Ecuaciones Diferenciales

chevron_left
chevron_right
Todo
Apuntes
Ejercicios
Exámenes
Otros
PEC
Prácticas
publication
Test
Trabajos
chevron_left
chevron_right

He publicado nuevos apuntes de 1º Ecuaciones Diferenciales: Ecuaciones-Difrenciales.pdf

1 página

Introducción a las ecuaciones diferenciales, notaciones (Primada de Newton o la Diferencial de Lewis), con ejemplos para identificas E.D de orden superior y ejemplos de comprobación básica de ecuaciones diferenciales.

2 páginas

Notación de ecuaciones diferenciales con ejercicios de comprobación de ecuaciones diferenciales.

2 páginas

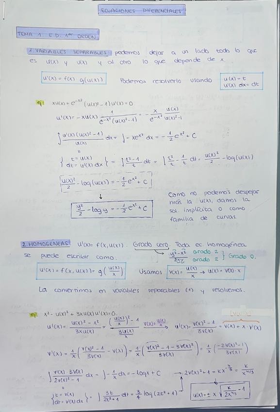
Introducción a ecuaciones diferenciales de primer orden, empezando con su definición y pasando directamente a la solución del caso mas simple de este tipo de ecuaciones, con ejemplos del mismo tema.

2 páginas

Apunte con explicación del tipo de ecuaciones diferenciales, en las cuales se tiene que si o si hacer un cambio de variable, para encontrar su solución ejemplificando con varios ejemplos y distintos cambios de variable.

2 páginas

Apunto con 2 de 3 casos posibles de encontrar las ecuaciones diferenciales lineales de primer orden, y del como atacarlas para encontrar su solución, ejemplificando con varios ejemplos para cada caso mostrado.

3 páginas

Apunte con el método a seguir ante ecuaciones diferenciales de tipo Bernoulli con ejemplificación y ejercicios para el lector

2 páginas

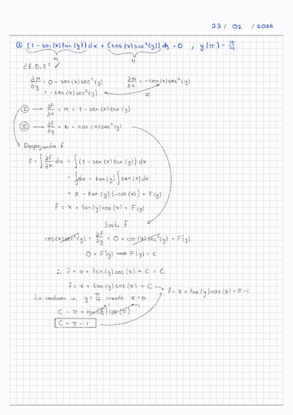
Apunte con los métodos a seguir en casos de ecuaciones diferenciales exactas y no exactas, demostrando cuando tenemos un caso de E.D exacta o un E.D no exacta y que hacer para cada caso ejemplificando con ejercicios completos sobre el proceso a seguir seg

4 páginas

He publicado nuevos ejercicios de 2º Ecuaciones Diferenciales: RelaciónFourier.pdf.pdf

18 páginas

ejercicios

-

hojas ejercicios 2025/2026

He publicado nuevos ejercicios de 2º Ecuaciones Diferenciales: hojas ejercicios 2025/2026

hoja-1-edo.pdf
hoja-2-edo.pdf
hoja-3-edo.pdf

Tarea 1 EDOS resuelta

7 páginas

apuntes tema 1 ecuaciones diferenciales

7 páginas

apuntes

-

Apuntes bloque 2

He publicado nuevos apuntes de 2º Ecuaciones Diferenciales: Apuntes bloque 2

bloque-2-tema-3.pdf

apuntes

-

Apuntes bloque 1 tema 2

He publicado nuevos apuntes de 2º Ecuaciones Diferenciales: Apuntes bloque 1 tema 2

apuntes-bloque-1-tema-2.pdf

apuntes

-

Apuntes Bloque 1 tema 1

He publicado nuevos apuntes de 2º Ecuaciones Diferenciales: Apuntes Bloque 1 tema 1

apuntes-bloque-1-tema-1.pdf

examenes

-

pruebas disntintos años resueltas a mano

He publicado nuevos examenes de 2º Ecuaciones Diferenciales: pruebas disntintos años resueltas a mano

prueba-1-2021-2022.jpeg
prueba-1-2022-2023.jpeg
prueba-2-2021-2022.pdf
prueba-2-2022-2023.pdf
prueba-3-2021-2022.jpeg
prueba-3-2023-2024-EJ-2.jpeg

practicas

-

practicas bloque 1 resueltas a mano

He publicado nuevos practicas de 2º Ecuaciones Diferenciales: practicas bloque 1 resueltas a mano

practica-1.1.pdf
practica-1.2-ejercicios-propuestos-en-clase.pdf
practica-1.2.pdf
practica-1.3.pdf
practica-1.4.pdf
practica-1.5.pdf

apuntes

-

apuntes curso 2025/2026

He publicado nuevos apuntes de 2º Ecuaciones Diferenciales: apuntes curso 2025/2026

tema-1-edo.pdf
tema-2-edo.pdf
tema-3-edo.pdf

He publicado nuevos apuntes de 1º Ecuaciones Diferenciales: Teoria-tema-5.-Transformada-de-Laplace.pdf

10 páginas

apuntes

-

EDO's apuntes de Pape

Apuntes y ejercicios de Pape de los siete temas de EDO's, muy desarrollados y con los procedimientos que hay que seguir.

EDOs-T3-Pape.pdf
EDOs-T7-Pape.pdf
EDOs-T5-Pape.pdf
EDOs-T1-Pape.pdf
EDOs-T2-Pape.pdf
EDOs-T6-Pape.pdf

apuntes

-

EDOs

He publicado nuevos apuntes de 1º Ecuaciones Diferenciales: EDOs

Tema-1-EDOs.pdf

He publicado nuevos apuntes de 2º Ecuaciones Diferenciales: HOJA-COLOR-EDO-final.pdf

2 páginas

He publicado nuevos apuntes de 2º Ecuaciones Diferenciales: HOJA-COLOR-EDO-Control-1.pdf

1 página

He publicado nuevos apuntes de 2º Ecuaciones Diferenciales: HOJA-COLOR-EDO-hasta-tema-5.pdf

2 páginas

He publicado nuevos apuntes de 2º Ecuaciones Diferenciales: HOJA-COLOR-EDO-Inter.pdf

2 páginas

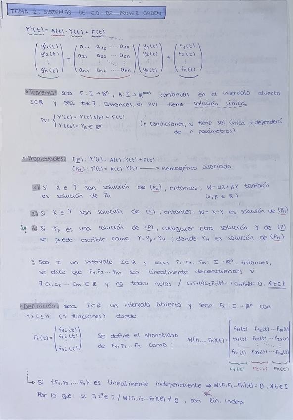
TEMA 4 SISTEMAS DE ECUACIONES DIFERENCIALES

7 páginas

TEMA 3 ECUACIONES DIFERENCIALES ORDINARIAS ORDEN SUPERIOR

5 páginas

examenes

-

Exámenes resueltos EDIF

Están todos los exámenes resueltos, tanto parciales como finales de ordinaria y extraordinaria

Examen-extraordinaria-13-de-junio-2024.pdf
Examenes-resueltos-Parte-2.pdf
Examenes-resueltos-Parte-3.pdf
Examen-final-12-de-enero-2024.pdf
Modelo-examen-final-T2.-2023-2024.pdf
Examen-extraordinaria-12-junio-2025.pdf

He publicado nuevos apuntes de 1º Ecuaciones Diferenciales: CONCEPTOS-CLAVE-TEMAS-1-A-4.pdf

4 páginas

ESQUEMA RESUMEN TEMA 2 ECUACIONES DE PRIMER ORDEN

6 páginas

ESQUEMA RESUMEN TEMA 1 ECUACIONES DIFERENCIALES INTRODUCCION

3 páginas

He publicado nuevos apuntes de 3º Ecuaciones Diferenciales: final009.Resumen-Sistemas-de-EDO.pdf

6 páginas

He publicado nuevos apuntes de 3º Ecuaciones Diferenciales: final007.Ejercicios-EDO-MASA-RESORTE.pdf

15 páginas

He publicado nuevos apuntes de 3º Ecuaciones Diferenciales: final006.EDO-2do-orden-y-MASA-RESORTE-ejercicios-resueltos.pdf

11 páginas

He publicado nuevos apuntes de 2º Ecuaciones Diferenciales: final005.EDO-2do-orden-ejercicios-2.pdf

6 páginas

He publicado nuevos apuntes de 2º Ecuaciones Diferenciales: final003.Series-de-Fourier-version-2.pdf

6 páginas

He publicado nuevos apuntes de 3º Ecuaciones Diferenciales: final002.Aplicaciones-geometricas-de-las-EDO-de-1er-orden-familia-de-curvas.pdf

11 páginas

He publicado nuevos apuntes de 3º Ecuaciones Diferenciales: final001.Aplicaciones-de-las-EDO-2do-orden-MASA-RESORTE-AMORTIGUADOR.pdf

8 páginas

He publicado nuevos practicas de 1º Ecuaciones Diferenciales: CHULETA-EXAMEN-MAXIMA.pdf

8 páginas

He publicado nuevos apuntes de 1º Ecuaciones Diferenciales: TEMA-4.pdf

2 páginas

He publicado nuevos apuntes de 1º Ecuaciones Diferenciales: PASOS-CLAVE-RESOLUCION-TEMAS-1-3.pdf.pdf

3 páginas

He publicado nuevos apuntes de 1º Ecuaciones Diferenciales: RESUMEN-TEMAS-1-3.pdf

4 páginas

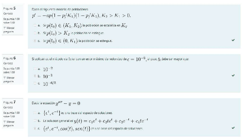
He publicado nuevos examenes de 2º Ecuaciones Diferenciales: examenes11a24.pdf

139 páginas

He publicado nuevos examenes de 2º Ecuaciones Diferenciales: examenes11a24solu.pdf

103 páginas

He publicado nuevos examenes de 2º Ecuaciones Diferenciales: Examen-Enero-202526.pdf

2 páginas

He publicado nuevos apuntes de 2º Ecuaciones Diferenciales: Apuntes-Tema1.pdf

27 páginas

Ecuaciones diferenciales de primer orden, apuntes y ejercicios

22 páginas

Introducción a las ecuaciones diferenciales

8 páginas

ejercicios

-

hojas con soluciones 2025/2026

He publicado nuevos ejercicios de 2º Ecuaciones Diferenciales: hojas con soluciones 2025/2026

hoja1-edo.pdf

Resolución del primer examen de Ecuaciones Diferenciales.

5 páginas

apuntes

-

Prácticas

He publicado nuevos apuntes de 2º Ecuaciones Diferenciales: Prácticas

P1modeloCV2.pdf
S1240bar.pdf
P2ejercicio.pdf
S224sol.pdf
P324252s.pdf
S324252sol.pdf

apuntes

-

Tema 5

He publicado nuevos apuntes de 2º Ecuaciones Diferenciales: Tema 5

Transformada-de-Laplace-y-aplicaciones.pdf
escalones-e-impulsos202425.pdf
Bol3TransformadaLaplaceyaplicaciones.pdf
Tanque--controlado-mediante-valvulas-1.pdf
Ejemplossistemasacoplados-2.pdf

apuntes

-

Tema 4

He publicado nuevos apuntes de 2º Ecuaciones Diferenciales: Tema 4

EDOSlinealesorden2ysuperior.pdf
Edoslinealesdeordenn.pdf
EDOSordenSuperiorEsquemaTema.pdf
2CBol22425.pdf
2CBol22425soluciones.pdf
1sistemamasaresortevideos-2.pdf

apuntes

-

Tema 3

He publicado nuevos apuntes de 2º Ecuaciones Diferenciales: Tema 3

T32425numerico.pdf

apuntes

-

Tema 2

He publicado nuevos apuntes de 2º Ecuaciones Diferenciales: Tema 2

2CT22425.pdf
Boletin1.pdf
Boletin1soluciones.pdf
Vaciadodetanques24252C.pdf

apuntes

-

Tema 1

He publicado nuevos apuntes de 2º Ecuaciones Diferenciales: Tema 1

2CT1EcDiferenciales2425.pdf

apuntes

-

Apuntes EDOS

He publicado nuevos apuntes de 2º Ecuaciones Diferenciales: Apuntes EDOS

Tema-5.pdf
Tema-4.pdf
Tema-3.pdf
Tema-2.pdf
Tema-1.pdf

He publicado nuevos apuntes de 2º Ecuaciones Diferenciales: formulario-ecus.pdf

9 páginas

He publicado nuevos examenes de 3º Ecuaciones Diferenciales: examen-enero-ec.dif..pdf

1 página

He publicado nuevos apuntes de 2º Ecuaciones Diferenciales: Formulario.pdf

17 páginas