Ecuaciones diferenciales II

chevron_left
chevron_right
Todo
Apuntes
Ejercicios
Exámenes
Prácticas
chevron_left
chevron_right

Demostraciones del Profesor del tema 2

7 páginas
Anónimo

@Anónimo

He publicado nuevos apuntes de 3º Ecuaciones diferenciales II: Demostraciones-T2.pdf

6 páginas

Todas las demostraciones del listado para el primer parcial

7 páginas

He publicado nuevos apuntes de 3º Ecuaciones diferenciales II: Esquema-temas.pdf

2 páginas

He publicado nuevos apuntes de 3º Ecuaciones diferenciales II: Apuntes-EDO-II.pdf

50 páginas

examenes

-

Exámenes curso 24/25

He publicado nuevos examenes de 3º Ecuaciones diferenciales II: Exámenes curso 24/25

Screenshot2026-02-02-19-44-12-779515eed95ee72b7635bf2fb1017e37cd.jpg
Screenshot2026-02-02-19-44-15-839515eed95ee72b7635bf2fb1017e37cd.jpg
Screenshot2026-02-02-19-44-19-919515eed95ee72b7635bf2fb1017e37cd.jpg

ejercicios

-

Ejercicios TEC edo II

He publicado nuevos ejercicios de 3º Ecuaciones diferenciales II: Ejercicios TEC edo II

Ejercicios-TEC-1.pdf
Ejercicios-TEC-2.pdf
Ejercicios-TEC-3.pdf
Ejercicios-TEC-4.pdf

He publicado nuevos apuntes de 3º Ecuaciones diferenciales II: Resumen-edo-II.pdf

15 páginas

ejercicios

-

Relaciones EDO II

He publicado nuevos ejercicios de 3º Ecuaciones diferenciales II: Relaciones EDO II

Relacion-1-EDO-II.pdf
Relacion-2-EDO-II.pdf
Relacion-3-EDO-II.pdf
Relacion-4-EDO-II.pdf
Relacion-5-EDO-II.pdf
Relacion-6-EDO-II.pdf

He publicado nuevos apuntes de 3º Ecuaciones diferenciales II: Ejercicios-2o-parcial.pdf

31 páginas

He publicado nuevos ejercicios de 3º Ecuaciones diferenciales II: Ejercicios-1a-parte.pdf

24 páginas

apuntes

-

Debates y est

He publicado nuevos apuntes de 3º Ecuaciones diferenciales II: Debates y est

Debate-1.pdf
Debate-2.pdf
Debate-3.pdf
Debate-4.pdf
Debate-5.pdf
Debate6.pdf

He publicado nuevos apuntes de 3º Ecuaciones diferenciales II: Resumenes-EDO-II.pdf

5 páginas

apuntes

-

Ex. Resueltos 2025

He publicado nuevos apuntes de 3º Ecuaciones diferenciales II: Ex. Resueltos 2025

Ejercicios-PEC1.pdf
PEC1-EXAMS-CONT.pdf
Ordinario-2024250620101806.pdf
Extraordinario-2024250620101828.pdf
Parcial1-2025250620101907.pdf
2-parcial-2025250621001251.pdf

He publicado nuevos ejercicios de 3º Ecuaciones diferenciales II: Estudio-2-Parcial.pdf

22 páginas

He publicado nuevos examenes de 3º Ecuaciones diferenciales II: Ejercicios-Resueltos-Examenes.pdf

22 páginas

apuntes

-

Apuntes

He publicado nuevos apuntes de 3º Ecuaciones diferenciales II: Apuntes

Resumen-pec1.pdf
T3-Teoria-cualitativa.pdf
T2-Dependencia-de-datos-iniciales.pdf
Resumen-pec2.pdf
Demostraciones.pdf
T1-Parte-2.pdf

ejercicios

-

Debates

He publicado nuevos ejercicios de 3º Ecuaciones diferenciales II: Debates

Debate-1.pdf
Debate-2.pdf
Debate-3.pdf
Debate-6.pdf
Debate-5.pdf

apuntes

-

TECS

He publicado nuevos apuntes de 3º Ecuaciones diferenciales II: TECS

TEC3.pdf
TEC4.pdf
TEC2.pdf

examenes

-

Preparación examen final

No he podido subir todos los exámenes en un solo archivo, así que he subido parte 1 y parte 2

Examenes-parte-1.pdf
Examenes-parte-2.pdf
Resumen-preexamen.pdf
Demostraciones-final.pdf

He publicado nuevos apuntes de 3º Ecuaciones diferenciales II: Cuaderno-EDO2.pdf

209 páginas

ejercicios

-

Tareas

He publicado nuevos ejercicios de 3º Ecuaciones diferenciales II: Tareas

Debate-sobre-existencia-de-soluciones-y-propiedades.pdf
Debate-sobre-aproximaciones-sucesivas-y-unicidad.pdf
Debate-Teorema-Ascoli-Arzela.pdf
Debate-sobre-convergencia-uniforme-y-equicontinuidad.pdf

He publicado nuevos apuntes de 3º Ecuaciones diferenciales II: Apuntes-Tema-3230721201052.pdf

6 páginas

He publicado nuevos apuntes de 3º Ecuaciones diferenciales II: Examenes-edo230721201143.pdf

12 páginas

He publicado nuevos apuntes de 3º Ecuaciones diferenciales II: Practica-pec02230721201118.pdf

15 páginas

He publicado nuevos apuntes de 3º Ecuaciones diferenciales II: Academia230721201319.pdf

37 páginas

He publicado nuevos apuntes de 3º Ecuaciones diferenciales II: Examenes-resueltos-230721201205.pdf

27 páginas

He publicado nuevos apuntes de 3º Ecuaciones diferenciales II: Tema2230517190609.pdf

4 páginas

He publicado nuevos apuntes de 3º Ecuaciones diferenciales II: Preparacion-pec-01230721201237.pdf

11 páginas

He publicado nuevos apuntes de 3º Ecuaciones diferenciales II: Apuntes-tema-1230721200515.pdf

3 páginas

ejercicios

-

Tareas

He publicado nuevos ejercicios de 3º Ecuaciones diferenciales II: Tareas

Tarea-3230402162327.pdf
Tarea-5230414174533.pdf
Tarea-6230424204525.pdf
Tarea-7230505095339.pdf
Tarea-10230605140352.pdf
Tarea-1-corregida230318205153.pdf

He publicado nuevos apuntes de 3º Ecuaciones diferenciales II: Esquema-ESTABILIDAD.pdf

1 página

He publicado nuevos apuntes de 3º Ecuaciones diferenciales II: Metodo-directo-de-Lyapunov.pdf

2 páginas

He publicado nuevos apuntes de 3º Ecuaciones diferenciales II: TEMA-3-Estabilidad.pdf

5 páginas

He publicado nuevos apuntes de 3º Ecuaciones diferenciales II: Ejercicios-EXAMENES-Tema-2.pdf

8 páginas

He publicado nuevos apuntes de 3º Ecuaciones diferenciales II: TEMA-2-Prolongabilidad-Apuntes-6es.pdf

3 páginas

He publicado nuevos apuntes de 3º Ecuaciones diferenciales II: Picard-Lindelof.pdf

3 páginas

He publicado nuevos apuntes de 3º Ecuaciones diferenciales II: Ejercicios-TAA.pdf

3 páginas

He publicado nuevos apuntes de 3º Ecuaciones diferenciales II: PEC1.pdf

6 páginas

He publicado nuevos apuntes de 3º Ecuaciones diferenciales II: Cauchy-Peano-y-Picard-Lindelof.pdf

1 página

He publicado nuevos apuntes de 3º Ecuaciones diferenciales II: Ascoli-Arzela.pdf

2 páginas

apuntes

-

Entregas

Entregas

4-Abril.pdf
18-Abril.pdf
Entrega-1.pdf
Entrega-2-de-Mayo.pdf
Entrega-2.pdf
Entrega-3.pdf

apuntes

-

Apuntes Bloque 1

Apuntes

Apuntes-Bloque-1.pdf
Apuntes-Bloque-2.pdf
Ejemplo.pdf
Mayo.pdf
Tema-3.pdf

apuntes

-

Apuntes rodiss final

He publicado nuevos apuntes de 3º Ecuaciones diferenciales II: Apuntes rodiss final

Tema-1.pdf
Tema-2.pdf
Parcial-1.pdf
Preparacion-T12.pdf
Tema-3-parte-1.pdf
Tema-3-parte-2.pdf
Anónimo

@Anónimo

practicas

-

TAREAS RESUELTAS

Calificación indicada en el nombre del pdf

Tarea10EDII10.pdf
Tarea9EDII10.pdf
Tarea8EDII10.pdf
Tarea7EDII10.pdf
Tarea6EDII10.pdf
Tarea5EDII10.pdf
Anónimo

@Anónimo

ejercicios

-

Preparación Final

Ejercicios de examen recopilados en el curso 2022/23

EjerciciosTipoExamenEDII.pdf
Anónimo

@Anónimo

examenes

-

Exámenes Resueltos

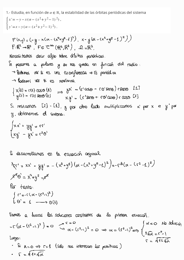
Los ejercicios prácticos son: prolongabilidad, punto crítico-estabilidad blabla y derivadas parciales.

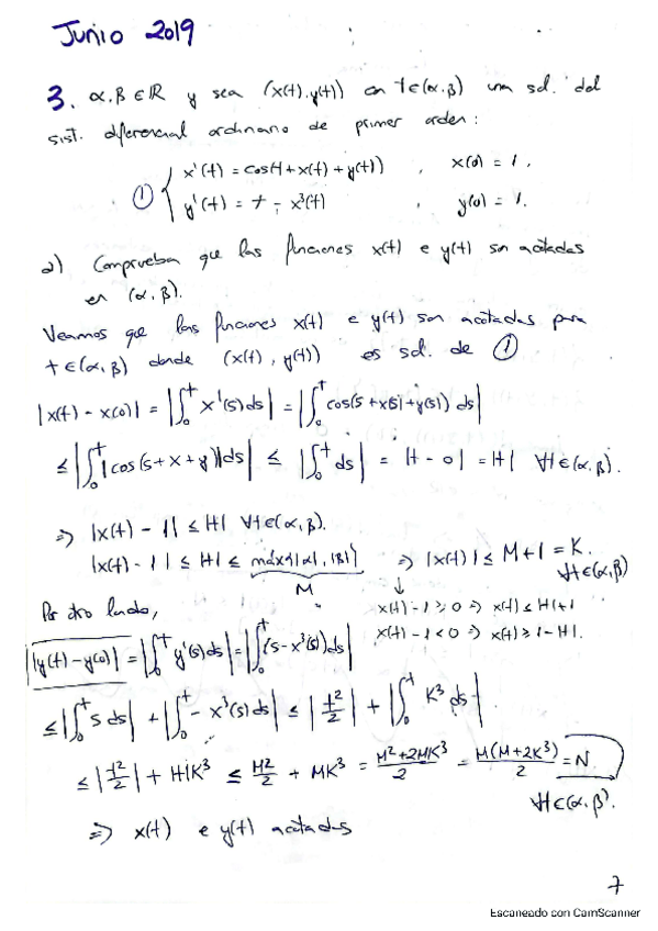
JUNIO-2019.pdf
JUNIO-2022.pdf
MAYO-2021.pdf
SEPT-2019.pdf
JULIO-2022.pdf
MAYO-2020.pdf

He publicado nuevos apuntes de 3º Ecuaciones diferenciales II: Tema-3230606180708.pdf

5 páginas

He publicado nuevos apuntes de 3º Ecuaciones diferenciales II: Tema-1230611110516.pdf

1 página

apuntes

-

Tareas

He publicado nuevos apuntes de 3º Ecuaciones diferenciales II: Tareas

Relacion-1-ed2230224211337.pdf
Tarea-2230306173358.pdf
Tarea-3230317101737.pdf
Tarea4230402184349.pdf
Tarea-5230413111156.pdf
Tarea-7230426010412.pdf

He publicado nuevos apuntes de 3º Ecuaciones diferenciales II: Resumen-T2230522220958.pdf

2 páginas

He publicado nuevos ejercicios de 3º Ecuaciones diferenciales II: PEC2ejercicios-resueltos.pdf

38 páginas
Anónimo

@Anónimo

apuntes

-

Ecuaciones diferenciales 2

He publicado nuevos apuntes de 3º Ecuaciones diferenciales II: Ecuaciones diferenciales 2

exAmenesedo2.pdf
resumenesedo2.pdf

apuntes

-

Tema 2 EDII

He publicado nuevos apuntes de 3º Ecuaciones diferenciales II: Tema 2 EDII

tema-2-edii-esquema-resumen.pdf

apuntes

-

Tema 1 EDII

He publicado nuevos apuntes de 3º Ecuaciones diferenciales II: Tema 1 EDII

Esquema-Resumen-aspectos-mas-importantes-del-tema-1-Ecuaciones-Diferenciales-II.pdf
¡Estás al día!

¡Estás al día!

Has visto todos los archivos