chevron_left
chevron_right
Todo
Apuntes
chevron_left
chevron_right

He publicado nuevos apuntes de 4º Diseño de Centrales Eléctricas: Diseño de Centrales - Completo.pdf

198 páginas

He publicado nuevos apuntes de 4º Diseño de Centrales Eléctricas: Diseno-de-centrales-electricas-Teoria.pdf

37 páginas

He publicado nuevos apuntes de 4º Diseño de Centrales Eléctricas: FORMULARIO-EXAMEN-2.pdf

3 páginas

apuntes

-

RESUMENES TEMAS

He publicado nuevos apuntes de 4º Diseño de Centrales Eléctricas: RESUMENES TEMAS

TEMA-1-DCE.pdf
TEMA-3-DCE.pdf
TEMA-2-DCE.pdf
TEMA-11-DCE.pdf
Tema-9-SERVICIOS-AUXILIARES-DE-LAS-CENTRALES-ELECTRICAS.pdf
TEMA-12-CENTRALES-HIDROELECTRICAS-1.pdf

apuntes

-

Práctica

He publicado nuevos apuntes de 4º Diseño de Centrales Eléctricas: Práctica

Memoria.pdf

apuntes

-

Ejercicios

He publicado nuevos apuntes de 4º Diseño de Centrales Eléctricas: Ejercicios

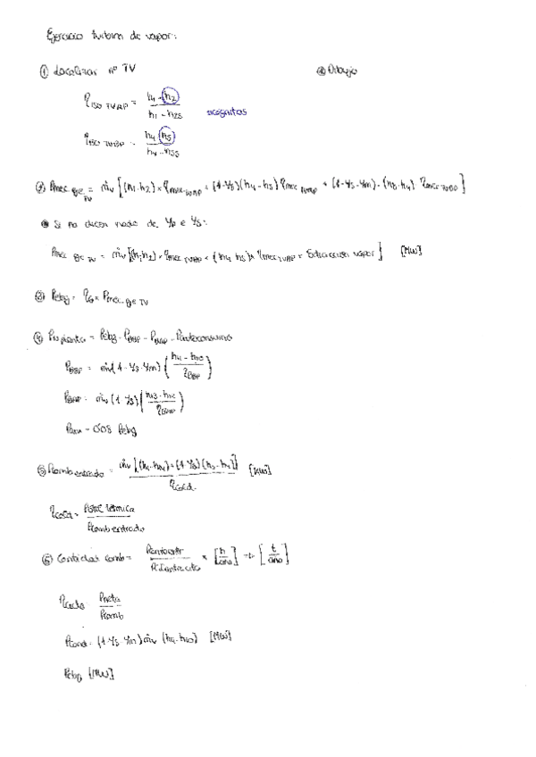
EjercicioCicloBrayton.pdf
EjerciciosDespachoEconomico.pdf
EnunciadoCicloRankine.pdf
FormularioCicloRankine.pdf
EjercicioDiagrama.pdf
FormmularioCicloBrayton.pdf

apuntes

-

ResumenTeoría

He publicado nuevos apuntes de 4º Diseño de Centrales Eléctricas: ResumenTeoría

Tema4.pdf
Tema3.pdf
Tema1.pdf
Tema2.pdf
Tema4.pdf
Tema10.pdf
¡Estás al día!

¡Estás al día!

Has visto todos los archivos