Ecuaciones Diferenciales
He publicado nuevos apuntes de 2º Ecuaciones Diferenciales: Esquema-de-Aplicaciones.pdf
apuntes
-
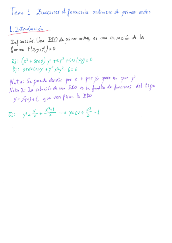
Apuntes varios a mano
He publicado nuevos apuntes de 2º Ecuaciones Diferenciales: Apuntes varios a mano
HOJAS A de 2017 resueltas al completo (desconozco el autor, me lo han pasado)
apuntes
-
mini-Esquemas sueltos EDO
He publicado nuevos apuntes de 2º Ecuaciones Diferenciales: mini-Esquemas sueltos EDO
apuntes
-
Apuntes EDOS segundo,
He publicado nuevos apuntes de 2º Ecuaciones Diferenciales: Apuntes EDOS segundo,
ejercicios
-
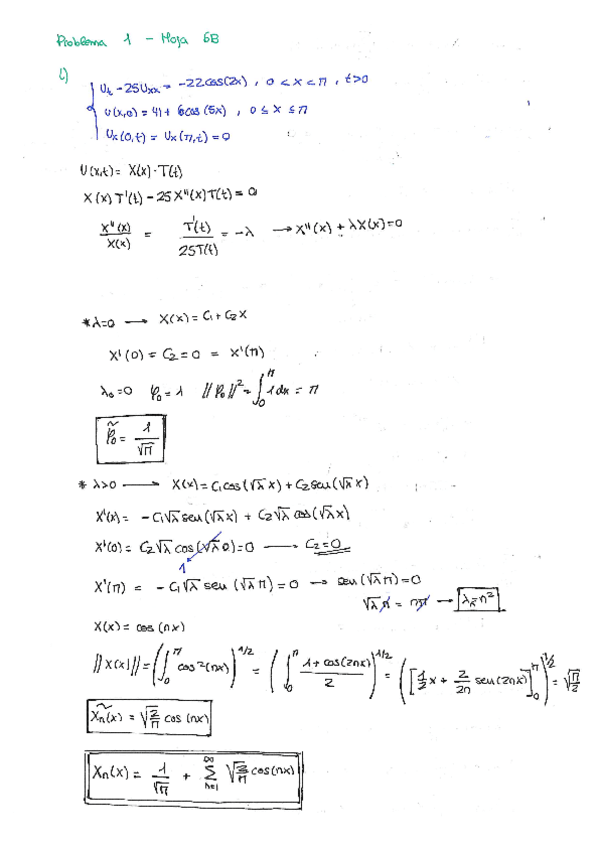
Tema 6 - Ec. derivadas parc. Hojas A y B
He publicado nuevos ejercicios de 2º Ecuaciones Diferenciales: Tema 6 - Ec. derivadas parc. Hojas A y B
ejercicios
-
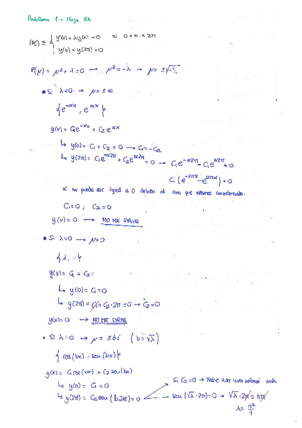
Tema 5 - Autovalor, Fourier Hojas A y B
He publicado nuevos ejercicios de 2º Ecuaciones Diferenciales: Tema 5 - Autovalor, Fourier Hojas A y B
ejercicios
-
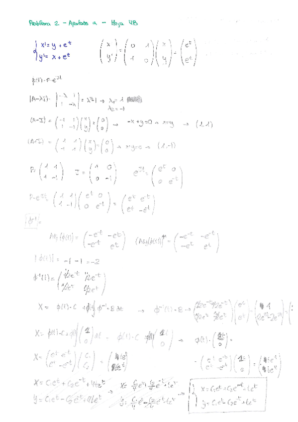
Tema 4 - Sist. de ec. lineal Hojas A y B
He publicado nuevos ejercicios de 2º Ecuaciones Diferenciales: Tema 4 - Sist. de ec. lineal Hojas A y B
ejercicios
-
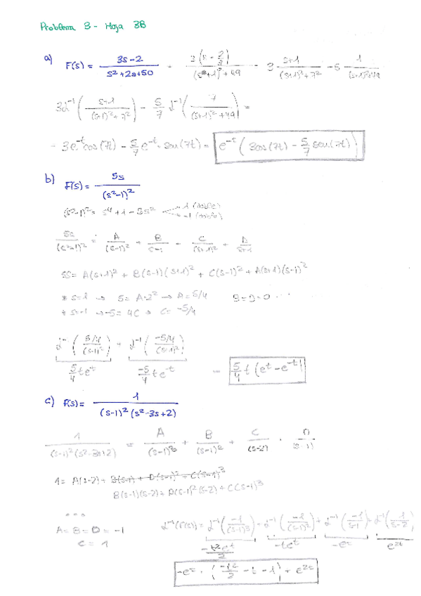
Tema 3 - Trans. de Laplace Hojas A y B
He publicado nuevos ejercicios de 2º Ecuaciones Diferenciales: Tema 3 - Trans. de Laplace Hojas A y B
ejercicios
-
Tema 2 - Ec. dif. lineales Hojas A y B
He publicado nuevos ejercicios de 2º Ecuaciones Diferenciales: Tema 2 - Ec. dif. lineales Hojas A y B
ejercicios
-
Tema 1 - Ec. Dif. Ordinarias Hojas A y B
He publicado nuevos ejercicios de 2º Ecuaciones Diferenciales: Tema 1 - Ec. Dif. Ordinarias Hojas A y B
¡Estás al día!
Has visto todos los archivos