Ecuaciones Diferenciales I

Todo
Apuntes
Ejercicios
Exámenes
Otros
chevron_left
chevron_right

He publicado nuevos examenes de 2º Ecuaciones Diferenciales I: Examen-de-ordinaria-2025.pdf

1 página

ejercicios

-

Ejercicios a entregar

He publicado nuevos ejercicios de 2º Ecuaciones Diferenciales I: Ejercicios a entregar

Entrega-1.pdf
Entrega-7.pdf
Entrega-5.pdf
Entrega-6.pdf
Entrega-4.pdf
Entrega-2.pdf
Anónimo

@Anónimo

Este archivo es un resumen de la asignatura con lo que necesitas para aprobar entre un toque humorístico y novelesco

8 páginas

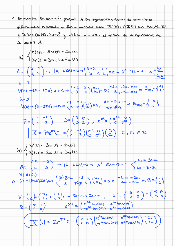
Esquema para aprender a resolver sistemas por método exponencial de la matriz

Imagen

He publicado nuevos apuntes de 2º Ecuaciones Diferenciales I: apuntes-de-ecuaciones-diferenciales.pdf

22 páginas

He publicado nuevos examenes de 2º Ecuaciones Diferenciales I: Ordinaria-202425-resuelto.pdf

9 páginas

He publicado nuevos apuntes de 2º Ecuaciones Diferenciales I: FormularioCompleto.pdf

4 páginas

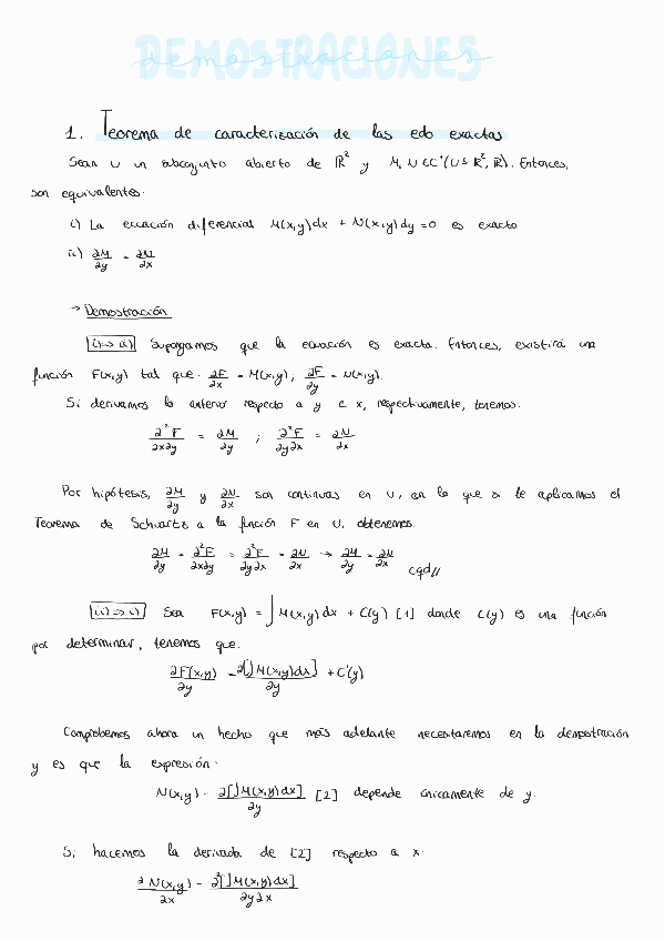
He publicado nuevos apuntes de 2º Ecuaciones Diferenciales I: DemostracionesCompletas.pdf

16 páginas

He publicado nuevos apuntes de 2º Ecuaciones Diferenciales I: EjerciciosTeoricosImportantes.pdf

6 páginas

He publicado nuevos examenes de 2º Ecuaciones Diferenciales I: Final-24-25.pdf

1 página

apuntes

-

Manual completo EDO y relaciones

Para el manual de resolución de las relaciones recomiendo tener a mano el archivo "TIPO DE EDO Y COMO RESOLVERLAS"

TIPOS-DE-EDO-Y-COMO-RESOLVERLAS.pdf
MANUAL-DE-RESOLUCION-DE-RELACIONES.pdf
Relacion-1-curso-2425.pdf
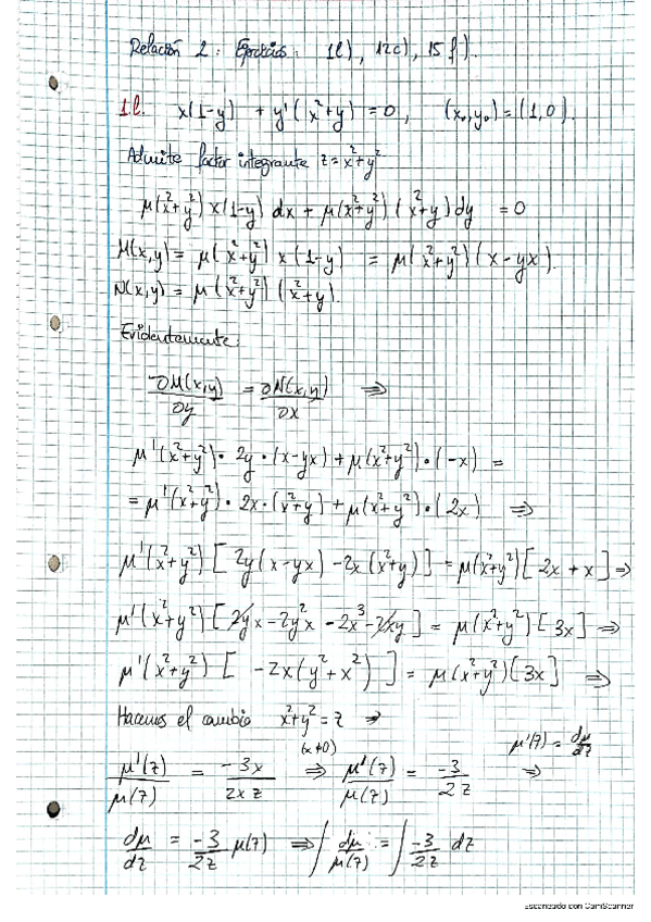
Relacion-2-curso-2425.pdf
Relacion-3-curso-2425.pdf
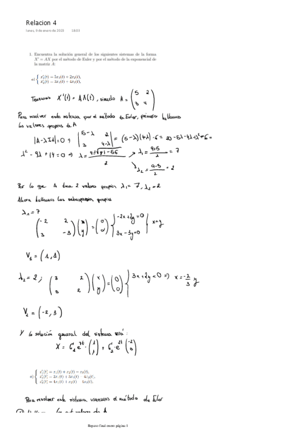
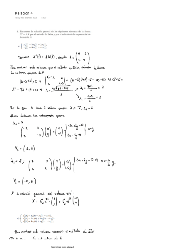
Relacion-4-curso-2425.pdf

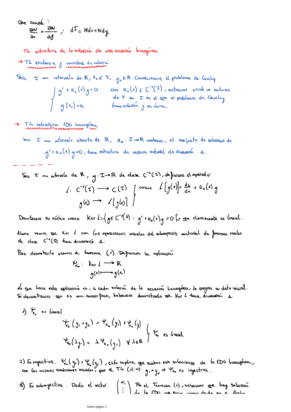
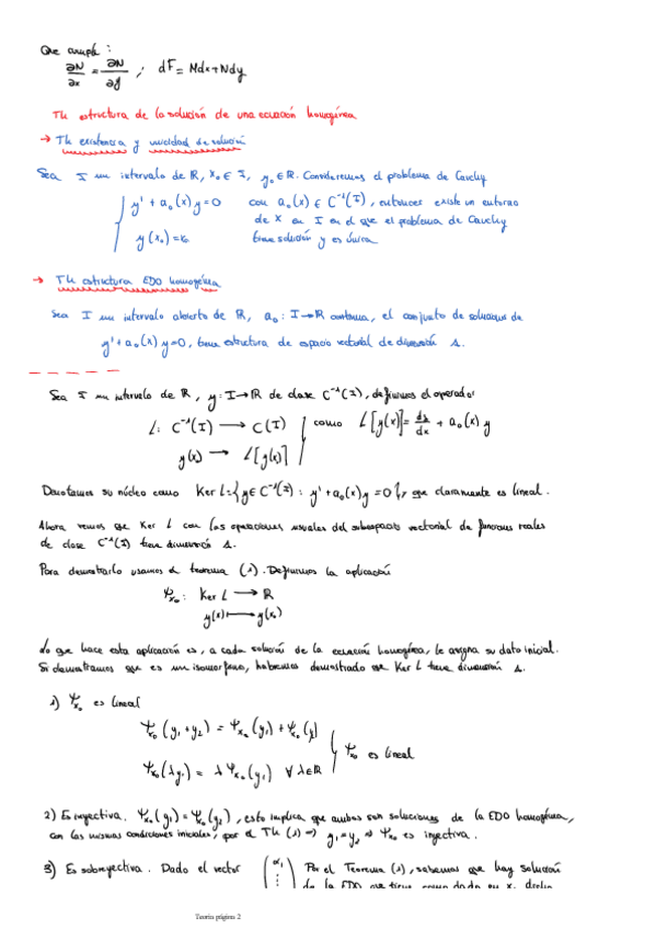
He publicado nuevos apuntes de 2º Ecuaciones Diferenciales I: Estructura-del-conjunto-de-soluciones-de.pdf

2 páginas

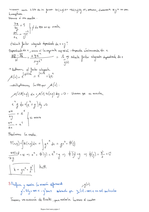
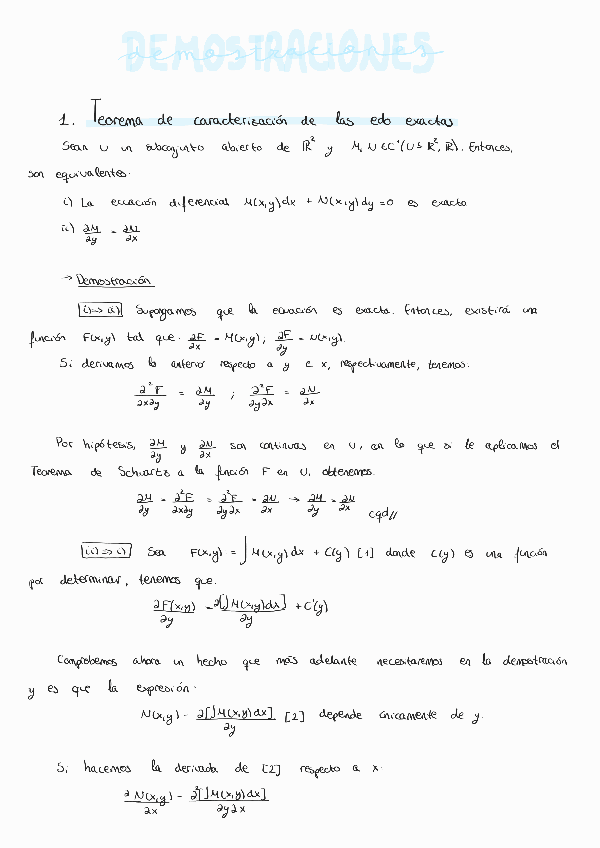
He publicado nuevos apuntes de 2º Ecuaciones Diferenciales I: Caracterizacion-ecuaciones-lineales-exac.pdf

4 páginas

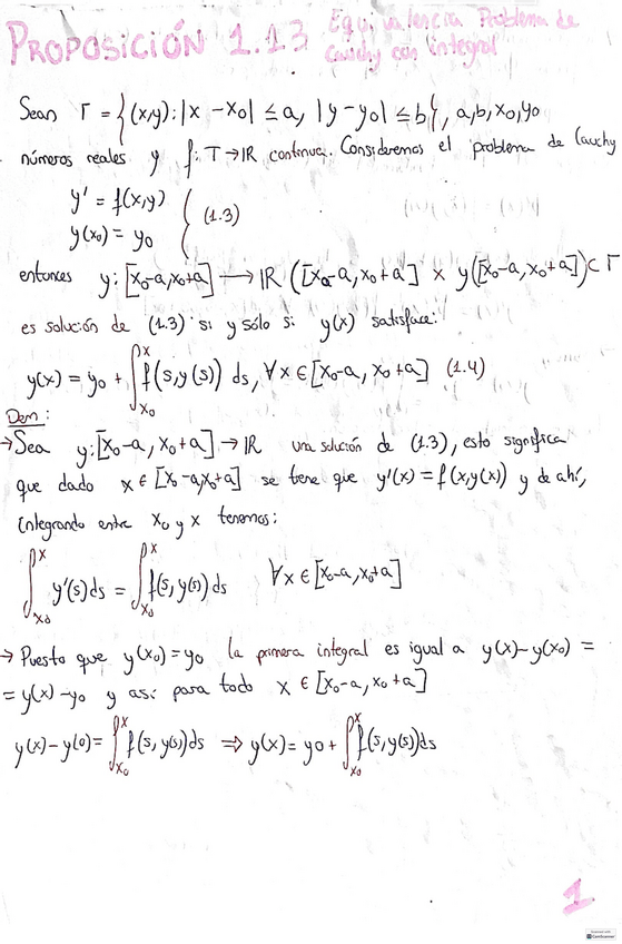
He publicado nuevos apuntes de 2º Ecuaciones Diferenciales I: Equivalencia-del-problema-de-Cauchy-con.pdf

2 páginas

He publicado nuevos apuntes de 2º Ecuaciones Diferenciales I: Existencia-y-Unicidad-de-solucion-para-E.pdf

1 página

He publicado nuevos apuntes de 2º Ecuaciones Diferenciales I: Solucion-general-de-una-EDO-completa-So.pdf

1 página

He publicado nuevos apuntes de 2º Ecuaciones Diferenciales I: Si-A-MnR-tiene-todos-sus-valores-pro.pdf

3 páginas

He publicado nuevos apuntes de 2º Ecuaciones Diferenciales I: Forma-que-tiene-la-matriz-etJn-donde-Jn.pdf

4 páginas

ejercicios

-

Relaciones (muy curiosas)

He publicado nuevos ejercicios de 2º Ecuaciones Diferenciales I: Relaciones (muy curiosas)

Relacion-4-manual-de-como-resolverla.pdf

He publicado nuevos apuntes de 2º Ecuaciones Diferenciales I: Teorema-de-caracterizacion-del-conjunto-de-soluciones-en-el-caso-homogeneo-para-los-sistemas-diferenciales-lineales-de-orden-N.pdf

2 páginas

He publicado nuevos apuntes de 2º Ecuaciones Diferenciales I: Si-A-M2R-y-sus-valores-propios-asoci.pdf

5 páginas

He publicado nuevos apuntes de 2º Ecuaciones Diferenciales I: Teorema-de-estructura-algebraica-del-con.pdf

4 páginas

He publicado nuevos examenes de 2º Ecuaciones Diferenciales I: Parcial-2.pdf

1 página

examenes

-

Controles

He publicado nuevos examenes de 2º Ecuaciones Diferenciales I: Controles

Control-1-19-20.pdf
Control-1-20-21.pdf
Control-1-21-22.pdf
Control-1-22-23.pdf
Control-1-23-24.pdf
Control-2-19-20.pdf

examenes

-

Exámenes Resueltos

He publicado nuevos examenes de 2º Ecuaciones Diferenciales I: Exámenes Resueltos

Final-Resuelto-22-23.pdf
Recuperacion-Resuelto-21-22.pdf
Subida-Evaluacion-Continua-Resuelto-21-22.pdf

examenes

-

Todos los Finales y Recus

He publicado nuevos examenes de 2º Ecuaciones Diferenciales I: Todos los Finales y Recus

TodosLosFinales.pdf
TodasLasRecus.pdf
Final-19-20.pdf
Final-21-22.pdf
Final-22-23.pdf
Recuperacion-19-20.pdf

He publicado nuevos apuntes de 2º Ecuaciones Diferenciales I: Demostracion-del-tipo-de-funciones-que-f.pdf

5 páginas

He publicado nuevos apuntes de 2º Ecuaciones Diferenciales I: Resumen-tipos-de-ecuaciones-segundo-parc.pdf

11 páginas

He publicado nuevos apuntes de 2º Ecuaciones Diferenciales I: Teorema-de-caracterizacio-n-de-la-matri.pdf

3 páginas

He publicado nuevos apuntes de 2º Ecuaciones Diferenciales I: Demostracion-Conjunto-de-soluciones-de-u.pdf

3 páginas

He publicado nuevos examenes de 2º Ecuaciones Diferenciales I: PARCIAL-1.pdf

1 página

otros

-

Teoría, ejercicios y esquema para el 1º parcial

He publicado nuevos otros de 2º Ecuaciones Diferenciales I: Teoría, ejercicios y esquema para el 1º parcial

Modelo-tipo-examen1.pdf
relacion-1-resuelta.pdf
esquema-EDO-de-primer-orden.pdf
relacion-2-resuelta.pdf
EDO-de-primer-orden-teoria.pdf
demostraciones-1-parcial.pdf

ejercicios

-

Todos los ejercicios resueltos de EDO

He publicado nuevos ejercicios de 2º Ecuaciones Diferenciales I: Todos los ejercicios resueltos de EDO

Ejercicios-para-estudiar-para-examen.pdf
Ejercicios-de-Edo-lineales-de-orden-superior.pdf
Ejercicios-sistemas-de-ecuaciones.pdf
Ejercicios-de-ecuaciones-diferenciales-de-primer-orden-1.pdf
Ejercicios-por-mi-cuenta-de-ecuaciones-diferenciales-1.pdf

apuntes

-

Apuntes y ejercicios hechos en clase por profesora

He publicado nuevos apuntes de 2º Ecuaciones Diferenciales I: Apuntes y ejercicios hechos en clase por profesora

Apuntes-resumidos-y-ejercicios-por-profesora-ecuaciones-diferenciales-de-primer-orden-1.pdf
Apuntes-y-ejercicios-por-profesora-Ecuaciones-diferenciales-de-orden-n-3.pdf

apuntes

-

demostraciones

He publicado nuevos apuntes de 2º Ecuaciones Diferenciales I: demostraciones

Demostraciones-Segunda-parte.pdf
Demostraciones-1a-parte.pdf

apuntes

-

Esquemas Edo

He publicado nuevos apuntes de 2º Ecuaciones Diferenciales I: Esquemas Edo

Esquema-edos-primera-parte.pdf
Esquema-1er-tema-edo.pdf

examenes

-

exámenes EDO

He publicado nuevos examenes de 2º Ecuaciones Diferenciales I: exámenes EDO

Examen-19012024-1.pdf
Examen-extraordinario-ecuaciones-diferen.pdf
Primer-parcial-ecuaciones-diferenciales.pdf

He publicado nuevos examenes de 2º Ecuaciones Diferenciales I: Examenes-edo-resultos.pdf

25 páginas

ejercicios

-

Ejercicios Ecuaciones diferenciales I

He publicado nuevos ejercicios de 2º Ecuaciones Diferenciales I: Ejercicios Ecuaciones diferenciales I

Relacion-1-edo-resuelta.pdf
Relacion-2-edo-resulta.pdf
Relacion-3-edo-resuelta.pdf
Relacion-4-edo-resulta.pdf

apuntes

-

Apuntes Ecuaciones diferenciales I

He publicado nuevos apuntes de 2º Ecuaciones Diferenciales I: Apuntes Ecuaciones diferenciales I

Resumen-teoria-edo.pdf
tabla-de-tipos-de-ecuaciones.pdf

examenes

-

Exámenes

He publicado nuevos examenes de 2º Ecuaciones Diferenciales I: Exámenes

19-Octubre-2020.pdf
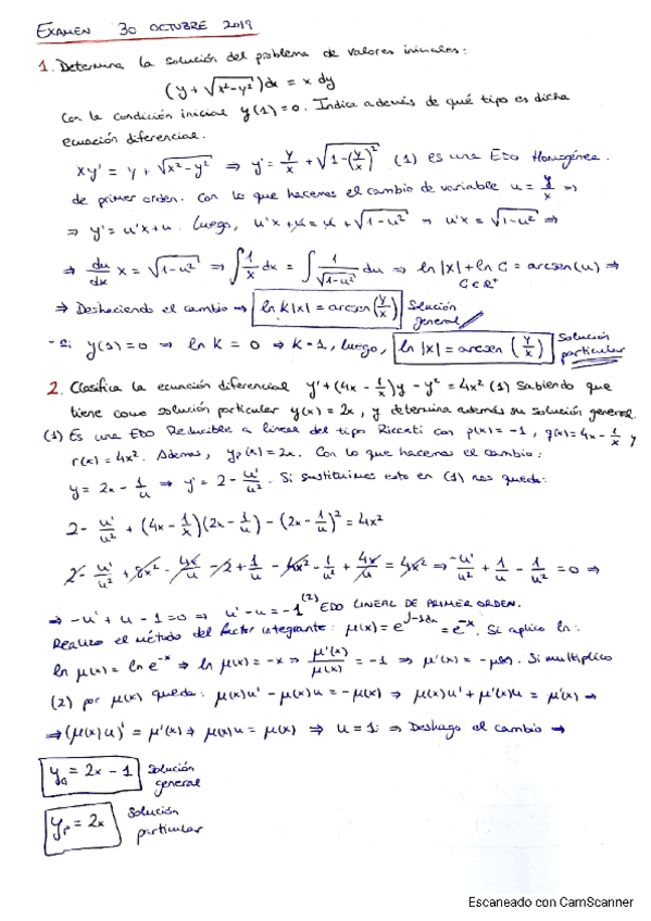
30-Octubre-2019.pdf
Segunda-parte-2023.pdf

ejercicios

-

Relaciones

He publicado nuevos ejercicios de 2º Ecuaciones Diferenciales I: Relaciones

EDO-Relacion-1.pdf
Relacion-2.pdf
Relacion-3.pdf
Relacion-4.pdf

examenes

-

Parciales resueltos

He publicado nuevos examenes de 2º Ecuaciones Diferenciales I: Parciales resueltos

19-octubre-2020.pdf
20-octubre-2022.pdf
30-octubre-2019.pdf
12-noviembre-2021.pdf

apuntes

-

Demostraciones

He publicado nuevos apuntes de 2º Ecuaciones Diferenciales I: Demostraciones

Primera-parte.pdf
Demostraciones-EDO-I-Segunda-parte.pdf

ejercicios

-

Tareas semanales

He publicado nuevos ejercicios de 2º Ecuaciones Diferenciales I: Tareas semanales

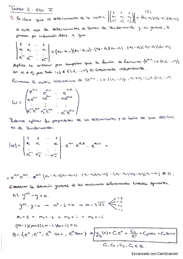
Tarea-1-EDO-I.pdf
Tarea-2-EDO-I.pdf
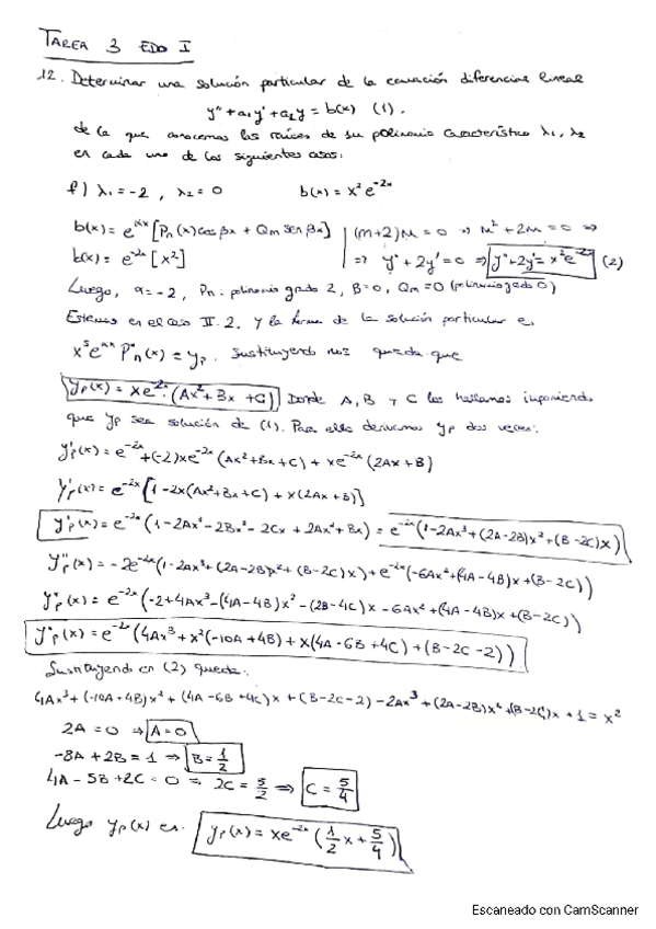
Tarea-3-EDO-I.pdf
Tarea-4-EDO-I.pdf
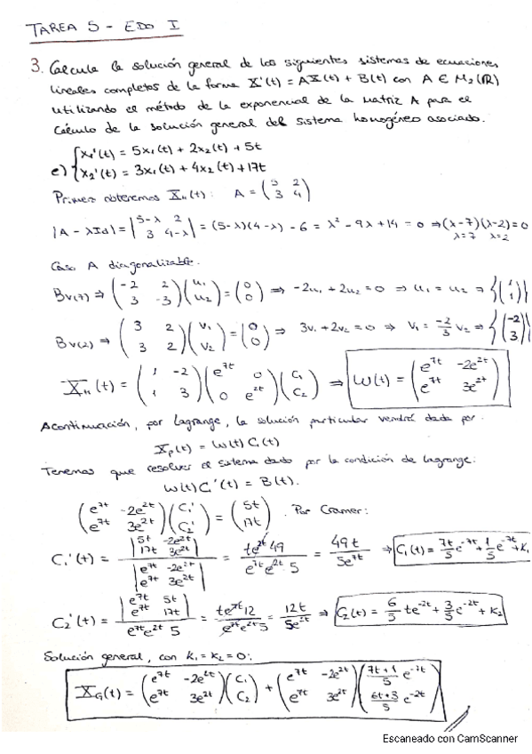
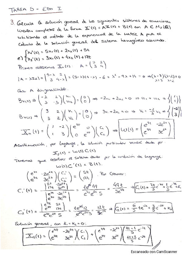
Tarea-5-EDO-I.pdf

ejercicios

-

EDI Actividades

Ejercicios evaluables

EDI-Actividad-1-soluciones.pdf
EDI-Actividad-2-Soluciones.pdf
EDI-Actividad-4-soluciones.pdf
EDI-Actividad-6-Soluciones.pdf
EDI-Actividad-8-soluciones.pdf

He publicado nuevos apuntes de 2º Ecuaciones Diferenciales I: Tipos-de-EDO.pdf

2 páginas

He publicado nuevos apuntes de 2º Ecuaciones Diferenciales I: Demostraciones-enero.pdf

8 páginas

He publicado nuevos examenes de 2º Ecuaciones Diferenciales I: Final-2023-ordinaria.pdf

15 páginas

ejercicios

-

Relaciones

He publicado nuevos ejercicios de 2º Ecuaciones Diferenciales I: Relaciones

Relacion-1.pdf
Relacion-2.pdf
Relacion-3.pdf
Relacion-4.pdf

He publicado nuevos apuntes de 2º Ecuaciones Diferenciales I: Resumen-tipos-de-ecuaciones-por-pasos.pdf

6 páginas

He publicado nuevos apuntes de 2º Ecuaciones Diferenciales I: Table-resumen-EDO.pdf

2 páginas

examenes

-

Examenes

He publicado nuevos examenes de 2º Ecuaciones Diferenciales I: Examenes

examenesedo.pdf
Soluciones-examen-11-de-enero-2022.pdf

He publicado nuevos apuntes de 2º Ecuaciones Diferenciales I: Examen-ecuaciones.pdf

1 página

apuntes

-

Apuntes EDO curso completo

He publicado nuevos apuntes de 2º Ecuaciones Diferenciales I: Apuntes EDO curso completo

Apuntes-primer-parcial-ecuaciones.pdf
Apuntes-segundo-parcial-ecuaciones.pdf
Demostraciones-ecuaciones.pdf

apuntes

-

Apuntes y resumen

He publicado nuevos apuntes de 2º Ecuaciones Diferenciales I: Apuntes y resumen

Resumen-temas-1-4.pdf
Apuntes-de-clase.pdf
Tabla-integrales-y-derivadas.pdf

apuntes

-

Relaciones

He publicado nuevos apuntes de 2º Ecuaciones Diferenciales I: Relaciones

Relaciones-1-2.pdf
Relaciones-3-4.pdf

apuntes

-

Demostraciones

He publicado nuevos apuntes de 2º Ecuaciones Diferenciales I: Demostraciones

Demostraciones.pdf

He publicado nuevos apuntes de 2º Ecuaciones Diferenciales I: Dem-edo1.pdf

16 páginas

Apuntes primera parte: temas 1,2,3(1ªparte) ; Apuntes segunda parte: temas 3(2ªparte) y 4.

14 páginas