chevron_left
chevron_right
Todo
Apuntes
chevron_left
chevron_right

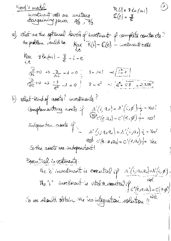
Solución ejercicio de HART, tema 3

5 páginas

He publicado nuevos apuntes de 4º Economía, Organización y Gestión: RESUMEN-TEMA-345--PARTE-TEORICA-FINAL.pdf

18 páginas

He publicado nuevos apuntes de 4º Economía, Organización y Gestión: TEMA-2-La-problematica-de-la-integracion-vertical-1.pdf

34 páginas

He publicado nuevos apuntes de 4º Economía, Organización y Gestión: TEMA-3-Formas-intermedias-2.pdf

30 páginas

He publicado nuevos apuntes de 4º Economía, Organización y Gestión: TEMA-4-La-empresa-cooperativa-2.pdf

25 páginas

He publicado nuevos apuntes de 4º Economía, Organización y Gestión: TEMA-5-Derechos-residuales-asignados-al-capital-2.pdf

26 páginas

He publicado nuevos apuntes de 4º Economía, Organización y Gestión: TEMA-1-Los-limites-de-una-organizacion.pdf

27 páginas
¡Estás al día!

¡Estás al día!

Has visto todos los archivos