Todo
Apuntes
Exámenes
Prácticas
Trabajos
chevron_left
chevron_right

He publicado nuevos apuntes de 1º Documentación Audiovisual: temas-1-y-2-y-3-apuntes-docu.pdf

29 páginas

He publicado nuevos apuntes de 1º Documentación Audiovisual: tema-6-docu.pdf

14 páginas

He publicado nuevos apuntes de 1º Documentación Audiovisual: TEMA-5-docu.pdf

6 páginas

He publicado nuevos apuntes de 1º Documentación Audiovisual: TEMA-4-docu.pdf

5 páginas

He publicado nuevos apuntes de 1º Documentación Audiovisual: DOCUMENTACION-DEFINITIVO.pdf

40 páginas

He publicado nuevos apuntes de 1º Documentación Audiovisual: Documentacion-Audiovisual.pdf

28 páginas
Anónimo

@Anónimo

He publicado nuevos apuntes de 1º Documentación Audiovisual: Documentacion-Audiovisual.pdf

2 páginas

He publicado nuevos apuntes de 3º Documentación Audiovisual: Documentacion-audiovisual.pdf

110 páginas

He publicado nuevos apuntes de 1º Documentación Audiovisual: CLAVES-PARA-DOCUMENTACION.pdf

13 páginas

apuntes

-

PRÁCTICAS DOCUMENTACIÓN AUDIOVISUAL

He publicado nuevos apuntes de 1º Documentación Audiovisual: PRÁCTICAS DOCUMENTACIÓN AUDIOVISUAL

PRACTICA-9-Fototecas-Bancos-de-imagenes.pdf
PRACTICA-8-Twitter-blogs-y-otras-fuentes-oficiales.pdf
PRACTICA-7-Fonotecas.pdf
PRACTICA-6-Noticieros.pdf
PRACTICA-2-Tesis-Publicaciones-cientifica.pdf
PRACTICAS-3-Hemerotecas.pdf
Anónimo

@Anónimo

He publicado nuevos apuntes de 1º Documentación Audiovisual: Documentacion-audiovisual.pdf

41 páginas

practicas

-

Prácticas Documentación Audiovisual

1º Curso 2023/2024

P1-Busqueda-avanzada.pdf
P2-Publicaciones-cientificas.pdf
P3-Hemerotecas.pdf
P4-Moncloa.pdf
P5-Busqueda-material-audiovisual.pdf
P6-Noticieros.pdf

He publicado nuevos apuntes de 4º Documentación Audiovisual: Documentacion-apuntes.pdf

12 páginas

He publicado nuevos practicas de 1º Documentación Audiovisual: PRACTICA-7.pdf

3 páginas

He publicado nuevos practicas de 1º Documentación Audiovisual: PRACTICA-6.pdf

2 páginas

He publicado nuevos practicas de 1º Documentación Audiovisual: PRACTICA-5.pdf

3 páginas

He publicado nuevos practicas de 1º Documentación Audiovisual: PRACTICA-4.pdf

3 páginas

He publicado nuevos practicas de 1º Documentación Audiovisual: PRACTICA-1.pdf

3 páginas

He publicado nuevos practicas de 1º Documentación Audiovisual: PRACTICA-3.pdf

2 páginas

He publicado nuevos practicas de 1º Documentación Audiovisual: PRACTICA-2.pdf

2 páginas

He publicado nuevos apuntes de 1º Documentación Audiovisual: DOCUMENTACION-AV-temas-1-y-2.pdf

9 páginas

He publicado nuevos apuntes de 1º Documentación Audiovisual: t.3.pdf

19 páginas

He publicado nuevos apuntes de 1º Documentación Audiovisual: t.2.pdf

8 páginas

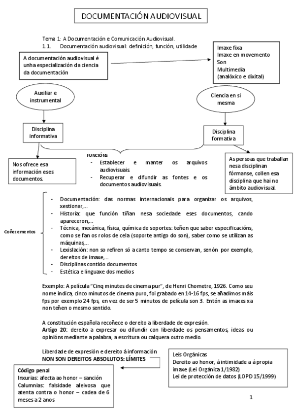
He publicado nuevos apuntes de 1º Documentación Audiovisual: t.1.pdf

6 páginas

He publicado nuevos apuntes de 1º Documentación Audiovisual: Apuntes.pdf

30 páginas

He publicado nuevos apuntes de 1º Documentación Audiovisual: Clase-11.pdf

32 páginas

He publicado nuevos apuntes de 1º Documentación Audiovisual: Clase-9.pdf

29 páginas

He publicado nuevos apuntes de 1º Documentación Audiovisual: Clase-10.pdf

27 páginas

He publicado nuevos apuntes de 1º Documentación Audiovisual: Clase-8.pdf

30 páginas

He publicado nuevos apuntes de 1º Documentación Audiovisual: Clase-6.pdf

54 páginas

He publicado nuevos apuntes de 1º Documentación Audiovisual: Clase-7.pdf

23 páginas

He publicado nuevos apuntes de 1º Documentación Audiovisual: Clase-5.pdf

35 páginas

He publicado nuevos apuntes de 1º Documentación Audiovisual: Clase-4.pdf

23 páginas

He publicado nuevos apuntes de 1º Documentación Audiovisual: Clase-2.pdf

26 páginas

He publicado nuevos apuntes de 1º Documentación Audiovisual: Clase-3.pdf

29 páginas

He publicado nuevos apuntes de 1º Documentación Audiovisual: Clase-1.pdf

14 páginas

apuntes

-

documentación apuntes

He publicado nuevos apuntes de 1º Documentación Audiovisual: documentación apuntes

5datosWWW230.pdf
1estructurainvestigacion.pdf
4datosWWW1.pdf
3datosINTERNET.pdf

apuntes

-

TEMARIO COMPLETO

He publicado nuevos apuntes de 1º Documentación Audiovisual: TEMARIO COMPLETO

Tema-9.-Archivos-audiovisuales-filmotecas-y-videotecas-1.pdf
Tema-8.-Necesidades-y-produccion-documental-de-los-equipos-de-cine-1.pdf
Tema-6.-La-documentacion-y-el-documento-audiovisual-1.pdf
Tema-5.2.-Archivos-fotograficos-y-audiovisuales-1.pdf
Tema-5.-La-documentacion-fotografica.-Concepto-analisis-archivos-y-fototecas-1.pdf
Tema-4.-Las-fuentes-de-informacion.pdf

practicas

-

Prácticas - Elena de la Cuadra 22/23

He publicado nuevos practicas de 1º Documentación Audiovisual: Prácticas - Elena de la Cuadra 22/23

P1-Busquedas-avanzadas.pdf
P2-Hemerotecas.pdf
P3-Publicaciones-cientificas.pdf
P4-Informacion-gubernamental.pdf
P5-Fuentes-audiovisuales.pdf
P6-Noticieros.pdf

apuntes

-

PRACTICAS DOCUMENTACION

He publicado nuevos apuntes de 1º Documentación Audiovisual: PRACTICAS DOCUMENTACION

PRACTICA-05-DOCUMENTACION.pdf
PRACTICA-03-DOCUMENTACION.pdf
PRACTICA-10.pdf
PRACTICA-9.pdf
PRACTICA-04-DOCUMENTACION.pdf
PRACTICA-07-DOCUMENTACION.pdf

He publicado nuevos apuntes de 1º Documentación Audiovisual: Documentacion-Audiovisual.pdf

59 páginas

practicas

-

Documentación audiovisual

He publicado nuevos practicas de 1º Documentación Audiovisual: Documentación audiovisual

P5Documentacion.pdf
P2Documentacion.pdf
P6Documentacion.pdf
P4Documentacion.pdf
P7Documentacion.pdf
P1Documentacion.pdf
Anónimo

@Anónimo

He publicado nuevos apuntes de 1º Documentación Audiovisual: Documentacion-audiovisual.pdf

12 páginas

He publicado nuevos examenes de 4º Documentación Audiovisual: PREGUNTAS-EXAMEN-DOCUMENTACION-FINAL.pdf

7 páginas

He publicado nuevos trabajos de 4º Documentación Audiovisual: TRABAJO-DOCUMENTACION.pdf

17 páginas

He publicado nuevos practicas de 1º Documentación Audiovisual: Practica-Minutado.pdf

6 páginas
Anónimo

@Anónimo

He publicado nuevos apuntes de 1º Documentación Audiovisual: Documentacion-audiovisual.pdf

30 páginas

apuntes

-

Apuntes Examen

He publicado nuevos apuntes de 4º Documentación Audiovisual: Apuntes Examen

Tema-2.pdf
Tema-1.pdf
Tema-7.pdf
Tema-5.pdf
Tema-6.pdf
Tema-3.pdf

apuntes

-

Apuntes examen

He publicado nuevos apuntes de 4º Documentación Audiovisual: Apuntes examen

Tema-1.pdf
Tema-2.pdf
Tema-3.pdf
Tema-4.pdf
Tema-7.pdf
Tema-5.pdf

10/10

4 páginas

10/10

3 páginas
Anónimo

@Anónimo

He publicado nuevos apuntes de 4º Documentación Audiovisual: Apuntes-completos-Documentacion.pdf

51 páginas

9/10 (no poner la web de Michael Jackson xd)

4 páginas

9/10

6 páginas

He publicado nuevos apuntes de 1º Documentación Audiovisual: Documentacion-Audiovisual.pdf

50 páginas
Anónimo

@Anónimo

He publicado nuevos apuntes de 1º Documentación Audiovisual: Elizabeth-La-Edad-de-Oro.pdf

21 páginas

He publicado nuevos apuntes de 4º Documentación Audiovisual: Temario-Completo-Documentacion-audiovisual.pdf

66 páginas

He publicado nuevos apuntes de 1º Documentación Audiovisual: Documentacion-audiovisual.pdf

41 páginas

apuntes

-

TEMARIO COMPLETO 2019

He publicado nuevos apuntes de 4º Documentación Audiovisual: TEMARIO COMPLETO 2019

Analisis-documental-de-contenido-audiovisual-Tema-9.ppt
2019-Tema-4.pptx
2019-Tema-7-IA.pptx
2019-Tema-5.pptx
2019-Investigacion-en-fuentes.pptx
La-investigacion-documental-y-las-fuentes-en-la-produccion-de-audiovisuales.pptx

He publicado nuevos apuntes de 1º Documentación Audiovisual: DOCUMENTACION AUDIOVISUAL.pdf

30 páginas