chevron_left
chevron_right
Todo
Apuntes
chevron_left
chevron_right
Anónimo

@Anónimo

He publicado nuevos apuntes de 2º Econometria I: Tema-4.pdf

56 páginas
Anónimo

@Anónimo

He publicado nuevos apuntes de 2º Econometria I: Tema-2.pdf

62 páginas
Anónimo

@Anónimo

He publicado nuevos apuntes de 2º Econometria I: Tema-1.pdf

5 páginas
Anónimo

@Anónimo

He publicado nuevos apuntes de 2º Econometria I: Tema-3.pdf

49 páginas
Anónimo

@Anónimo

He publicado nuevos apuntes de 2º Econometria I: Tema-5.pdf

28 páginas
Anónimo

@Anónimo

He publicado nuevos apuntes de 2º Econometria I: Tema-6.pdf

68 páginas

He publicado nuevos apuntes de 2º Econometria I: Demostraciones.pdf

8 páginas

He publicado nuevos apuntes de 2º Econometria I: Esquemas-generales-contrastes-heterocedasticidad-y-autocorrelacion.pdf

6 páginas

He publicado nuevos apuntes de 2º Econometria I: Tema-3.pdf

3 páginas

He publicado nuevos apuntes de 2º Econometria I: Tema-2-2a-parte.pdf

4 páginas

He publicado nuevos apuntes de 2º Econometria I: Tema-1.pdf

1 página

He publicado nuevos apuntes de 2º Econometria I: Tema-2-1a-parte.pdf

3 páginas
Anónimo

@Anónimo

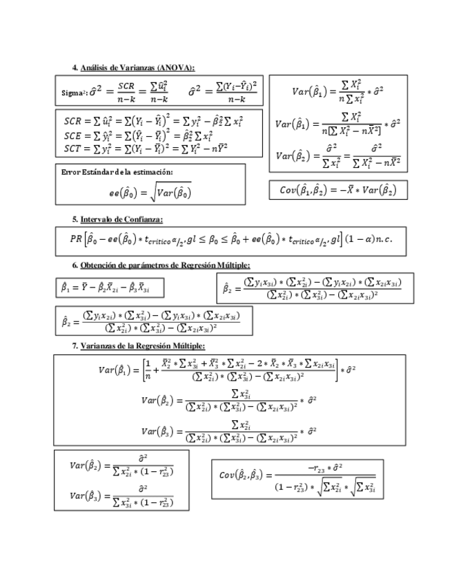
Formulario bastante útil

7 páginas
¡Estás al día!

¡Estás al día!

Has visto todos los archivos