Todo
Apuntes
Ejercicios
chevron_left
chevron_right

He publicado nuevos apuntes de 4º Ecuaciones Diferenciales: Asignaciones-15E.C..pdf

10 páginas

He publicado nuevos apuntes de 4º Ecuaciones Diferenciales: Asignaciones-9-10-11-12-13-14E.C..pdf

43 páginas

He publicado nuevos apuntes de 4º Ecuaciones Diferenciales: Asignaciones-5-6-7-y-8E.C..pdf

29 páginas
Anónimo

@Anónimo

He publicado nuevos apuntes de 4º Ecuaciones Diferenciales: Asignaciones-1234-E.C..pdf

24 páginas

He publicado nuevos apuntes de 4º Ecuaciones Diferenciales: tarea-primer-parcial.pdf

2 páginas

He publicado nuevos apuntes de 4º Ecuaciones Diferenciales: Tarea-segundo-parcial-215076-Javier-Barreras.pdf

11 páginas

He publicado nuevos apuntes de 4º Ecuaciones Diferenciales: Tarea-primer-parcial-ecuaciones-diferenciales.pdf

3 páginas

He publicado nuevos apuntes de 4º Ecuaciones Diferenciales: Tarea-parical-3.pdf

7 páginas

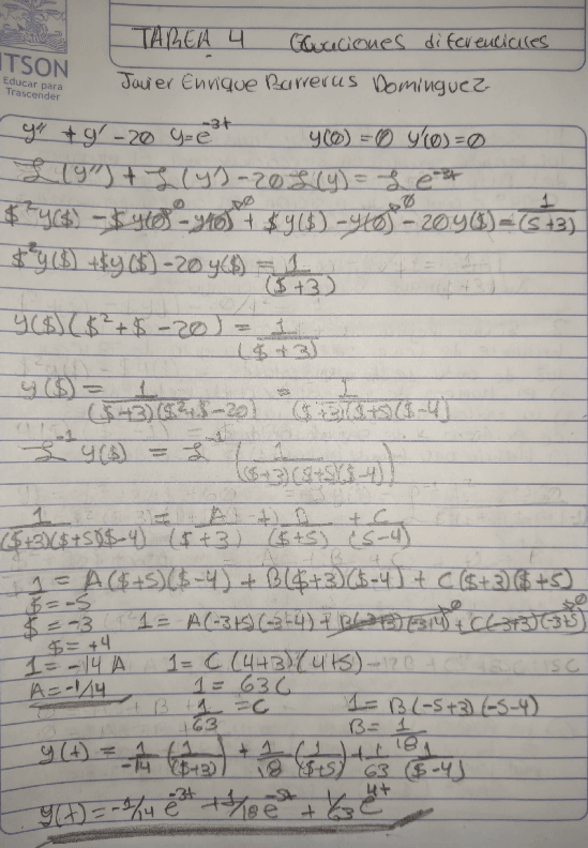
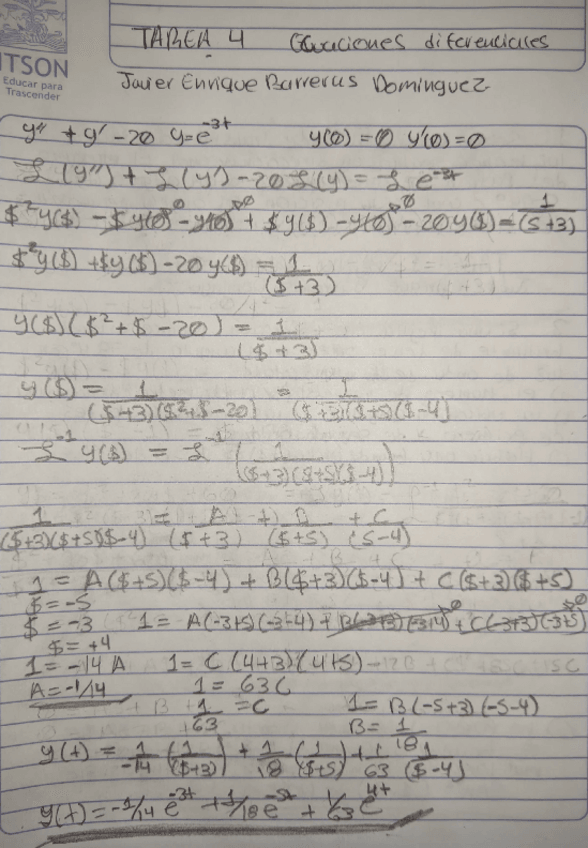
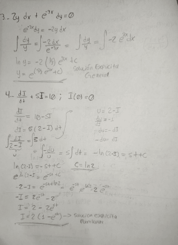
He publicado nuevos apuntes de 4º Ecuaciones Diferenciales: Tarea-parcial-4-Javier-Barreras.pdf

4 páginas

He publicado nuevos apuntes de 4º Ecuaciones Diferenciales: Tarea-5-Ecuaciones-diferenciales-1.pdf

2 páginas

He publicado nuevos apuntes de 4º Ecuaciones Diferenciales: Tarea-6-Ecuaciones-Diferenciales-Javier-Barreras.pdf

1 página

He publicado nuevos apuntes de 4º Ecuaciones Diferenciales: Tarea-5-Ecuaciones-diferenciales.pdf

pdf

He publicado nuevos apuntes de 4º Ecuaciones Diferenciales: Examen-Tercer-Parcial-Equipo-1.pdf

3 páginas

He publicado nuevos apuntes de 4º Ecuaciones Diferenciales: F.3-FORMULARIO-EXTENDIDO-DE-INTEGRALES.pdf

30 páginas

He publicado nuevos apuntes de 4º Ecuaciones Diferenciales: Examen-Segundo-Parcial-Equipo-1.pdf

3 páginas

He publicado nuevos apuntes de 4º Ecuaciones Diferenciales: Examen-Tercer-Parcial-Equipo-12.0.pdf

3 páginas

He publicado nuevos apuntes de 4º Ecuaciones Diferenciales: Examen-primer-Parcial-Equipo-1.pdf

3 páginas

He publicado nuevos apuntes de 4º Ecuaciones Diferenciales: Examen-Cuarto-Parcial-Equipo-1.pdf

2 páginas

He publicado nuevos apuntes de 4º Ecuaciones Diferenciales: Evaluacion-docente.pdf

1 página

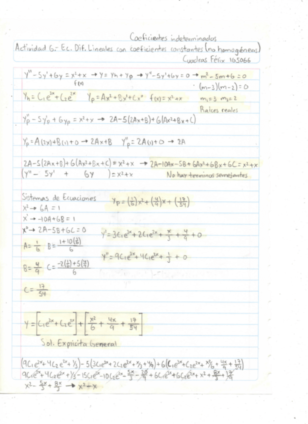
He publicado nuevos apuntes de 4º Ecuaciones Diferenciales: actividad-7-ecuaciones-diferenciales.pdf

pdf

He publicado nuevos apuntes de 4º Ecuaciones Diferenciales: actividad-4-Javier-Barreras.pdf

1 página

He publicado nuevos apuntes de 4º Ecuaciones Diferenciales: actividad-3-Javier-Barreras.pdf

1 página

He publicado nuevos apuntes de 4º Ecuaciones Diferenciales: Actividad-2-Javier-Barreras.pdf

2 páginas

He publicado nuevos apuntes de 4º Ecuaciones Diferenciales: Actividad-1-Javier-Barreras.pdf

2 páginas
Anónimo

@Anónimo

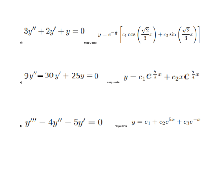
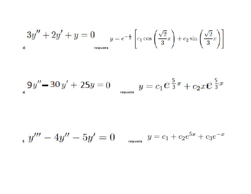
He publicado nuevos apuntes de 4º Ecuaciones Diferenciales: Ecuac.-Diferen.-Lineales-con-Coeficientes-Constantes-homogeneas-02.pdf

2 páginas
Anónimo

@Anónimo

He publicado nuevos apuntes de 4º Ecuaciones Diferenciales: Ecuac.-Diferen.-Lineales-con-Coeficientes-Constantes-homogeneas-01.pdf

1 página
Anónimo

@Anónimo

He publicado nuevos apuntes de 4º Ecuaciones Diferenciales: Ecuac.-Diferen.-Lineales-de-1er-Orden-con-Factor-de-Integracion.pdf

1 página
Anónimo

@Anónimo

He publicado nuevos apuntes de 4º Ecuaciones Diferenciales: Ecuac.-Diferen.-por-Metodo-de-Exactas-no-exactas.pdf

1 página
Anónimo

@Anónimo

He publicado nuevos apuntes de 4º Ecuaciones Diferenciales: Ecuac.-Diferen.-por-Metodo-de-Exactas.pdf

1 página
Anónimo

@Anónimo

He publicado nuevos apuntes de 4º Ecuaciones Diferenciales: Ecuac.-Diferen.-Lineales-con-Coeficientes-Constantes-no-homogeneas-por-Transf.-de-Laplace.pdf

1 página
Anónimo

@Anónimo

He publicado nuevos apuntes de 4º Ecuaciones Diferenciales: Descomposicion-en-Fracciones-Parciales.pdf

2 páginas
Anónimo

@Anónimo

He publicado nuevos apuntes de 4º Ecuaciones Diferenciales: Ecuac.-Diferen.-Lineales-con-Coeficientes-Constantes-e-Indeterminadas-no-homogeneas-02.pdf

1 página
Anónimo

@Anónimo

He publicado nuevos apuntes de 4º Ecuaciones Diferenciales: Ecuac.-Diferen.-Lineales-con-Coeficientes-Constantes-e-Indeterminadas-no-homogeneas-01.pdf

1 página
Anónimo

@Anónimo

He publicado nuevos apuntes de 4º Ecuaciones Diferenciales: Ecuac.-Diferen.-Lineales-con-Coeficientes-Constantes-e-Indeterminados-no-homogenea-02.pdf

Miniatura no disponible
pdf
Anónimo

@Anónimo

He publicado nuevos apuntes de 4º Ecuaciones Diferenciales: Ecuac.-Diferen.-Lineales-con-Coeficientes-Constantes-no-homogenea-por-Transf.-de-Laplace.pdf

Miniatura no disponible
pdf
Anónimo

@Anónimo

He publicado nuevos apuntes de 4º Ecuaciones Diferenciales: Descomposicion-en-Fracciones-Parciales.pdf

Miniatura no disponible
pdf
Anónimo

@Anónimo

He publicado nuevos apuntes de 4º Ecuaciones Diferenciales: Ecuac.-Diferen.-Lineales-con-Coeficientes-Constantes-homogenea-02.pdf

Miniatura no disponible
pdf
Anónimo

@Anónimo

He publicado nuevos apuntes de 4º Ecuaciones Diferenciales: Ecuac.-Diferen.-Lineales-con-Coeficientes-Constantes-homogenea-01.pdf

Miniatura no disponible
pdf
Anónimo

@Anónimo

He publicado nuevos apuntes de 4º Ecuaciones Diferenciales: Ecuac.-Diferen.-Lineales-con-Coeficientes-Constantes-e-Indeterminados-no-homogenea-01.pdf

Miniatura no disponible
pdf
Anónimo

@Anónimo

He publicado nuevos apuntes de 4º Ecuaciones Diferenciales: Ecuac.-Diferen.-por-el-Metodo-de-Exactas-02.pdf

Miniatura no disponible
pdf
Anónimo

@Anónimo

He publicado nuevos apuntes de 4º Ecuaciones Diferenciales: Ecuac.-Diferen.-Lineales-de-1er-Orden-con-Factor-de-Integracion.pdf

Miniatura no disponible
pdf
Anónimo

@Anónimo

He publicado nuevos apuntes de 4º Ecuaciones Diferenciales: Ecuac.-Diferen.-por-el-Metodo-de-Exactas-01.pdf

Miniatura no disponible
pdf
Anónimo

@Anónimo

He publicado nuevos apuntes de 4º Ecuaciones Diferenciales: Ecuac.-Diferen.-Lineales-con-Coeficientes-Constantes-y-Homogeneas.pdf

7 páginas
Anónimo

@Anónimo

He publicado nuevos apuntes de 4º Ecuaciones Diferenciales: Ecuac.-Diferen.-Exactas-y-No-Exactas-Factor-de-Integracion.pdf

8 páginas
Anónimo

@Anónimo

He publicado nuevos apuntes de 4º Ecuaciones Diferenciales: Ecuac.-Diferen.-Lineales-Constantes-y-No-Homogeneas-Transf.-de-Laplace.pdf

4 páginas
Anónimo

@Anónimo

He publicado nuevos apuntes de 4º Ecuaciones Diferenciales: Ecuac.-Diferen.-por-Separacion-de-Variables.pdf

4 páginas

He publicado nuevos ejercicios de 4º Ecuaciones Diferenciales: Problemario-1.2.pdf

1 página

He publicado nuevos ejercicios de 4º Ecuaciones Diferenciales: Problemario-1.pdf

1 página
Anónimo

@Anónimo

He publicado nuevos apuntes de 4º Ecuaciones Diferenciales: exactas.pdf

1 página
Anónimo

@Anónimo

He publicado nuevos apuntes de 4º Ecuaciones Diferenciales: lienales.pdf

1 página
Anónimo

@Anónimo

He publicado nuevos apuntes de 4º Ecuaciones Diferenciales: ecuaciones-no-homogeneas.pdf

1 página
¡Estás al día!

¡Estás al día!

Has visto todos los archivos