chevron_left
chevron_right
Todo
Apuntes
Ejercicios
chevron_left
chevron_right

apuntes

-

Ecuaciones diferenciales

He publicado nuevos apuntes de 2º Ecuaciones Diferenciales: Ecuaciones diferenciales

ed.pdf
separables.pdf
ejercicio1.pdf
lineales.pdf

He publicado nuevos apuntes de 2º Ecuaciones Diferenciales: Derivadas.pdf

16 páginas

He publicado nuevos apuntes de 2º Ecuaciones Diferenciales: Derivada-de-una-funcion.pdf

32 páginas

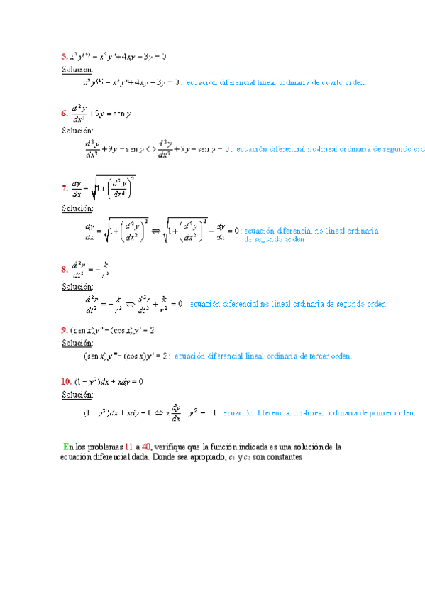
He publicado nuevos ejercicios de 2º Ecuaciones Diferenciales: Ecuaciones-Diferenciales-Solucionario-de-Dennis-G.pdf

86 páginas
¡Estás al día!

¡Estás al día!

Has visto todos los archivos