Ecuaciones Diferenciales

chevron_left
chevron_right
Todo
Apuntes
Ejercicios
Exámenes
chevron_left
chevron_right
Anónimo

@Anónimo

He publicado nuevos examenes de 2º Ecuaciones Diferenciales: Examen-2025-enero25ae6170db85d876db4f804068ccc1e7.pdf

3 páginas

He publicado nuevos apuntes de 2º Ecuaciones Diferenciales: Ecuaciones-Diferenciales-completo.pdf

12 páginas

ejercicios

-

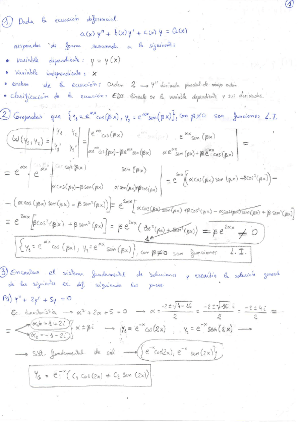
EJERCICIOS RESUELTOS

He publicado nuevos ejercicios de 2º Ecuaciones Diferenciales: EJERCICIOS RESUELTOS

TEMA-2-EDO-lineal-orden-n.pdf
EDO-lineal-orden-n-2.pdf
Tarea-Matematicas-EDO-orden-1.pdf
Matematicas-variables-separables.pdf
test1parcial.pdf
EDO-lineal-orden-n.pdf
¡Estás al día!

¡Estás al día!

Has visto todos los archivos