chevron_left
chevron_right
Todo
Apuntes
chevron_left
chevron_right

apuntes

-

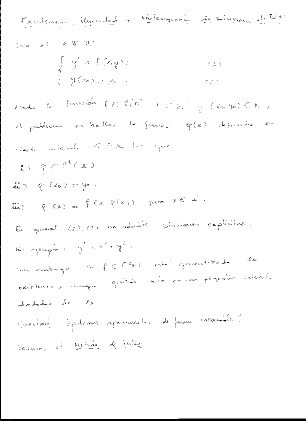
Apuntes completos EDO

He publicado nuevos apuntes de 2º Ecuaciones Diferenciales: Apuntes completos EDO

Apuntes-Ecuaciones-Diferenciales-Tema-1-parte-2.pdf
Apuntes-Ecuaciones-Diferenciales-Tema-1-parte-3.pdf
Apuntes-Ecuaciones-Diferenciales-Tema-2-parte-3.pdf
Apuntes-Ecuaciones-Diferenciales-Tema-2-parte-4.pdf
Apuntes-Ecuaciones-Diferenciales-Tema-2-parte-1.pdf
Apuntes-Ecuaciones-Diferenciales-Tema-2-parte-2.pdf

apuntes

-

SMIRNOV - APUNTES CLASE 21-22

He publicado nuevos apuntes de 2º Ecuaciones Diferenciales: SMIRNOV - APUNTES CLASE 21-22

EDIF-SMIRNOV-APUNTES-EN-CLASE-21-22-TEMAS-3-4.pdf
EDIF-SMIRNOV-APUNTES-EN-CLASE-21-22-TEMAS-1-2.pdf

He publicado nuevos apuntes de 2º Ecuaciones Diferenciales: EEDO-RESUMEN-TEORIA-.pdf

24 páginas
¡Estás al día!

¡Estás al día!

Has visto todos los archivos