Ecuaciones de la Física Matemática

chevron_left
chevron_right
Todo
Apuntes
Ejercicios
Exámenes
Trabajos
chevron_left
chevron_right

He publicado nuevos examenes de 4º Ecuaciones de la Física Matemática: Examenes-ecuaciones-de-la-fisica.pdf

8 páginas

ejercicios

-

Ejercicios ecuaciones de la física matemática

El bloque 1 son los temas 1 y 2. Los bloques 2 y 3 son los temas 3 y 4 respectivamente. Los ejercicios de teoría son ejercicios planteados por los alumnos en clase que puede que el profesor ponga algo parecido en el examen.

Ejercicios-bloque-1.pdf
Ejercicios-bloque-2.pdf
Ejercicios-bloque-3.pdf
Ejercicios-teoria-efm.pdf

He publicado nuevos apuntes de 4º Ecuaciones de la Física Matemática: Resumen-ecuaciones-de-la-fisica.pdf

7 páginas

He publicado nuevos examenes de 4º Ecuaciones de la Física Matemática: Parcial-1-Resuelto.pdf

16 páginas

apuntes

-

Apuntes de clase

He publicado nuevos apuntes de 4º Ecuaciones de la Física Matemática: Apuntes de clase

Tema-1-Aspectos-Generales-Sobre-Edps.pdf
Tema-2-Ecuaciones-Clasicas-De-La-Fisica-Matematica.pdf
T3.pdf
Tema-4TransformadadeFourier.pdf
Demostraciones.pdf
Anónimo

@Anónimo

ejercicios

-

RELACIONES+APUNTES

He publicado nuevos ejercicios de 4º Ecuaciones de la Física Matemática: RELACIONES+APUNTES

EF-T2.pdf
EF-R1.pdf
EF-T4.pdf
EF-T1.pdf
EF-REL2.pdf
EF-T3.pdf

ejercicios

-

Relaciones

He publicado nuevos ejercicios de 4º Ecuaciones de la Física Matemática: Relaciones

Relacion-1-Aspectos-Generales-EDPs.pdf
Relacion-2-parte-1.pdf
Relacion-2-parte-2.pdf
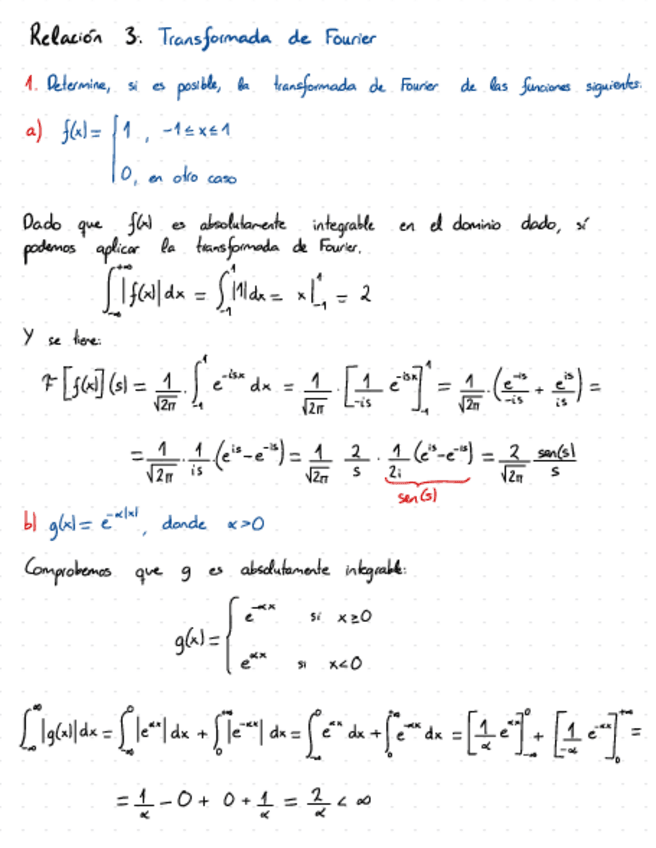
Relacion-3.pdf

apuntes

-

Resumenes

He publicado nuevos apuntes de 4º Ecuaciones de la Física Matemática: Resumenes

Resumen-Tema-1.pdf
Resumen-Tema-2.pdf
Resumen-Tema-3.pdf
Resumen-Bloque-2.pdf

He publicado nuevos apuntes de 4º Ecuaciones de la Física Matemática: Tema4.pdf

22 páginas

He publicado nuevos apuntes de 4º Ecuaciones de la Física Matemática: Tema3.pdf

22 páginas

He publicado nuevos apuntes de 4º Ecuaciones de la Física Matemática: Tema2.pdf

8 páginas

He publicado nuevos apuntes de 4º Ecuaciones de la Física Matemática: Tema1.pdf

12 páginas

He publicado nuevos ejercicios de 4º Ecuaciones de la Física Matemática: EjerciciosBloque2.pdf

24 páginas

He publicado nuevos ejercicios de 4º Ecuaciones de la Física Matemática: EjerciciosBloque1.pdf

12 páginas

He publicado nuevos ejercicios de 4º Ecuaciones de la Física Matemática: EjTFourier.pdf

24 páginas

He publicado nuevos ejercicios de 4º Ecuaciones de la Física Matemática: Relacion3.pdf

26 páginas

He publicado nuevos apuntes de 4º Ecuaciones de la Física Matemática: Apuntes.pdf

5 páginas

He publicado nuevos trabajos de 4º Ecuaciones de la Física Matemática: Trabajo-EDPS-en-optica-Geometrica.pdf

5 páginas

He publicado nuevos ejercicios de 4º Ecuaciones de la Física Matemática: Relacion-1240930133806.pdf

13 páginas

He publicado nuevos apuntes de 4º Ecuaciones de la Física Matemática: Apuntes-Tema-2231024090611.pdf

6 páginas

He publicado nuevos ejercicios de 4º Ecuaciones de la Física Matemática: Ejercicios-Segundo-parcial.pdf

19 páginas

He publicado nuevos examenes de 4º Ecuaciones de la Física Matemática: examenmatlab.m

He publicado nuevos examenes de 4º Ecuaciones de la Física Matemática: Examen-matlab-ecfm-SMD.pdf

8 páginas
Anónimo

@Anónimo

He publicado nuevos apuntes de 4º Ecuaciones de la Física Matemática: Temario-Bloque-1-ef.pdf

12 páginas
Anónimo

@Anónimo

He publicado nuevos apuntes de 4º Ecuaciones de la Física Matemática: Temario-Bloque-2-ef.pdf

10 páginas

He publicado nuevos apuntes de 4º Ecuaciones de la Física Matemática: Tema-4.-Transformada-de-Fourier.pdf

2 páginas

He publicado nuevos ejercicios de 4º Ecuaciones de la Física Matemática: relacion-3-resuelta.pdf

13 páginas

He publicado nuevos apuntes de 4º Ecuaciones de la Física Matemática: Tema-3.-Separacion-de-variables.pdf

6 páginas

He publicado nuevos apuntes de 4º Ecuaciones de la Física Matemática: Esquema-TEMA-3.pdf

6 páginas

He publicado nuevos ejercicios de 4º Ecuaciones de la Física Matemática: relacion-2-resuelta.pdf

9 páginas

apuntes

-

Temario EFM

He publicado nuevos apuntes de 4º Ecuaciones de la Física Matemática: Temario EFM

Tema-1220921131713.pdf
Tema-2221005121933.pdf
Tema-4221201121004.pdf
Tema-3221017131748.pdf
Esquemas-y-Ejercicios-EFM.pdf
Anónimo

@Anónimo

ejercicios

-

Ejercicios Prep 2o PARCIAL

Para notas de clase y preparación del examen

ProbMixEcOndas.pdf
EjerciciosTransfFourier.pdf
Anónimo

@Anónimo

apuntes

-

RESUMENES 2oPARCIAL

He publicado nuevos apuntes de 4º Ecuaciones de la Física Matemática: RESUMENES 2oPARCIAL

2ParcialTeoria.pdf
Anónimo

@Anónimo

apuntes

-

RESUMENES 1erPARCIAL

He publicado nuevos apuntes de 4º Ecuaciones de la Física Matemática: RESUMENES 1erPARCIAL

TeoriaExtraDEMOS1erParcialEF.pdf
ResumenT3EF.pdf
ResumenT2EF.pdf
ResumenT1EF.pdf

Lo que copiaba el profesor

30 páginas

He publicado nuevos apuntes de 4º Ecuaciones de la Física Matemática: repaso-examen-tema-3-y-4.pdf

57 páginas

He publicado nuevos apuntes de 4º Ecuaciones de la Física Matemática: ejercicios-tema-1-y-2.pdf

25 páginas

He publicado nuevos apuntes de 4º Ecuaciones de la Física Matemática: tema-1-y-2.pdf

42 páginas

He publicado nuevos apuntes de 4º Ecuaciones de la Física Matemática: matlab-pdetool.pdf

2 páginas
¡Estás al día!

¡Estás al día!

Has visto todos los archivos