Ecuaciones Diferenciales
Todo
Apuntes
Ejercicios
chevron_left
chevron_right
He publicado nuevos ejercicios de 3º Ecuaciones Diferenciales: Ejercicios-ecuaciones-dif.pdf
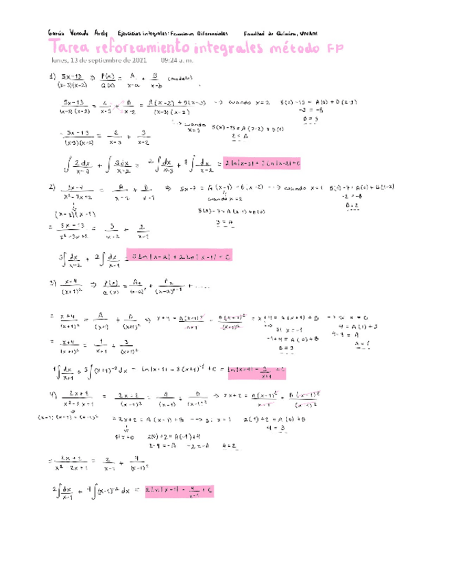
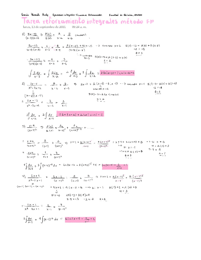
He publicado nuevos ejercicios de 3º Ecuaciones Diferenciales: Ejercicios-integrales-metodo-fracciones-parciales.pdf
He publicado nuevos apuntes de 3º Ecuaciones Diferenciales: Ejercicios-integrales-metodo-cambio-de-variable-y-por-partes.pdf
He publicado nuevos ejercicios de 3º Ecuaciones Diferenciales: Ejercicios-ecuaciones-homogeneas.pdf
¡Estás al día!
Has visto todos los archivos