Distribución Multidimensionales

chevron_left
chevron_right
Todo
Apuntes
Ejercicios
Exámenes
Otros
Trabajos
chevron_left
chevron_right
Anónimo

@Anónimo

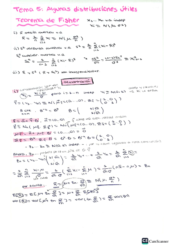
He publicado nuevos apuntes de 2º Distribución Multidimensionales: Tema-5-Sucesiones-de-Variables-Aleatorias.pdf

5 páginas
Anónimo

@Anónimo

Incluye algunos matices en lápiz. Lo que pone Demostración en clase lo subiré con los apuntes que damos en clase y están más explicados por el profesor, con cosas en lápiz para entenderlo mejor.

14 páginas
Anónimo

@Anónimo

Incluye matices para entender mejor algunos ejemplos. Lo que pone Demostración en clase lo subiré con los apuntes que damos en clase y están más explicados por el profesor, con cosas en lápiz para entenderlo mejor.

4 páginas
Anónimo

@Anónimo

Incluye cosas en lápiz para entender mejor los ejemplos

14 páginas

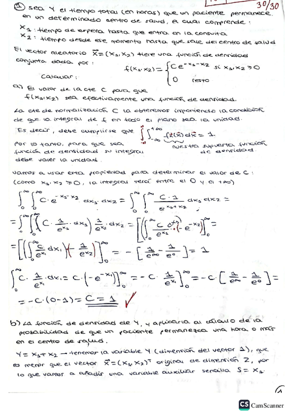
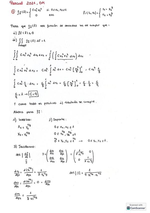
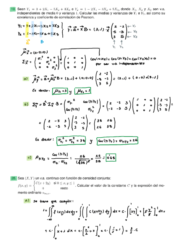
He publicado nuevos examenes de 2º Distribución Multidimensionales: Parcial-2021.pdf

4 páginas

He publicado nuevos examenes de 2º Distribución Multidimensionales: Examen-22-01-2021 resuelto.pdf

3 páginas

He publicado nuevos examenes de 2º Distribución Multidimensionales: Parcial-multi-2020-RESUELTO.pdf

4 páginas
Anónimo

@Anónimo

apuntes

-

Teoria

He publicado nuevos apuntes de 2º Distribución Multidimensionales: Teoria

GRANDES-TEOREMAS.pdf
RESUMEN.pdf
Anónimo

@Anónimo

He publicado nuevos apuntes de 2º Distribución Multidimensionales: Tema5Distribuciones-Multidimensionales.pdf

6 páginas
Anónimo

@Anónimo

He publicado nuevos apuntes de 2º Distribución Multidimensionales: Tema3Distribuciones-Multidimensionales.pdf

5 páginas
Anónimo

@Anónimo

He publicado nuevos apuntes de 2º Distribución Multidimensionales: Tema4Distribuciones-Multidimensionales.pdf

4 páginas
Anónimo

@Anónimo

He publicado nuevos apuntes de 2º Distribución Multidimensionales: Tema1Distribuciones-Multidimensionales.pdf

3 páginas
Anónimo

@Anónimo

He publicado nuevos apuntes de 2º Distribución Multidimensionales: Tema0Distribuciones-Multidimensionales.pdf

4 páginas
Anónimo

@Anónimo

He publicado nuevos apuntes de 2º Distribución Multidimensionales: Tema2Distribuciones-Multidimensionales.pdf

7 páginas

He publicado nuevos ejercicios de 2º Distribución Multidimensionales: Ejercicios-Multinomial.pdf

6 páginas

He publicado nuevos apuntes de 2º Distribución Multidimensionales: Apuntes-para-examen-final-DM.pdf

15 páginas

He publicado nuevos apuntes de 2º Distribución Multidimensionales: Tema-5-DM.pdf

2 páginas

He publicado nuevos apuntes de 2º Distribución Multidimensionales: Tema-4-DM.pdf

3 páginas

He publicado nuevos apuntes de 2º Distribución Multidimensionales: Tema-3-DM.pdf

2 páginas

He publicado nuevos apuntes de 2º Distribución Multidimensionales: Tema-2.pdf

4 páginas

He publicado nuevos apuntes de 2º Distribución Multidimensionales: Tema-1.pdf

2 páginas

He publicado nuevos apuntes de 2º Distribución Multidimensionales: Tema-0.pdf

2 páginas

He publicado nuevos apuntes de 2º Distribución Multidimensionales: Apuntes-Tema-5-Distribuciones-Multidimensionales.pdf

2 páginas

He publicado nuevos ejercicios de 2º Distribución Multidimensionales: Ejercicios-resueltos-Tema-5-Distribuciones-Multidimensionales.pdf

4 páginas

He publicado nuevos ejercicios de 2º Distribución Multidimensionales: Ejercicios-tipo-Distribuciones-Multidimensionales.pdf

6 páginas

He publicado nuevos apuntes de 2º Distribución Multidimensionales: Apuntes-Tema-6-Distribuciones-Multidimensionales.pdf

4 páginas

He publicado nuevos apuntes de 2º Distribución Multidimensionales: Mas-apuntes-inicio-asignatura-Distribuciones-Multidimensionales.pdf

4 páginas

He publicado nuevos ejercicios de 2º Distribución Multidimensionales: Ejercicios-resueltos-Tema-1-Distribuciones-Multidimensionales.pdf

10 páginas

He publicado nuevos ejercicios de 2º Distribución Multidimensionales: Ejercicios-resueltos-Tema-2-Distribuciones-Multidimensionales.pdf

10 páginas

He publicado nuevos ejercicios de 2º Distribución Multidimensionales: Ejercicios-resueltos-Tema-4-Distribuciones-Multidimensionales.pdf

6 páginas
Anónimo

@Anónimo

He publicado nuevos apuntes de 2º Distribución Multidimensionales: Apuntes-Tema-1-Distribuciones-Multidimensionales.pdf

10 páginas
Anónimo

@Anónimo

Enunciado de todos los ejercicios de la asignatura

9 páginas
Anónimo

@Anónimo

Formulario para exámenes

2 páginas

He publicado nuevos ejercicios de 2º Distribución Multidimensionales: Entrega-Distribuciones-Multidimensionales.pdf

6 páginas
Anónimo

@Anónimo

He publicado nuevos ejercicios de 2º Distribución Multidimensionales: Ejercicios.pdf

22 páginas
Anónimo

@Anónimo

He publicado nuevos apuntes de 2º Distribución Multidimensionales: Temario.pdf

34 páginas
Anónimo

@Anónimo

ejercicios

-

Ejercicios

He publicado nuevos ejercicios de 2º Distribución Multidimensionales: Ejercicios

Ejercicios-T4.pdf
Ejercicios-T3.pdf
Anónimo

@Anónimo

trabajos

-

Entregas

He publicado nuevos trabajos de 2º Distribución Multidimensionales: Entregas

Entrega-2.pdf
Entrega-1.pdf
Anónimo

@Anónimo

He publicado nuevos apuntes de 2º Distribución Multidimensionales: Resumen.pdf

15 páginas

Temario completo con todos los ejercicios resueltos.

44 páginas

apuntes

-

4567uik

He publicado nuevos apuntes de 2º Distribución Multidimensionales: 4567uik

Apuntes-Estadistica.pdf
estad.pdf
estadistica.pdf
9.pdf
11398-EstadisticaApuntesPrevios.pdf
unidimensional-ejercicios.pdf

apuntes

-

567ujm

He publicado nuevos apuntes de 2º Distribución Multidimensionales: 567ujm

estadistica-descriptiva2.pdf
estadisticadescriptiva.pdf
teoria.pdf
Descriptiva.pdf
Tema15.pdf
Anónimo

@Anónimo

He publicado nuevos examenes de 2º Distribución Multidimensionales: Distribuciones-multidimensionales.pdf

6 páginas

apuntes

-

Entrega Distribuciones

He publicado nuevos apuntes de 2º Distribución Multidimensionales: Entrega Distribuciones

ENTREGA-DIA-4.pdf
EJERCICIO-2-ENTREGA.pdf
EJERCICIO-3-ENTREGA.pdf
Anónimo

@Anónimo

He publicado nuevos examenes de 2º Distribución Multidimensionales: Parcial-2021.pdf

3 páginas

ejercicios

-

Ejercicios resueltos

He publicado nuevos ejercicios de 2º Distribución Multidimensionales: Ejercicios resueltos

ejercicios-resueltos.pdf
enunciados-ejercicios.pdf

He publicado nuevos apuntes de 2º Distribución Multidimensionales: apuntes-teoria-distribuciones.pdf

27 páginas
¡Estás al día!

¡Estás al día!

Has visto todos los archivos