Ecuaciones Diferenciales y Métodos Numéricos

chevron_left
chevron_right
Todo
Apuntes
Ejercicios
Exámenes
Prácticas
chevron_left
chevron_right

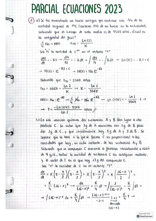
Primera prueba de proceso de la asignatura de ecuaciones diferenciales y métodos numéricos de 1 de ingeniería química. En la prueba había varios modelos de prueba distintos o sea que seguramente no sea igual pero te puede servir para practicar.

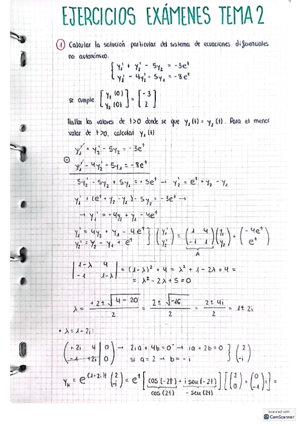
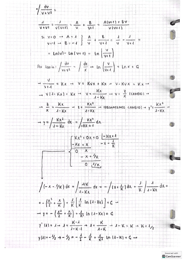
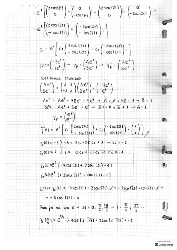
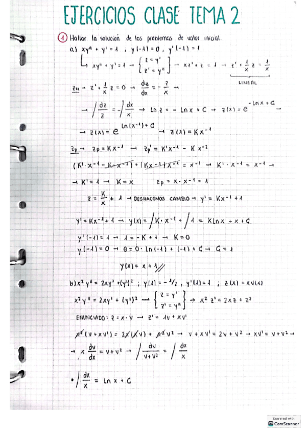
Imagen

He publicado nuevos examenes de 2º Ecuaciones Diferenciales y Métodos Numéricos: Exam-Matlab-Diciembre-2023.pdf

5 páginas

He publicado nuevos examenes de 2º Ecuaciones Diferenciales y Métodos Numéricos: Exam-Matlab-17-enero-2024.pdf

2 páginas

He publicado nuevos examenes de 2º Ecuaciones Diferenciales y Métodos Numéricos: Examen-Matlab-FEB-2012.pdf

1 página

He publicado nuevos examenes de 2º Ecuaciones Diferenciales y Métodos Numéricos: Examen-Matlab-enero-2024.pdf

5 páginas

He publicado nuevos apuntes de 2º Ecuaciones Diferenciales y Métodos Numéricos: Estabilidad-soluciones-de-equilibrio-S.E.D.pdf

5 páginas

He publicado nuevos apuntes de 2º Ecuaciones Diferenciales y Métodos Numéricos: Apuntes-MATLAB.pdf

6 páginas

examenes

-

EXAMENES MATLAB

He publicado nuevos examenes de 2º Ecuaciones Diferenciales y Métodos Numéricos: EXAMENES MATLAB

EXAMENES-RESUELTOS-MATLAB.pdf
MATLAB-2023.pdf
MATLAB-SEPTIEMBRE-2020.pdf
MATLAB-SEPTIEMBRE-2014.pdf
RESUELTOS-MATLAB-VARIADOS.pdf
MATLAB-2024.pdf

apuntes

-

MATLAB

He publicado nuevos apuntes de 2º Ecuaciones Diferenciales y Métodos Numéricos: MATLAB

PDF-CLASE-2-MATLAB.pdf
PDF-CLASE-1-MATLAB.pdf
PDF-PARTE-3-MATLAB.pdf
PDF-PARTE-4-MATLAB.pdf
PDF-PARTE-5-MATLAB.pdf
PDF-PARTE-6-MATLAB.pdf

He publicado nuevos examenes de 2º Ecuaciones Diferenciales y Métodos Numéricos: Mas-ej-examenes.pdf

3 páginas

He publicado nuevos apuntes de 2º Ecuaciones Diferenciales y Métodos Numéricos: Mas-ejercicios-del-boletin.pdf

12 páginas

He publicado nuevos examenes de 2º Ecuaciones Diferenciales y Métodos Numéricos: EXAMENES.pdf

7 páginas

He publicado nuevos examenes de 2º Ecuaciones Diferenciales y Métodos Numéricos: EXAMENES.pdf

11 páginas
Anónimo

@Anónimo

He publicado nuevos apuntes de 2º Ecuaciones Diferenciales y Métodos Numéricos: Examenes-varios-matlab-resueltos.pdf

5 páginas
Anónimo

@Anónimo

He publicado nuevos examenes de 2º Ecuaciones Diferenciales y Métodos Numéricos: EXAMEN-MATLAB-RESUELTO.pdf

6 páginas

He publicado nuevos ejercicios de 2º Ecuaciones Diferenciales y Métodos Numéricos: TEMA2.pdf

11 páginas

He publicado nuevos ejercicios de 2º Ecuaciones Diferenciales y Métodos Numéricos: TEMA-1.pdf

19 páginas

He publicado nuevos practicas de 2º Ecuaciones Diferenciales y Métodos Numéricos: EXAMENES-RESUELTOS-MATLAB-TEMA-2.pdf

21 páginas

Contiene ejercicios del tema 1 y 2

5 páginas

He publicado nuevos practicas de 2º Ecuaciones Diferenciales y Métodos Numéricos: EXAMENES-RESUELTOS-MATLAB-TEMA-1.pdf

7 páginas

examenes

-

EXAMENES RESUELTOS

Examen resuelto primera parte

EXAMEN-25-NOV.2024-RESUELTO.pdf

ejercicios

-

MATLAB

He publicado nuevos ejercicios de 2º Ecuaciones Diferenciales y Métodos Numéricos: MATLAB

Ejercicios-diversos-MATLAB-bloque-2.pdf
EXAMEN-RESUELTO-MATLAB-ENERO-2024-EVALUACION-UNICA.pdf

He publicado nuevos examenes de 2º Ecuaciones Diferenciales y Métodos Numéricos: Examen-Noviembre-2024-Ecuaciones.pdf

1 página

apuntes

-

Tema 1 Ecuaciones (Teoría)

He publicado nuevos apuntes de 2º Ecuaciones Diferenciales y Métodos Numéricos: Tema 1 Ecuaciones (Teoría)

Apuntes-Tema-1-Ecuaciones.pdf
Ejercicios-Tema-1-Ecuaciones.pdf

apuntes

-

Matlab Tema 1

He publicado nuevos apuntes de 2º Ecuaciones Diferenciales y Métodos Numéricos: Matlab Tema 1

EXAMENES-RESUELTOS-MATLAB-EC-TEMA-1.pdf
APUNTES-TEMA-1-MATLAB-Y-EJERCICIOS.pdf

He publicado nuevos examenes de 2º Ecuaciones Diferenciales y Métodos Numéricos: Examen-Matlab-Ecuaciones-Enero-2025.pdf

1 página

apuntes

-

Matlab Tema 2

He publicado nuevos apuntes de 2º Ecuaciones Diferenciales y Métodos Numéricos: Matlab Tema 2

Examenes-Resueltos-Matlab-Tema-2-Ecuaciones.pdf
Apuntes-Matlab-Tema-2-Ecuaciones.pdf

He publicado nuevos examenes de 2º Ecuaciones Diferenciales y Métodos Numéricos: Examen-Ecuaciones-Enero-2025.pdf

1 página

apuntes

-

Tema 2 Ecuaciones (Teoría)

He publicado nuevos apuntes de 2º Ecuaciones Diferenciales y Métodos Numéricos: Tema 2 Ecuaciones (Teoría)

Ejercicios-Tema-2-Ecuaciones.pdf
Apuntes-Tema-2-Ecuaciones.pdf

He publicado nuevos apuntes de 2º Ecuaciones Diferenciales y Métodos Numéricos: Resumen-ecuaciones-T1.pdf

3 páginas

apuntes

-

EJERCICOS MATLAB POR BLOQUES

He publicado nuevos apuntes de 2º Ecuaciones Diferenciales y Métodos Numéricos: EJERCICOS MATLAB POR BLOQUES

EJERCICIOS-CON-ECUACIONES-MATLAB.pdf
ORDEN-SUPERIOR-MATLAB.pdf
POBLACION-MATLAB.pdf
TANQUE-MATLAB.pdf
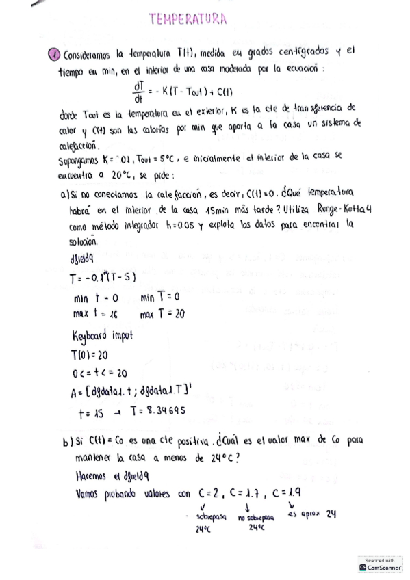
TEMPERATURA-MATLAB.pdf

He publicado nuevos apuntes de 2º Ecuaciones Diferenciales y Métodos Numéricos: TEMARIO-T2-CON-EJEMPLOS.pdf

20 páginas

He publicado nuevos apuntes de 2º Ecuaciones Diferenciales y Métodos Numéricos: RESUMEN-T1-CON-EJERC-EXAMENES.pdf

29 páginas

He publicado nuevos apuntes de 2º Ecuaciones Diferenciales y Métodos Numéricos: EXAMENES-VARIOS-COMPLETOS.pdf

51 páginas

He publicado nuevos apuntes de 2º Ecuaciones Diferenciales y Métodos Numéricos: EJERCICIOS-EXAMENES-T2.pdf

19 páginas

He publicado nuevos apuntes de 2º Ecuaciones Diferenciales y Métodos Numéricos: EJERCICIOS-BOLETIN-T2-RESUELTOS.pdf

40 páginas

He publicado nuevos apuntes de 2º Ecuaciones Diferenciales y Métodos Numéricos: EJERCICIOS-BOLETIN-T1-RESUELTOS.pdf

24 páginas

He publicado nuevos apuntes de 2º Ecuaciones Diferenciales y Métodos Numéricos: 1PARCIAL-2023.pdf

4 páginas

He publicado nuevos apuntes de 2º Ecuaciones Diferenciales y Métodos Numéricos: EXAMEN-2021.pdf

1 página

He publicado nuevos apuntes de 1º Ecuaciones Diferenciales y Métodos Numéricos: Ecuaciones.pdf

30 páginas

He publicado nuevos apuntes de 2º Ecuaciones Diferenciales y Métodos Numéricos: Conceptos-TEMA-1.pdf

2 páginas

apuntes

-

LIBRO MATLAB PROFESOR

He publicado nuevos apuntes de 2º Ecuaciones Diferenciales y Métodos Numéricos: LIBRO MATLAB PROFESOR

cap4polking.pdf
cap5polking.pdf
cap6polking.pdf
cap7polking.pdf
cap8polking.pdf
cap9polking.pdf

He publicado nuevos examenes de 2º Ecuaciones Diferenciales y Métodos Numéricos: EJERCICIOS-EXAMEN-MATLAB-RESUELTO.pdf

8 páginas

ejercicios

-

Ejercicios resueltos y explicados temas 1 y 2 ecuaciones diferenciales

He publicado nuevos ejercicios de 2º Ecuaciones Diferenciales y Métodos Numéricos: Ejercicios resueltos y explicados temas 1 y 2 ecuaciones diferenciales

Ejercicios-resueltos-y-explicados-Tema-1.pdf
Ejercicios-resueltos-y-explicados-Tema-2.pdf

He publicado nuevos apuntes de 1º Ecuaciones Diferenciales y Métodos Numéricos: ecuaciones-y-metodos.pdf

26 páginas

He publicado nuevos ejercicios de 2º Ecuaciones Diferenciales y Métodos Numéricos: Tema-2-Ecuaciones.pdf

16 páginas

He publicado nuevos ejercicios de 2º Ecuaciones Diferenciales y Métodos Numéricos: Tema-1-Ecuaciones-parte-2.pdf

19 páginas

He publicado nuevos ejercicios de 2º Ecuaciones Diferenciales y Métodos Numéricos: Tema-1-Ecuaciones-parte-1.pdf

17 páginas

examenes

-

EXAMENES ECUACIONES

He publicado nuevos examenes de 2º Ecuaciones Diferenciales y Métodos Numéricos: EXAMENES ECUACIONES

Febrero2016-A.pdf
Teoria-Febrero.pdf
Teoria-Septiembre.pdf
Febrero2016-B.pdf
ExamenPracticaSeptiembre2012.pdf
Laboratorio-Septiembre.pdf

He publicado nuevos examenes de 2º Ecuaciones Diferenciales y Métodos Numéricos: examen-matlab-enero-2023.pdf

1 página

He publicado nuevos examenes de 2º Ecuaciones Diferenciales y Métodos Numéricos: ej-examen-matlab.pdf

6 páginas

He publicado nuevos examenes de 2º Ecuaciones Diferenciales y Métodos Numéricos: 16-septiembre-2014.pdf

5 páginas

He publicado nuevos examenes de 2º Ecuaciones Diferenciales y Métodos Numéricos: 10-febrero-2014.pdf

7 páginas

He publicado nuevos examenes de 2º Ecuaciones Diferenciales y Métodos Numéricos: 21-noviembre-2013.pdf

7 páginas

He publicado nuevos examenes de 2º Ecuaciones Diferenciales y Métodos Numéricos: 13-de-septiembre-de-2013.pdf

8 páginas

He publicado nuevos examenes de 2º Ecuaciones Diferenciales y Métodos Numéricos: Examen-septiembre-2020.pdf

4 páginas

He publicado nuevos examenes de 2º Ecuaciones Diferenciales y Métodos Numéricos: Examen-septiembre-2017.pdf

5 páginas

He publicado nuevos examenes de 2º Ecuaciones Diferenciales y Métodos Numéricos: Examen-septiembre-2015.pdf

4 páginas

He publicado nuevos apuntes de 2º Ecuaciones Diferenciales y Métodos Numéricos: Examen-noviembre-2018.pdf

4 páginas

He publicado nuevos examenes de 2º Ecuaciones Diferenciales y Métodos Numéricos: Examen-noviembre-2015.pdf

4 páginas