chevron_left
chevron_right
Todo
Apuntes
Ejercicios
chevron_left
chevron_right
Anónimo

@Anónimo

ejercicios

-

ejercicios econometría I

He publicado nuevos ejercicios de 2º Econometría: ejercicios econometría I

Tema-5Ej-13-y-14.pdf
Ejercicios-3-4-7-8-9-12-t6.pdf
Ejercicios-11-12-t2.pdf
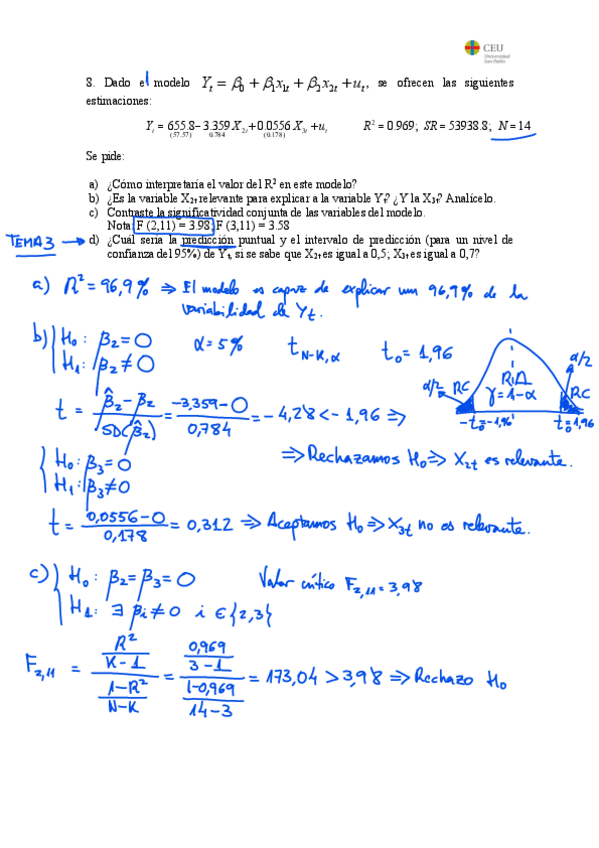
Ejercicios-6-Y-7-PREDDICIONESt3.pdf
Ejercicios-8-9-10-t3.pdf
Ejercicios-4-5-6-7y-test-t2.pdf
Anónimo

@Anónimo

apuntes

-

ejercicios y apuntes econometría I

He publicado nuevos apuntes de 2º Econometría: ejercicios y apuntes econometría I

TEMA-4Ficticias.pdf
T1-El-modelo-lineal-general-MLG.pdf
¡Estás al día!

¡Estás al día!

Has visto todos los archivos