chevron_left
chevron_right
Todo
Apuntes
Ejercicios
Trabajos
chevron_left
chevron_right

He publicado nuevos apuntes de 2º Ecuaciones Diferenciales: Apuntes-clase.pdf

78 páginas

He publicado nuevos trabajos de 2º Ecuaciones Diferenciales: VIBRACION-AMORTIGUADA.pdf

4 páginas

He publicado nuevos apuntes de 2º Ecuaciones Diferenciales: Laplace.pdf

3 páginas

He publicado nuevos apuntes de 2º Ecuaciones Diferenciales: Ecuaciones-diferenciales-De-Orden-Superior.pdf

8 páginas

He publicado nuevos apuntes de 2º Ecuaciones Diferenciales: Ecuaciones-diferenciales-De-Primer-Orden.pdf

9 páginas

ejercicios

-

Problemas

He publicado nuevos ejercicios de 2º Ecuaciones Diferenciales: Problemas

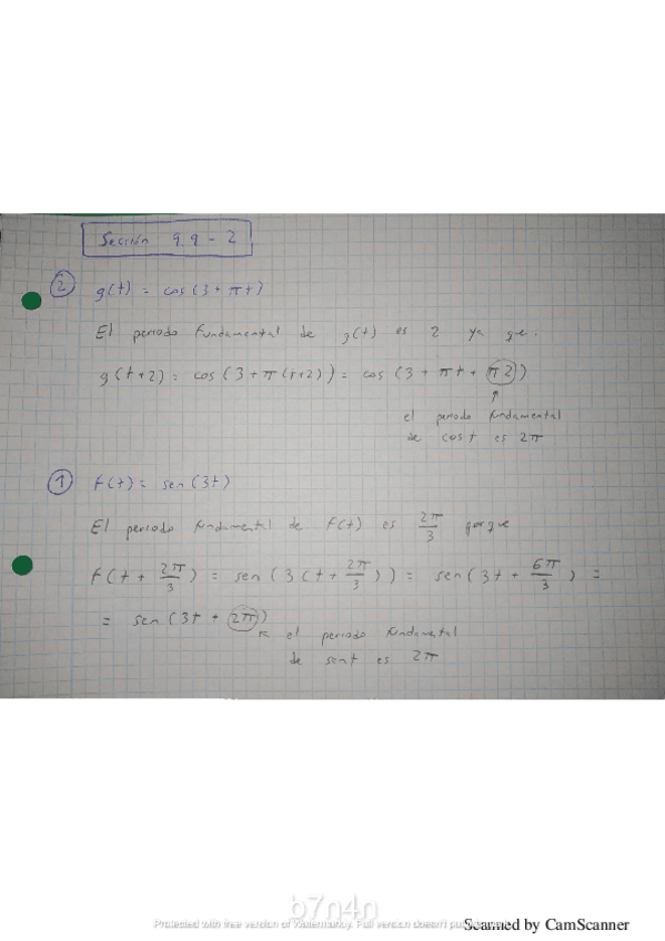
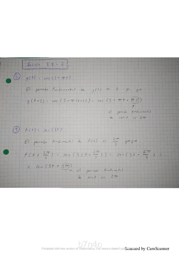
ejercicio-19.pdf
ejercicio-15.pdf
ejercicio-12.pdf
ejercicio-18.pdf
ejercicio-11.pdf
ejercicio-17.pdf
¡Estás al día!

¡Estás al día!

Has visto todos los archivos