Ecuaciones Diferenciales I

chevron_left
chevron_right
Todo
Apuntes
Ejercicios
Exámenes
Test
chevron_left
chevron_right

He publicado nuevos examenes de 2º Ecuaciones Diferenciales I: octubre.pdf

1 página
Anónimo

@Anónimo

He publicado nuevos examenes de 2º Ecuaciones Diferenciales I: EXAMENJUNIO2025.pdf

1 página

faltan algunos porque a los del doble nos odian y nos ponen exámenes cuando hay clases de ejercicios :( en el campus hay algunos de los que faltan!

17 páginas

el tema más feo pero también el último ❤️‍?

12 páginas

Pues eso, el test con las respuestas (gracias felipe por tus apuntes rey)

2 páginas

ya no se ni que poner de descripción…

10 páginas

Apuntes completos de clase! Que ganas de estar en la playa…

13 páginas

Resumen con todos los tipos de ecuaciones y como resolverlas paso a paso! incluyen las que se han visto en ejercicios

7 páginas

Todos los ejercicios del tema 3!! EDIT: me acabo de dar cuenta de que el final del ej 1 no está bien!!! (lo de definir los intervalos y eso, no es muy importante)

12 páginas

unos apuntes muy monos para un tema muy aburrido. Tienen toda la teoría y ejemplos!

9 páginas

Todos los ejercicios de la relación resueltos paso a paso con todas las explicaciones! Corregidos en clase

18 páginas

Incluyen tooooda la teoría bien explicada, con muchos ejemplos. También le he metido al final el contenido “teórico” que se da en los ejercicios para poder tenerlo todo junto!

16 páginas

todos los ejercicios corregidos de la relación dada en clase. Algunos son hechos por mi (y revisados) y otros son realizados por el profesor en clase

21 páginas

literalmente copiados de la pizarra pero me han quedado monísimos! Tienen toda la teoría, con demostraciones, ejemplos y explicaciones

16 páginas

He publicado nuevos examenes de 2º Ecuaciones Diferenciales I: EXAMENEDOENERO2025.pdf

1 página

He publicado nuevos examenes de 2º Ecuaciones Diferenciales I: ExamenEDOOCT2024.pdf

1 página

He publicado nuevos apuntes de 2º Ecuaciones Diferenciales I: Esquema-temario-completo.pdf

8 páginas

He publicado nuevos examenes de 2º Ecuaciones Diferenciales I: Examen-Enero-2023.pdf

10 páginas

He publicado nuevos examenes de 2º Ecuaciones Diferenciales I: Examen-Julio-2022.pdf

9 páginas

He publicado nuevos examenes de 2º Ecuaciones Diferenciales I: Examen-Febrero-2022.pdf

11 páginas

He publicado nuevos examenes de 2º Ecuaciones Diferenciales I: Examen-Junio-2023.pdf

7 páginas
Anónimo

@Anónimo

He publicado nuevos examenes de 2º Ecuaciones Diferenciales I: Julio-2022-edo-i.pdf

5 páginas
Anónimo

@Anónimo

He publicado nuevos examenes de 2º Ecuaciones Diferenciales I: Febrero-2021-edo-i.pdf

6 páginas
Anónimo

@Anónimo

He publicado nuevos examenes de 2º Ecuaciones Diferenciales I: Enero-2024-edo-i.pdf

9 páginas

He publicado nuevos examenes de 2º Ecuaciones Diferenciales I: Ejercicios-Examenes-EDOI.pdf

12 páginas

He publicado nuevos ejercicios de 2º Ecuaciones Diferenciales I: Relacion-8-EDO.pdf

16 páginas

He publicado nuevos ejercicios de 2º Ecuaciones Diferenciales I: Relacion-7-EDO.pdf

9 páginas

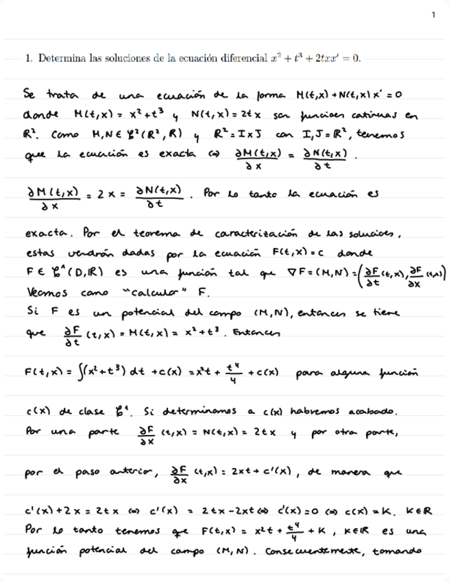
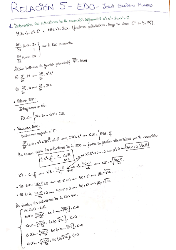
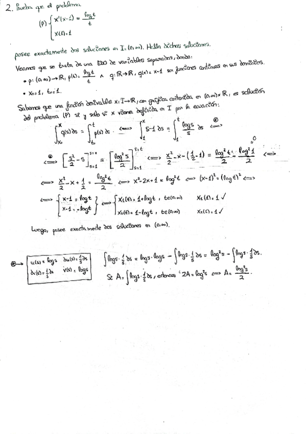
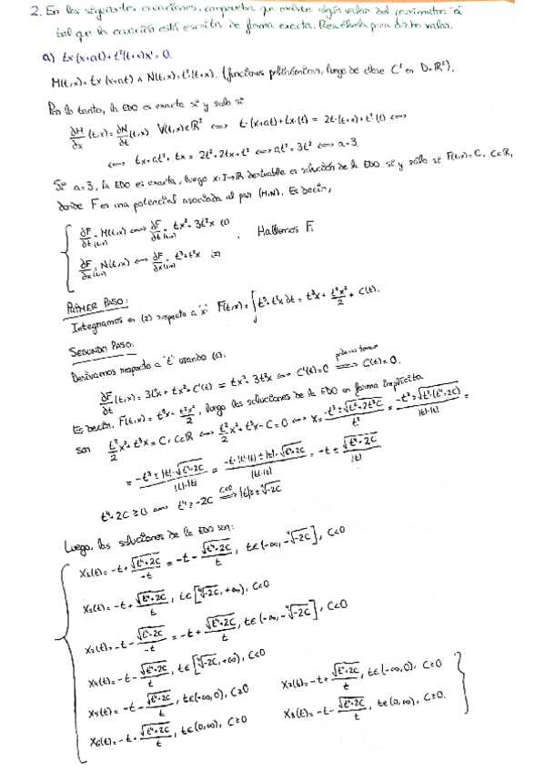
He publicado nuevos ejercicios de 2º Ecuaciones Diferenciales I: Relacion-5-EDO.pdf

64 páginas

He publicado nuevos ejercicios de 2º Ecuaciones Diferenciales I: Relacion-6-EDO.pdf

56 páginas

He publicado nuevos ejercicios de 2º Ecuaciones Diferenciales I: Relacion-4-EDO.pdf

13 páginas

He publicado nuevos ejercicios de 2º Ecuaciones Diferenciales I: Relacion-3-EDO.pdf

64 páginas

He publicado nuevos ejercicios de 2º Ecuaciones Diferenciales I: Relacion-1-EDO.pdf

32 páginas

He publicado nuevos ejercicios de 2º Ecuaciones Diferenciales I: Relacion-2-EDO.pdf

120 páginas

He publicado nuevos apuntes de 2º Ecuaciones Diferenciales I: 8.-EDOs-Lineales-de-Segundo-Orden.pdf

11 páginas

He publicado nuevos apuntes de 2º Ecuaciones Diferenciales I: 5.-EDOs-Exactas-y-Factores-Integrantes.pdf

8 páginas

He publicado nuevos apuntes de 2º Ecuaciones Diferenciales I: 4.-Resolucion-EDOs-por-Cambios-Variables.pdf

6 páginas

He publicado nuevos apuntes de 2º Ecuaciones Diferenciales I: 2.-EDOs-Lineales-de-Primer-Orden.pdf

8 páginas

He publicado nuevos apuntes de 2º Ecuaciones Diferenciales I: 3.-EDOs-de-Variables-Separables.pdf

9 páginas

He publicado nuevos apuntes de 2º Ecuaciones Diferenciales I: Todo-Ecuaciones-Diferenciales-I.pdf

6 páginas

He publicado nuevos apuntes de 2º Ecuaciones Diferenciales I: Todo-Edo-I.pdf

11 páginas

He publicado nuevos apuntes de 2º Ecuaciones Diferenciales I: Repaso-teoria-EDO-I.pdf

8 páginas

He publicado nuevos ejercicios de 2º Ecuaciones Diferenciales I: Relacion-ejercicios-8-EDO-I.pdf

14 páginas

He publicado nuevos ejercicios de 2º Ecuaciones Diferenciales I: Relacion-ejercicios-7-EDO-I.pdf

6 páginas

He publicado nuevos ejercicios de 2º Ecuaciones Diferenciales I: Relacion-ejercicios-6-EDO-I.pdf

5 páginas

He publicado nuevos ejercicios de 2º Ecuaciones Diferenciales I: Relacion-ejercicios-5-EDO-I.pdf

6 páginas

He publicado nuevos ejercicios de 2º Ecuaciones Diferenciales I: Relacion-ejercicios-4-EDO-I.pdf

12 páginas

He publicado nuevos ejercicios de 2º Ecuaciones Diferenciales I: Relacion-ejercicios-3-EDO-I.pdf

8 páginas

He publicado nuevos ejercicios de 2º Ecuaciones Diferenciales I: Relacion-ejercicios-1-EDO-I.pdf

16 páginas

He publicado nuevos ejercicios de 2º Ecuaciones Diferenciales I: Relacion-ejercicios-2-EDO-I.pdf

12 páginas

He publicado nuevos apuntes de 2º Ecuaciones Diferenciales I: Apuntes-Tema-4-EDO-I.pdf

13 páginas

He publicado nuevos apuntes de 2º Ecuaciones Diferenciales I: Apuntes-Tema-6-EDO-I.pdf

27 páginas

He publicado nuevos apuntes de 2º Ecuaciones Diferenciales I: Apuntes-Tema-5-EDO-I.pdf

15 páginas

He publicado nuevos apuntes de 2º Ecuaciones Diferenciales I: Apuntes-Tema-3-EDO-I.pdf

18 páginas

He publicado nuevos apuntes de 2º Ecuaciones Diferenciales I: Apuntes-Tema-2-EDO-I.pdf

11 páginas

He publicado nuevos apuntes de 2º Ecuaciones Diferenciales I: Apuntes-Tema-1-EDO-I.pdf

12 páginas

He publicado nuevos ejercicios de 2º Ecuaciones Diferenciales I: Relacion-6-RESUELTA.pdf

21 páginas

He publicado nuevos ejercicios de 2º Ecuaciones Diferenciales I: Relacion-5-RESUELTA.pdf

12 páginas

He publicado nuevos ejercicios de 2º Ecuaciones Diferenciales I: Relacion-4-RESUELTA.pdf

17 páginas

He publicado nuevos apuntes de 2º Ecuaciones Diferenciales I: resumen-EDO.pdf

3 páginas

He publicado nuevos ejercicios de 2º Ecuaciones Diferenciales I: Relacion-4-SOLUCION.pdf

30 páginas