ordenador: EXAMEN ENERO 2019 CON SOL

PLANO-SOLUCION-CAD-ENE19.pdf
PREGUNTA-6-TEORIA.pdf
EJERCICIO-1-RESUELTO.pdf
Miniatura no disponible
SWSOLUCIONCADENE19.zip
EJERCICIO-2-RESUELTO.pdf
Miniatura no disponible
https://www.wuolah.com/apuntes-diseno-asistido-por-ordenador/apuntes/grado-en-ingenieria-mecanica/ual-escuela-superior-de-ingenieria/3/apuntes-guia-ejer-solidworks-apuntes-guia-ejer-solidworkspdf-5954647?page=subject&path=htHvwhN9
Anónimo

@Anónimo

examenes

-

EXAMEN ENERO 2020 CON SOL

He publicado nuevos examenes de 3º Diseño Asistido Por Ordenador: EXAMEN ENERO 2020 CON SOL

LISTA-CORTES-SOLUCION.pdf
EJERCICIO-1-RESUELTO.pdf
Miniatura no disponible
SOLUCION-Y-PIEZAS-CAD-2020.zip
EJERCICIO-2-RESUELTO.pdf
Miniatura no disponible
SOLUCION-CAE-ENE-2020.zip
Miniatura no disponible
https://www.wuolah.com/apuntes-diseno-asistido-por-ordenador/apuntes/grado-en-ingenieria-mecanica/ual-escuela-superior-de-ingenieria/3/apuntes-guia-ejer-solidworks-apuntes-guia-ejer-solidworkspdf-5954647?page=subject&path=htHvwhN9
Anónimo

@Anónimo

examenes

-

EXAMEN ENERO 2022 CON SOL

He publicado nuevos examenes de 3º Diseño Asistido Por Ordenador: EXAMEN ENERO 2022 CON SOL

Miniatura no disponible
SWCADENE22SOLUCION.zip
PLANO-SOLUCION-CAD-ENE22.pdf
Miniatura no disponible
https://www.wuolah.com/apuntes-diseno-asistido-por-ordenador/apuntes/grado-en-ingenieria-mecanica/ual-escuela-superior-de-ingenieria/3/apuntes-guia-ejer-solidworks-apuntes-guia-ejer-solidworkspdf-5954647?page=subject&path=htHvwhN9
Anónimo

@Anónimo

examenes

-

EXAMEN JUNIO 2021 CON SOL

He publicado nuevos examenes de 3º Diseño Asistido Por Ordenador: EXAMEN JUNIO 2021 CON SOL

Aerogenerador-CAEJUN21.pdf
Miniatura no disponible
SWCAEconSOLUCIONJUN21.zip
SOLJUN21PLANOCAD.pdf
PIEZA-3D-JUNIO21-PDF.pdf
Miniatura no disponible
SOLCADJUN21.zip
Miniatura no disponible
https://www.wuolah.com/apuntes-diseno-asistido-por-ordenador/apuntes/grado-en-ingenieria-mecanica/ual-escuela-superior-de-ingenieria/3/apuntes-guia-ejer-solidworks-apuntes-guia-ejer-solidworkspdf-5954647?page=subject&path=htHvwhN9
Anónimo

@Anónimo

examenes

-

EXAMEN ENERO 2021 CON SOL

He publicado nuevos examenes de 3º Diseño Asistido Por Ordenador: EXAMEN ENERO 2021 CON SOL

Miniatura no disponible
SOLCAEEN21.rar
Miniatura no disponible
https://www.wuolah.com/apuntes-diseno-asistido-por-ordenador/apuntes/grado-en-ingenieria-mecanica/ual-escuela-superior-de-ingenieria/3/apuntes-guia-ejer-solidworks-apuntes-guia-ejer-solidworkspdf-5954647?page=subject&path=htHvwhN9
Anónimo

@Anónimo

practicas

-

P11 - PIEZAS SOLDADAS. LISTA DE CORTES

He publicado nuevos practicas de 3º Diseño Asistido Por Ordenador: P11 - PIEZAS SOLDADAS. LISTA DE CORTES

Miniatura no disponible
SWParte-lateral-izq.zip
Miniatura no disponible
SWEVAPORADOR.zip
PARTE-LATERAL.pdf
PLANO-SOLUCION-evaporador.pdf
EVAPORADOR-3D.pdf
PLANO-SOLUCION-Parte-lateral-izq.pdf
Anónimo

@Anónimo

practicas

-

P10 - DISEÑO CON CHAPA METÁLICA

He publicado nuevos practicas de 3º Diseño Asistido Por Ordenador: P10 - DISEÑO CON CHAPA METÁLICA

Miniatura no disponible
SWTOLVA-SOLUCION-COMPLETA.zip
PLANO-SOLUCION-PARTE-SUPERIOR.pdf
PLANO-SOLUCION-ENSAMBLAJE-TOLVA.pdf
GUIA-PRACTICA-10-TOLVA-LISTA-CORTES.pdf
PLANO-SOLUCION-PARTE-INFERIOR.pdf
tolva.pdf
Anónimo

@Anónimo

practicas

-

P9 - PROYECTO ENSAMBLAJE DE GRÚA PULPO

He publicado nuevos practicas de 3º Diseño Asistido Por Ordenador: P9 - PROYECTO ENSAMBLAJE DE GRÚA PULPO

Miniatura no disponible
SOLUCION-ENSAMBLAJE.zip
PLANO-CONJUNTO-GRUA-ENUNCIADO.pdf
PLANO-SOLUCION-GRUA.pdf
Miniatura no disponible
P9PIEZAS-GRUA.zip
Miniatura no disponible
https://www.wuolah.com/apuntes-diseno-asistido-por-ordenador/apuntes/grado-en-ingenieria-mecanica/ual-escuela-superior-de-ingenieria/3/apuntes-guia-ejer-solidworks-apuntes-guia-ejer-solidworkspdf-5954647?page=subject&path=htHvwhN9
Miniatura no disponible
https://www.wuolah.com/apuntes-diseno-asistido-por-ordenador/apuntes/grado-en-ingenieria-mecanica/ual-escuela-superior-de-ingenieria/3/apuntes-guia-ejer-solidworks-apuntes-guia-ejer-solidworkspdf-5954647?page=subject&path=htHvwhN9
Anónimo

@Anónimo

practicas

-

P8 - ENSAMBLAJES 2

He publicado nuevos practicas de 3º Diseño Asistido Por Ordenador: P8 - ENSAMBLAJES 2

Miniatura no disponible
SWENSAMBLAJES-2LAMPARA-CON-SOLUCION.rar
Miniatura no disponible
COMPONENTES-LAMPARA.zip
Miniatura no disponible
https://www.wuolah.com/apuntes-diseno-asistido-por-ordenador/apuntes/grado-en-ingenieria-mecanica/ual-escuela-superior-de-ingenieria/3/apuntes-guia-ejer-solidworks-apuntes-guia-ejer-solidworkspdf-5954647?page=subject&path=htHvwhN9
Anónimo

@Anónimo

practicas

-

P6 - ENSAMBLAJES 1

He publicado nuevos practicas de 3º Diseño Asistido Por Ordenador: P6 - ENSAMBLAJES 1

P6EN13-POLEA-COLGANTE.pdf
Miniatura no disponible
SW-P6EJEMPLO-1-SOLUCION.zip
Miniatura no disponible
SWP6EXEN13-PIEZAS.zip
P6EN13-POLEA-Y-PASADOR.pdf
Miniatura no disponible
SWP6EXEN16-SOLUCION.zip
PLANOS-P6EXEN16.pdf
Anónimo

@Anónimo

practicas

-

P5 - TABLAS DISEÑO (DISEÑO PARAMETRICO)

He publicado nuevos practicas de 3º Diseño Asistido Por Ordenador: P5 - TABLAS DISEÑO (DISEÑO PARAMETRICO)

Miniatura no disponible
SWCARCASA.zip
PLANO-CARCASA.pdf
Miniatura no disponible
SWRESORTEP5.zip
Miniatura no disponible
https://www.wuolah.com/apuntes-diseno-asistido-por-ordenador/apuntes/grado-en-ingenieria-mecanica/ual-escuela-superior-de-ingenieria/3/apuntes-guia-ejer-solidworks-apuntes-guia-ejer-solidworkspdf-5954647?page=subject&path=htHvwhN9
Anónimo

@Anónimo

practicas

-

P4 - DISEÑO MEDIANTE SUPERFICIES

He publicado nuevos practicas de 3º Diseño Asistido Por Ordenador: P4 - DISEÑO MEDIANTE SUPERFICIES

PLANO-CUCHARA.pdf
PDF-3D-CUCHARA.pdf
Miniatura no disponible
SWCUCHARA.zip
Miniatura no disponible
SWPOMO.rar
Miniatura no disponible
SWBOTELLA.rar
Miniatura no disponible
https://www.wuolah.com/apuntes-diseno-asistido-por-ordenador/apuntes/grado-en-ingenieria-mecanica/ual-escuela-superior-de-ingenieria/3/apuntes-guia-ejer-solidworks-apuntes-guia-ejer-solidworkspdf-5954647?page=subject&path=htHvwhN9
Anónimo

@Anónimo

practicas

-

P3 - GANCHO DE CARGA

He publicado nuevos practicas de 3º Diseño Asistido Por Ordenador: P3 - GANCHO DE CARGA

GUIA-PRACTICA-3-GANCHO-CARGA.pdf
Miniatura no disponible
SWGANCHO-DE-CARGA.zip
PLANO-GANCHO.pdf
Miniatura no disponible
https://www.wuolah.com/apuntes-diseno-asistido-por-ordenador/apuntes/grado-en-ingenieria-mecanica/ual-escuela-superior-de-ingenieria/3/apuntes-guia-ejer-solidworks-apuntes-guia-ejer-solidworkspdf-5954647?page=subject&path=htHvwhN9
Anónimo

@Anónimo

practicas

-

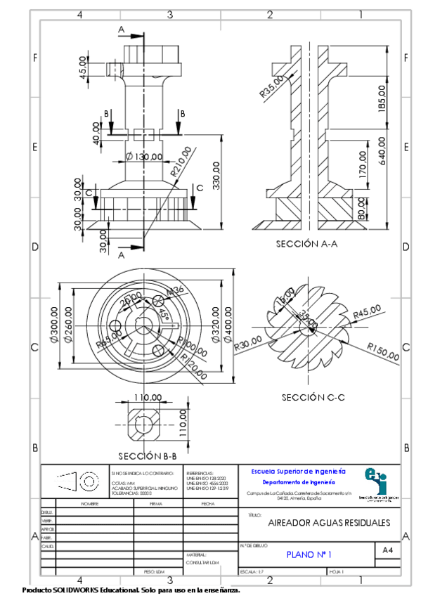
P2 - AIREADOR. MODELO 3D Y PLANOS

He publicado nuevos practicas de 3º Diseño Asistido Por Ordenador: P2 - AIREADOR. MODELO 3D Y PLANOS

GUIA-PRACTICA-2-AIREADOR.pdf
Miniatura no disponible
SWAIREADORP2.zip
PIEZA-PDF-3D.pdf
PLANO-AIREADOR.pdf
PLANO-SOLUCION-AIREADOR.pdf
Miniatura no disponible
https://www.wuolah.com/apuntes-diseno-asistido-por-ordenador/apuntes/grado-en-ingenieria-mecanica/ual-escuela-superior-de-ingenieria/3/apuntes-guia-ejer-solidworks-apuntes-guia-ejer-solidworkspdf-5954647?page=subject&path=htHvwhN9
Anónimo

@Anónimo

practicas

-

P1 - OPERACIONES BARRIDO Y RECUBRIMIENTO

He publicado nuevos practicas de 3º Diseño Asistido Por Ordenador: P1 - OPERACIONES BARRIDO Y RECUBRIMIENTO

Miniatura no disponible
SWRESORTE-HELICOIDALP1.zip
PLANO-BROCA.pdf
PLANO-ESCOPLO.pdf
RESORTE-HELICOIDAL-PLANO.pdf
Miniatura no disponible
SWCLIPP1.zip
Miniatura no disponible
SWBROCAP1.zip
Anónimo

@Anónimo

practicas

-

P0 - EJERCICIO 0

He publicado nuevos practicas de 3º Diseño Asistido Por Ordenador: P0 - EJERCICIO 0

E0.pdf
EJERCICIO-0-TUTORIAL-PIEZA.pdf
EJERCICIO-0-TUTORIAL-PLANO.pdf
Miniatura no disponible
SWE0.zip
Miniatura no disponible
https://www.wuolah.com/apuntes-diseno-asistido-por-ordenador/apuntes/grado-en-ingenieria-mecanica/ual-escuela-superior-de-ingenieria/3/apuntes-guia-ejer-solidworks-apuntes-guia-ejer-solidworkspdf-5954647?page=subject&path=htHvwhN9
Anónimo

@Anónimo

practicas

-

CAE_A5. Mallado sólidos y superficies

He publicado nuevos practicas de 3º Diseño Asistido Por Ordenador: CAE_A5. Mallado sólidos y superficies

Miniatura no disponible
SWSOLUCION-ACTIVIDAD1.zip
Miniatura no disponible
SWSOLUCION-ACTIVIDAD2.zip
Miniatura no disponible
https://www.wuolah.com/apuntes-diseno-asistido-por-ordenador/apuntes/grado-en-ingenieria-mecanica/ual-escuela-superior-de-ingenieria/3/apuntes-guia-ejer-solidworks-apuntes-guia-ejer-solidworkspdf-5954647?page=subject&path=htHvwhN9
Anónimo

@Anónimo

practicas

-

CAE_A4. Análisis frecuencia vibración

He publicado nuevos practicas de 3º Diseño Asistido Por Ordenador: CAE_A4. Análisis frecuencia vibración

Miniatura no disponible
CAEA4.zip
Miniatura no disponible
https://www.wuolah.com/apuntes-diseno-asistido-por-ordenador/apuntes/grado-en-ingenieria-mecanica/ual-escuela-superior-de-ingenieria/3/apuntes-guia-ejer-solidworks-apuntes-guia-ejer-solidworkspdf-5954647?page=subject&path=htHvwhN9
Anónimo

@Anónimo

practicas

-

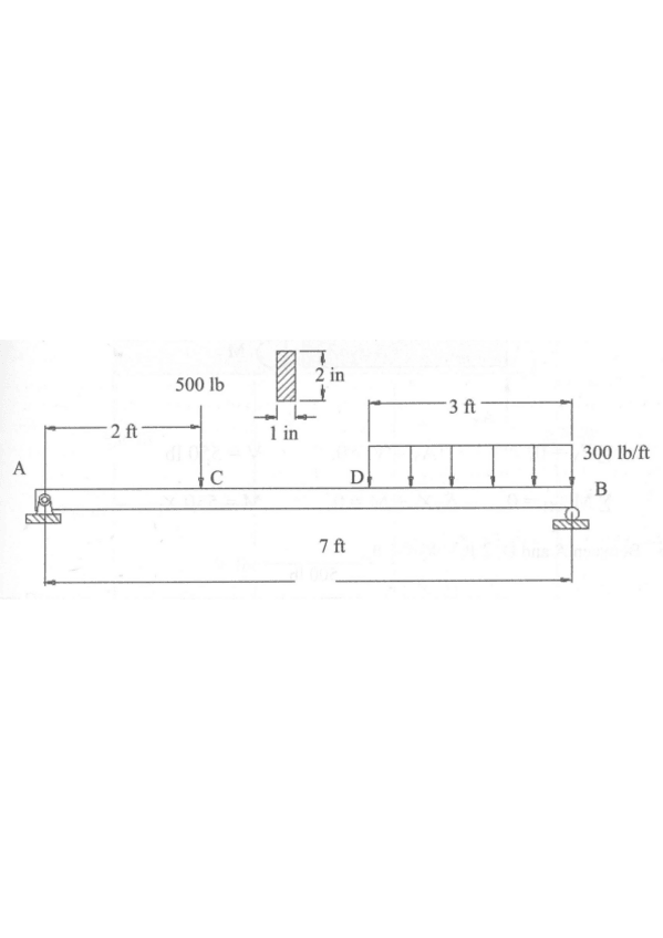
CAE_A3. Elementos tipo viga

He publicado nuevos practicas de 3º Diseño Asistido Por Ordenador: CAE_A3. Elementos tipo viga

SOLUCIONES.pdf
ENUNCIADO.pdf
Miniatura no disponible
SWSOLUCION.zip
Miniatura no disponible
https://www.wuolah.com/apuntes-diseno-asistido-por-ordenador/apuntes/grado-en-ingenieria-mecanica/ual-escuela-superior-de-ingenieria/3/apuntes-guia-ejer-solidworks-apuntes-guia-ejer-solidworkspdf-5954647?page=subject&path=htHvwhN9
Anónimo

@Anónimo

practicas

-

CAE_A2. Elementos Truss 3D

He publicado nuevos practicas de 3º Diseño Asistido Por Ordenador: CAE_A2. Elementos Truss 3D

ENUNCIADO.pdf
resultados-axiales-barras.pdf
Miniatura no disponible
CAEA2.zip
Miniatura no disponible
https://www.wuolah.com/apuntes-diseno-asistido-por-ordenador/apuntes/grado-en-ingenieria-mecanica/ual-escuela-superior-de-ingenieria/3/apuntes-guia-ejer-solidworks-apuntes-guia-ejer-solidworkspdf-5954647?page=subject&path=htHvwhN9
Anónimo

@Anónimo

practicas

-

CAE_A1. Introd cálculo elementos finitos

He publicado nuevos practicas de 3º Diseño Asistido Por Ordenador: CAE_A1. Introd cálculo elementos finitos

Miniatura no disponible
CAE-A112.zip
Miniatura no disponible
CAE-A111.zip
Miniatura no disponible
CAE-A113.zip
Miniatura no disponible
https://www.wuolah.com/apuntes-diseno-asistido-por-ordenador/apuntes/grado-en-ingenieria-mecanica/ual-escuela-superior-de-ingenieria/3/apuntes-guia-ejer-solidworks-apuntes-guia-ejer-solidworkspdf-5954647?page=subject&path=htHvwhN9
Anónimo

@Anónimo

practicas

-

CAE_A0. Análisis estático aerogenerador

He publicado nuevos practicas de 3º Diseño Asistido Por Ordenador: CAE_A0. Análisis estático aerogenerador

Miniatura no disponible
SWGENERADOR.zip
Aerogenerador.pdf
Miniatura no disponible
SOLUCION-CAE.zip
Miniatura no disponible
https://www.wuolah.com/apuntes-diseno-asistido-por-ordenador/apuntes/grado-en-ingenieria-mecanica/ual-escuela-superior-de-ingenieria/3/apuntes-guia-ejer-solidworks-apuntes-guia-ejer-solidworkspdf-5954647?page=subject&path=htHvwhN9
Anónimo

@Anónimo

practicas

-

PIEZAS PARA PRACTICAR SOLIDWORKS

He publicado nuevos practicas de 3º Diseño Asistido Por Ordenador: PIEZAS PARA PRACTICAR SOLIDWORKS

E3-ENUNCIADO.pdf
E4-ENUNCIADO.pdf
Miniatura no disponible
E3-SOLUCION.rar
Miniatura no disponible
E2-SOLUCION.rar
E1-PLANO-SOLUCION.pdf
E4-PLANO-SOLUCION.pdf
Anónimo

@Anónimo

practicas

-

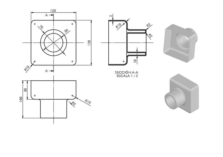
ACTIVIDAD IND 2 - MODELOS SOLIDOS 3D

He publicado nuevos practicas de 3º Diseño Asistido Por Ordenador: ACTIVIDAD IND 2 - MODELOS SOLIDOS 3D

ENUNCIADO-PIEZA-1.pdf
PLANO-3D-PIEZA-2.pdf
ENUNCIADO-PIEZA-2.pdf
PLANO-PIEZA-1.pdf
Miniatura no disponible
RESOLUCION-ACT2P2.zip
PLANO-PIEZA-2.pdf
Anónimo

@Anónimo

practicas

-

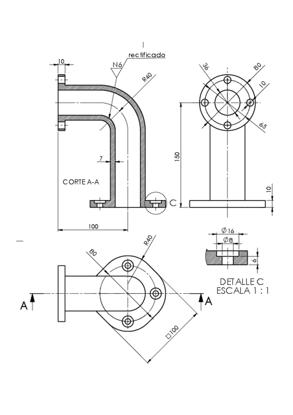
ACTIVIDAD IND 1 - CODO CON BRIDA 90 G

He publicado nuevos practicas de 3º Diseño Asistido Por Ordenador: ACTIVIDAD IND 1 - CODO CON BRIDA 90 G

Miniatura no disponible
SWCODO.zip
GUIA-ACTIVIDAD-1.pdf
PLANO-CODO.pdf
PIEZA-3D-PDF.pdf
Miniatura no disponible
https://www.wuolah.com/apuntes-diseno-asistido-por-ordenador/apuntes/grado-en-ingenieria-mecanica/ual-escuela-superior-de-ingenieria/3/apuntes-guia-ejer-solidworks-apuntes-guia-ejer-solidworkspdf-5954647?page=subject&path=htHvwhN9

He publicado nuevos apuntes de 3º Diseño Asistido Por Ordenador: APUNTES-EJERCICIOS-PRACTICOS.pdf

10 páginas

He publicado nuevos apuntes de 3º Diseño Asistido Por Ordenador: APUNTES-GUIA-EJER-SOLIDWORKS.pdf

29 páginas

examenes

-

PREGUNTAS TEORICAS RESUELTAS

He publicado nuevos examenes de 3º Diseño Asistido Por Ordenador: PREGUNTAS TEORICAS RESUELTAS

PREGUNTAS-TEMA-4.pdf
PREGUNTAS-TEMA-2.pdf
PREGUNTAS-TEORICAS-RESUELTAS.pdf
PREGUNTAS-TEMA-8.pdf
PREGUNTAS-TEMA-5.pdf
PREGUNTAS-TEMA-7.pdf

ejercicios

-

EJERCICIOS PRACTICOS RESUELTOS

He publicado nuevos ejercicios de 3º Diseño Asistido Por Ordenador: EJERCICIOS PRACTICOS RESUELTOS

E4.pdf
E6.pdf
E8.pdf
E5.pdf
E9.pdf
E7.pdf