chevron_left
chevron_right
Todo
Apuntes
Ejercicios
chevron_left
chevron_right

He publicado nuevos apuntes de 2º Ecuaciones Diferenciales: Esquema-de-Aplicaciones.pdf

34 páginas

apuntes

-

Apuntes varios a mano

He publicado nuevos apuntes de 2º Ecuaciones Diferenciales: Apuntes varios a mano

Apuntes-Tema-4.pdf
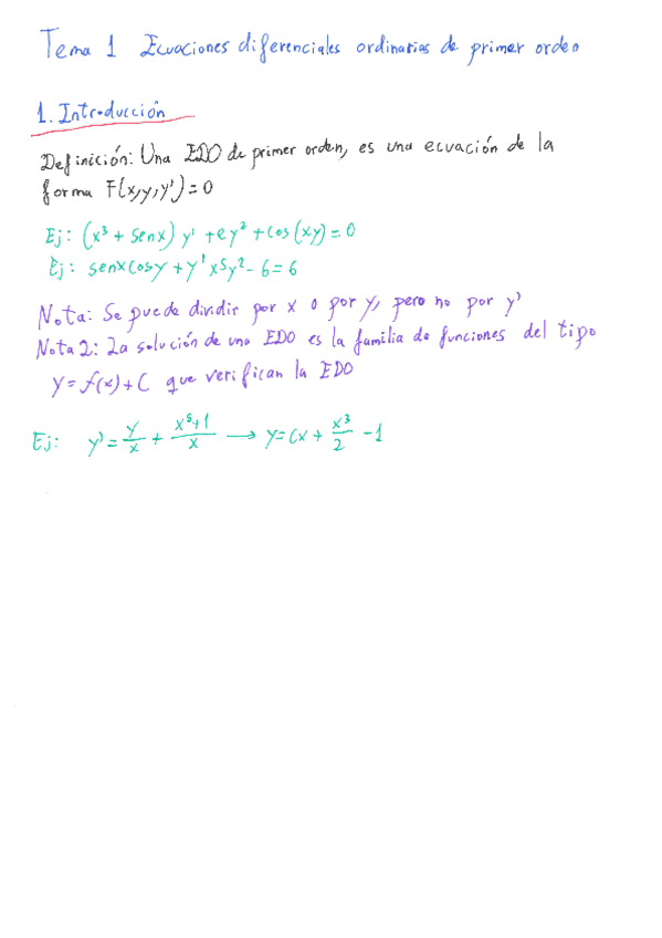
Apuntes-Tema-1.pdf
Esquema-Tema-1.pdf
Apuntes-Tema-2.pdf
Anónimo

@Anónimo

HOJAS A de 2017 resueltas al completo (desconozco el autor, me lo han pasado)

82 páginas
Anónimo

@Anónimo

apuntes

-

mini-Esquemas sueltos EDO

He publicado nuevos apuntes de 2º Ecuaciones Diferenciales: mini-Esquemas sueltos EDO

Sistemas-Masa-Resorte.pdf
Problema-De-Contorno-EDPS.pdf
Heaviide.pdf
SGH-Y-SPC.pdf
Problemas-De-Autovalores.pdf
Aplace-3.pdf

apuntes

-

Apuntes EDOS segundo,

He publicado nuevos apuntes de 2º Ecuaciones Diferenciales: Apuntes EDOS segundo,

Esquema-Tema-1.pdf
Apuntes-Tema-1.pdf

ejercicios

-

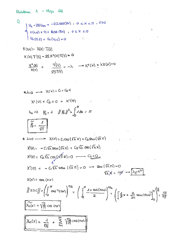
Tema 6 - Ec. derivadas parc. Hojas A y B

He publicado nuevos ejercicios de 2º Ecuaciones Diferenciales: Tema 6 - Ec. derivadas parc. Hojas A y B

Hoja-6B.pdf
Hoja-6A.pdf

ejercicios

-

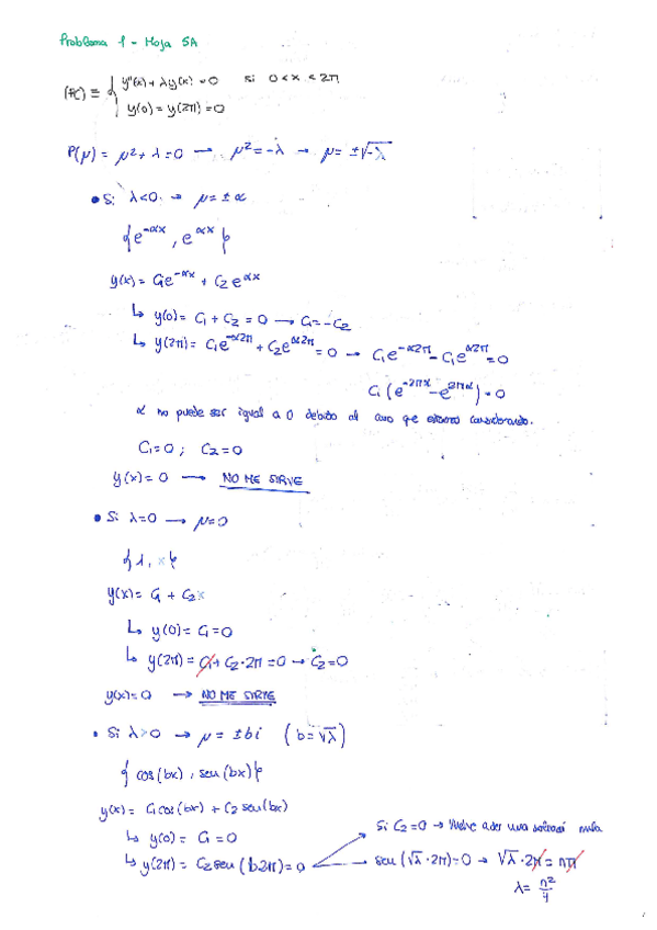
Tema 5 - Autovalor, Fourier Hojas A y B

He publicado nuevos ejercicios de 2º Ecuaciones Diferenciales: Tema 5 - Autovalor, Fourier Hojas A y B

Hoja-5A.pdf
Hoja-5B.pdf

ejercicios

-

Tema 4 - Sist. de ec. lineal Hojas A y B

He publicado nuevos ejercicios de 2º Ecuaciones Diferenciales: Tema 4 - Sist. de ec. lineal Hojas A y B

Hoja-4A.pdf
Hoja-4B.pdf

ejercicios

-

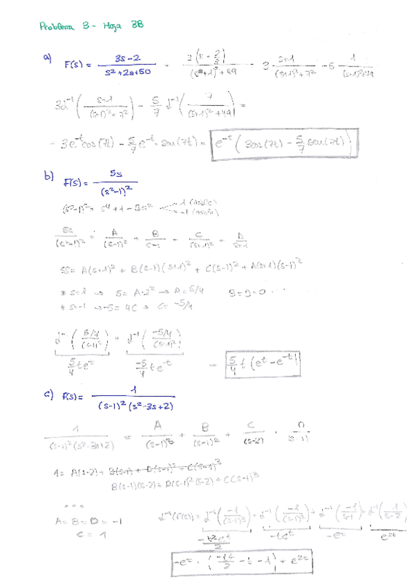
Tema 3 - Trans. de Laplace Hojas A y B

He publicado nuevos ejercicios de 2º Ecuaciones Diferenciales: Tema 3 - Trans. de Laplace Hojas A y B

Hoja-3B.pdf
Transparencias-y-Hoja-3A.pdf

ejercicios

-

Tema 2 - Ec. dif. lineales Hojas A y B

He publicado nuevos ejercicios de 2º Ecuaciones Diferenciales: Tema 2 - Ec. dif. lineales Hojas A y B

Hoja-2B.pdf
Transparecias-y-Hoja-2A.pdf

ejercicios

-

Tema 1 - Ec. Dif. Ordinarias Hojas A y B

He publicado nuevos ejercicios de 2º Ecuaciones Diferenciales: Tema 1 - Ec. Dif. Ordinarias Hojas A y B

Hoja-1B.pdf
Transparecias-y-Hoja-1A.pdf
¡Estás al día!

¡Estás al día!

Has visto todos los archivos