chevron_left
chevron_right
Todo
Apuntes
Ejercicios
Exámenes
Otros
publication
chevron_left
chevron_right

He publicado nuevos examenes de 3º Diseños Muestrales: Examen-final-disenos-muestrales-2025-2026.pdf

2 páginas

examenes

-

Ejercicios de exámenes anteriores

He publicado nuevos examenes de 3º Diseños Muestrales: Ejercicios de exámenes anteriores

Ejercicio-de-examenes-anteriores-1.pdf
ejercicio-examenes-anteriores-2.pdf

examenes

-

Ejercicios final 2016

He publicado nuevos examenes de 3º Diseños Muestrales: Ejercicios final 2016

ejercicio-2-final-2016.pdf
ejercicio-1-final-2016.pdf
ejercicio-3-final-2016.pdf
ejercicio-4-final-2016.pdf

ejercicios

-

Hoja 6 - muestreo sistematico

He publicado nuevos ejercicios de 3º Diseños Muestrales: Hoja 6 - muestreo sistematico

Hoja-6-ej-1.pdf
Hoja-6-ej-2.pdf
Hoja-6-ej-4.pdf
Hoja-6-ej-3.pdf
Hoja-6-ej-5.pdf

apuntes

-

Diseños muestrales apuntes

He publicado nuevos apuntes de 3º Diseños Muestrales: Diseños muestrales apuntes

Muestrales-Tema-1-Introduccion-al-muestreo.pdf
Muestrales-Tema-2-muestreo-probabilistico-conceptos-generales.pdf
Muestrales-Tema-3-Muestreo-aleatorio-simple-con-remplazamiento.pdf
Muestrales-tema-4.pdf
Tema-5-Muestreo-estratificado.pdf
Tema-6-Muestreo-sistematico.pdf

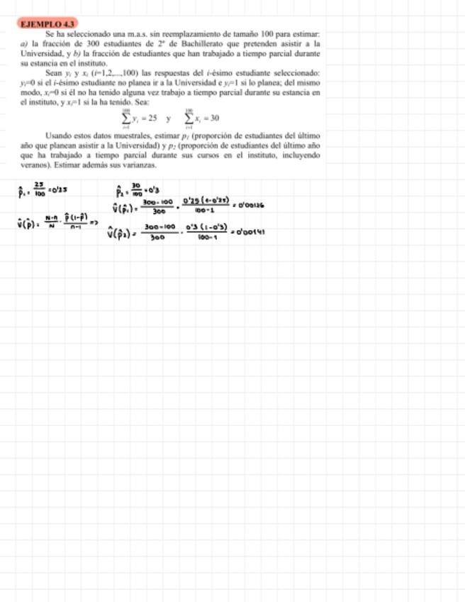
He publicado nuevos ejercicios de 3º Diseños Muestrales: Ejemplo-tema-6.pdf

1 página

ejercicios

-

Hoja 5 de ejercicios - muestreo estratificado

He publicado nuevos ejercicios de 3º Diseños Muestrales: Hoja 5 de ejercicios - muestreo estratificado

Hoja-5-ejercicio-1.pdf
Hoja-5-ejercicio-2.pdf
Hoja-5-ej-4.pdf
Hoja-5-ej-3.pdf
Hoja-5-ej-5.pdf
Hoja-5-ej-7.pdf

ejercicios

-

Ejemplos tema 5 - m. estratificado

He publicado nuevos ejercicios de 3º Diseños Muestrales: Ejemplos tema 5 - m. estratificado

EJEMPLO-5.1.pdf
EJEMPLO-5.2.pdf
EJEMPLO-5.3.pdf
EJEMPLO-5.4.pdf
EJEMPLO-5.5.pdf
EJEMPLO-5.6.pdf

ejercicios

-

Ejemplos tema 4 - m.a.s

He publicado nuevos ejercicios de 3º Diseños Muestrales: Ejemplos tema 4 - m.a.s

EJEMPLOS-4.1.pdf
EJEMPLO-4.2.pdf
EJEMPLOS-4.3.pdf
EJEMPLO-4.5.pdf
EJEMPLO-4.6.pdf
EJEMPLO-4.4.pdf

examenes

-

Primer Parcial 24-25

He publicado nuevos examenes de 3º Diseños Muestrales: Primer Parcial 24-25

Primer-Parcial-2425-1er-ej.pdf
Primer-Parcial-2425-2do-ej.pdf
Primer-Parcial-2425-3er-ej.pdf
Primer-Parcial-2425-4to-ej.pdf

ejercicios

-

Hoja temas 3 y 4 - m.a.s.r y m.a.s

He publicado nuevos ejercicios de 3º Diseños Muestrales: Hoja temas 3 y 4 - m.a.s.r y m.a.s

Hoja-3-Y-4-ej-3-y-4.pdf
Hoja-3-Y-4-ej-5-y-6.pdf
Hoja-3-Y-4-ejercicio-12.pdf
Hoja-3-Y-4-ejercicios-1-y-2.pdf
Hoja-3-Y-4-ejercicio-11.pdf
Hoja-3-Y-4-ejercicio-9.pdf

ejercicios

-

Ejemplos tema 3 - m.a.s.r

He publicado nuevos ejercicios de 3º Diseños Muestrales: Ejemplos tema 3 - m.a.s.r

TEMA-3-ejemplo-1.pdf
TEMA-3-ejemplo-2.pdf

ejercicios

-

Hoja tema 2

He publicado nuevos ejercicios de 3º Diseños Muestrales: Hoja tema 2

Hoja-2-Ejercicios-1-2-3.pdf
Hoja-2-ejercicios-4-y-5.pdf
Hoja-2-Ejercicios-6-y-7.pdf
Hoja-2-ejercicio-8-y-9.pdf
Hoja-2-ej-1.pdf
Hoja-2-ej-10.pdf

ejercicios

-

Ejemplos tema 2

He publicado nuevos ejercicios de 3º Diseños Muestrales: Ejemplos tema 2

Ejemplo-3-tema2.pdf
Ejemplo-4-tema2.pdf
Ejemplos-T2-2.1-y-2.2.pdf
EJEMPLOS-DEL-TEMA-2-sin-resolver.pdf
Ejemplo-2.3-con-mas-notas.pdf
Ejemplo-2.4-con-mas-notas.pdf

He publicado nuevos ejercicios de 3º Diseños Muestrales: Ejemplo-tema-6.pdf

2 páginas

He publicado nuevos ejercicios de 3º Diseños Muestrales: Hoja-de-ejercicios-6.pdf

6 páginas

He publicado nuevos ejercicios de 3º Diseños Muestrales: Hoja-de-ejercicios-5.pdf

7 páginas

He publicado nuevos apuntes de 3º Diseños Muestrales: Tema-6-muestreo-sistematico.pdf

1 página

He publicado nuevos ejercicios de 3º Diseños Muestrales: Ejemplos-tema-5.pdf

6 páginas

He publicado nuevos apuntes de 3º Diseños Muestrales: Tema-5-muestreo-estratificado.pdf

4 páginas

Ejercicios 11 al 19

5 páginas

Ejercicios del 1 al 10

4 páginas

He publicado nuevos apuntes de 3º Diseños Muestrales: Tema-4-muestreo-aleatorio-simple.pdf

3 páginas

He publicado nuevos ejercicios de 3º Diseños Muestrales: Ejemplos-tema-4.pdf

4 páginas

He publicado nuevos ejercicios de 3º Diseños Muestrales: Hoja-2-de-ejercicios.pdf

7 páginas

ejercicios

-

Hoja tema 1 completa

He publicado nuevos ejercicios de 3º Diseños Muestrales: Hoja tema 1 completa

Hoja-1-Disenos-Muestrales.pdf

He publicado nuevos apuntes de 3º Diseños Muestrales: Tema-3-muestreo-aleatorio-simple-con-reemplazamiento.pdf

2 páginas

He publicado nuevos ejercicios de 3º Diseños Muestrales: Ejemplos-tema-3.pdf

2 páginas

He publicado nuevos apuntes de 3º Diseños Muestrales: Tema-2-muestreo-probabilistico.pdf

2 páginas

He publicado nuevos apuntes de 3º Diseños Muestrales: Tema-1-introduccion-al-muestreo.pdf

2 páginas

He publicado nuevos ejercicios de 3º Diseños Muestrales: Ejercicios-tema-1.pdf

3 páginas

He publicado nuevos ejercicios de 3º Diseños Muestrales: Ejemplos tema 2.pdf

4 páginas

He publicado nuevos ejercicios de 3º Diseños Muestrales: TODAS-LAS-HOJAS-RESUELTAS-VILLETA.pdf

23 páginas

He publicado nuevos ejercicios de 3º Diseños Muestrales: HOJA-6-RESUELTA.pdf

4 páginas

He publicado nuevos ejercicios de 3º Diseños Muestrales: Ejercicios-Tema-5.pdf

8 páginas

He publicado nuevos ejercicios de 3º Diseños Muestrales: Ejercicios-Tema-6.pdf

7 páginas

He publicado nuevos ejercicios de 3º Diseños Muestrales: HOJA-5-RESUELTA.pdf

6 páginas

He publicado nuevos ejercicios de 3º Diseños Muestrales: HOJA-3-4-RESUELTA.pdf

7 páginas

He publicado nuevos apuntes de 3º Diseños Muestrales: Temario-completo-con-ejemplos-resueltos.pdf

39 páginas

He publicado nuevos ejercicios de 3º Diseños Muestrales: HOJA-2-RESUELTA.pdf

5 páginas

He publicado nuevos apuntes de 3º Diseños Muestrales: Tema-3.pdf

7 páginas

He publicado nuevos apuntes de 3º Diseños Muestrales: Tema-2.pdf

13 páginas

He publicado nuevos apuntes de 3º Diseños Muestrales: Tema-1.pdf

8 páginas

He publicado nuevos apuntes de 3º Diseños Muestrales: Formulario.pdf

2 páginas

He publicado nuevos examenes de 3º Diseños Muestrales: Ejercicios-examenes-1er-parcial.pdf

6 páginas

He publicado nuevos otros de 3º Diseños Muestrales: formulario-muestrales-completo.pdf

2 páginas

ejercicios

-

Hojas de ejercicios

He publicado nuevos ejercicios de 3º Diseños Muestrales: Hojas de ejercicios

Hoja-1.pdf
Hoja-2.pdf
Hoja-3-4.pdf
Hoja-5.pdf
Hoja-6.pdf

He publicado nuevos examenes de 3º Diseños Muestrales: ejercicios-segundo-parcial.pdf

7 páginas

apuntes

-

Teoría

He publicado nuevos apuntes de 3º Diseños Muestrales: Teoría

1Introduccion-al-muestreo.pdf
2-Muestreo-probabilistico-Conceptos-generales.pdf
3-Muestreo-aleatorio-simple-con-reemplazamiento.pdf
4Muestreo-aleatorio-simple-sin-reemplazamiento.pdf
5-Muestreo-estratificado.pdf
6Muestreo-sistematico.pdf

apuntes

-

TEMAS 2-6

Apuntes de temas 2, 3, 4, 5, 6 de Diseños Muestrales con María Villeta

TEMA2MuestreoProbabilistico.pdf
TEMA3M.A.S.R.pdf
TEMA4M.A.S..pdf
TEMA5MuestreoEstratificado.pdf
TEMA6MuestreoSistematico.pdf

He publicado nuevos apuntes de 3º Diseños Muestrales: Formulario.pdf

2 páginas

He publicado nuevos ejercicios de 3º Diseños Muestrales: Hoja-6.pdf

5 páginas

ejercicios

-

Ejercicios de clase resueltos

He publicado nuevos ejercicios de 3º Diseños Muestrales: Ejercicios de clase resueltos

Tema 2 ejemplos.pdf
Tema 2 ejercicios.pdf
Tema 3 ejemplos.pdf
Hoja-6-tema.pdf
Hoja-5-ejemplos.pdf
Hoja-3-4-tema.pdf

He publicado nuevos apuntes de 3º Diseños Muestrales: Formulario-Examen-Final.pdf

2 páginas

apuntes

-

Temas (teoría y fórmulas)

He publicado nuevos apuntes de 3º Diseños Muestrales: Temas (teoría y fórmulas)

Tema 1 Introducción al muestreo.pdf
Tema2 Muestreo probabilístico conceptos generales.pdf
Tema3 m.a.s.r.pdf
Tema4 m.a.s.pdf
Tema5 Muestreo estratificado.pdf
Tema6 Muestreo sistemático .pdf

He publicado nuevos ejercicios de 3º Diseños Muestrales: Hoja-Tema-5.pdf

9 páginas

He publicado nuevos apuntes de 3º Diseños Muestrales: Tema-6.-Muestreo-Sistematico.pdf

3 páginas

He publicado nuevos apuntes de 3º Diseños Muestrales: Tema 5. Muestreo Estratificado.pdf

14 páginas

He publicado nuevos ejercicios de 3º Diseños Muestrales: Hoja Tema 3 y 4.pdf

10 páginas

He publicado nuevos ejercicios de 3º Diseños Muestrales: Hoja Tema 2.pdf

10 páginas