Econometria I
He publicado nuevos practicas de 3º Econometria I: Resum-2a-practica-gretl.pdf
He publicado nuevos examenes de 3º Econometria I: Tots-examens-econometria.pdf
He publicado nuevos practicas de 3º Econometria I: Resum-1a-practica-gretl.pdf
Curso online de Econometría I Economía UAM - ESTADISTIX
Curso online de Econometría I UAB - ESTADISTIX
Curso online de Econometría I UAB - ESTADISTIX
He publicado nuevos examenes de 3º Econometria I: examen-2026-econometria-I.pdf
apuntes
-
ECO 1
He publicado nuevos apuntes de 3º Econometria I: ECO 1
He publicado nuevos apuntes de 2º Econometria I: 0a-Microeconomia-Pindyck-Rubinfeld-2009.pdf
He publicado nuevos apuntes de 2º Econometria I: 0b-Macroeconomia-Blanchard-Amighini-Giavazzi-2012.pdf
He publicado nuevos apuntes de 2º Econometria I: 1-Econometria-Gujarati-y-Porter-2010.pdf
He publicado nuevos apuntes de 2º Econometria I: 3-Introduccion-a-la-Econometria-Stock-y-Watson-2012.pdf
He publicado nuevos apuntes de 2º Econometria I: 2-Introduccion-a-la-econometria-Wooldridge-2010.pdf
He publicado nuevos apuntes de 2º Econometria I: Ejercicios-clase-econometria-I.docx
He publicado nuevos apuntes de 2º Econometria I: T.2-ECONOMETRIA-I-modelo-CAPM.docx
He publicado nuevos apuntes de 2º Econometria I: TAREA-2-T.2-ECONOMETRIA-I.pdf
Hola a todos 😊 Doy clases particulares de matemáticas, tanto online como presencial. Si necesitáis ayuda con la asignatura, ejercicios o preparación de exámenes, podéis escribirme sin problema al 682 592 493. ¡Gracias!

apuntes
-
Apuntes
He publicado nuevos apuntes de 3º Econometria I: Apuntes
He publicado nuevos apuntes de 3º Econometria I: Algunas-definiciones-importantes.pdf
apuntes
-
RSTUDIO E INTERPRETACIÓN
Soluciones de salidas de RStudio con las interpretaciones que pedía el profesor (tema 4 en adelante, el resto de interpretaciones están en los apuntes)
apuntes
-
APUNTES COMPLETOS
Apuntes completos con ejemplos y anotaciones de clase
He publicado nuevos ejercicios de 3º Econometria I: Todos-ejercicios-resueltos.pdf
ejercicios
-
Todos ejercicios resueltos
He publicado nuevos ejercicios de 3º Econometria I: Todos ejercicios resueltos
apuntes
-
Apuntes completos
He publicado nuevos apuntes de 3º Econometria I: Apuntes completos
examenes
-
Finales Econometría
He publicado nuevos examenes de 3º Econometria I: Finales Econometría
examenes
-
Finales Econometría
He publicado nuevos examenes de 3º Econometria I: Finales Econometría
He publicado nuevos apuntes de 3º Econometria I: Algunas-demostraciones-importantes.pdf
ejercicios
-
Econometría I Ejercicios Temas 1,2,3,4 y 5
He publicado nuevos ejercicios de 3º Econometria I: Econometría I Ejercicios Temas 1,2,3,4 y 5
He publicado nuevos apuntes de 3º Econometria I: Exercises-without-R.pdf
He publicado nuevos ejercicios de 3º Econometria I: Exercises-with-R.pdf
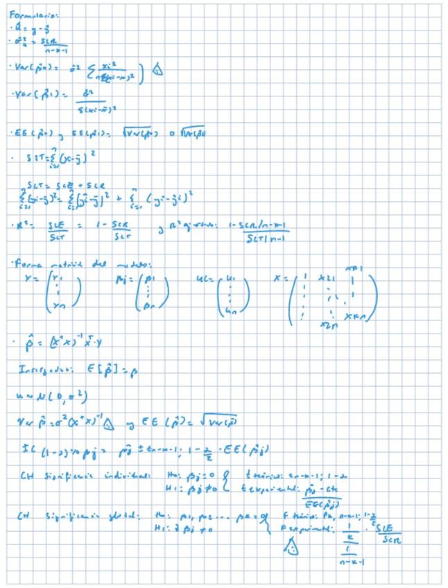
Apuntes que recopilan las fórmulas e interpretaciones de los ejercicios del tema 2 al 4
Examen modelo CORREGIDO sin R-Studio tipo test de Econometría 1. 2025 Para repasar teoria
Examen modelo CORREGIDO Con R-Studio tipo test de Econometría 1. 2025