Todo
Apuntes
Ejercicios
Exámenes
chevron_left
chevron_right

Cap 1_La ecuacion de primer orden

13 páginas

Cap 1 Ejercicios La ecuacion de primer orden

11 páginas

Examen Junio 1ª semana 2025

8 páginas

He publicado nuevos apuntes de 1º Ecuaciones Diferenciales

https://youtu.be/_LWoIUN964Y?si=Rnr56e7PmpLlbI_Y

He publicado nuevos apuntes de 1º Ecuaciones Diferenciales: Apuntes-tema-1.pdf

2 páginas

examenes

-

exámenes 2016-2022

He publicado nuevos examenes de 1º Ecuaciones Diferenciales: exámenes 2016-2022

Miniatura no disponible
examen-1a-semana-2016-2017.pdf
Miniatura no disponible
examen-1a-semana-2016-2017.pdf
Miniatura no disponible
examen-2a-semana-2016-2017.pdf
Miniatura no disponible
examen-2a-semana-2016-2017.pdf
Miniatura no disponible
examen-1a-semana-2017-2018.pdf
Miniatura no disponible
examen-1a-semana-2017-2018.pdf

He publicado nuevos examenes de 1º Ecuaciones Diferenciales: ECUACIONES-DIFERENCIALESjun2021examenresuelto.pdf

5 páginas

apuntes

-

ECUACIONES DIFERENCIALES UNED APUNTES

He publicado nuevos apuntes de 1º Ecuaciones Diferenciales: ECUACIONES DIFERENCIALES UNED APUNTES

INICIACION-ED.pdf
INICIACION-ED.pdf
APUNTES-ED.pdf
APUNTES-ED.pdf

apuntes

-

APUNTES EXTRA EC DIFERENCIALES

He publicado nuevos apuntes de 1º Ecuaciones Diferenciales: APUNTES EXTRA EC DIFERENCIALES

T5-y-T6-TRANSF-LAPLACE-Y-SERIES.pdf
T5-y-T6-TRANSF-LAPLACE-Y-SERIES.pdf
T9-Intro-derivadas-parciales.pdf
T9-Intro-derivadas-parciales.pdf

apuntes

-

APUNTES DE EC DIFERENCIALES POR TEMAS

He publicado nuevos apuntes de 1º Ecuaciones Diferenciales: APUNTES DE EC DIFERENCIALES POR TEMAS

T1-EC-DE-1o-ORDEN.pdf
T1-EC-DE-1o-ORDEN.pdf
T2-ITEGRAL-DE-LA-EC-DIF-DE-1ER-ORDENLA-EC-LINEAL.pdf
T2-ITEGRAL-DE-LA-EC-DIF-DE-1ER-ORDENLA-EC-LINEAL.pdf

examenes

-

EXÁMENES RESUELTOS

He publicado nuevos examenes de 1º Ecuaciones Diferenciales: EXÁMENES RESUELTOS

ED20182019.pdf
ED20182019.pdf
ED2015-2016.pdf
ED2015-2016.pdf
ED2012-13.pdf
ED2012-13.pdf

examenes

-

Examenes Resueltos (ejercicios) años anteriores

He publicado nuevos examenes de 1º Ecuaciones Diferenciales: Examenes Resueltos (ejercicios) años anteriores

1ª Convocatoria 2016.pdf
1ª Convocatoria 2016.pdf
1ª Convocatoria 2013.pdf
1ª Convocatoria 2013.pdf
2º Convocatoria 2017.pdf
2º Convocatoria 2017.pdf

apuntes

-

Examenes Resueltos (ejercicios) años anteriores

He publicado nuevos apuntes de 1º Ecuaciones Diferenciales: Examenes Resueltos (ejercicios) años anteriores

1ª Convocatoria 2016.pdf
1ª Convocatoria 2016.pdf
1ª Convocatoria 2013.pdf
1ª Convocatoria 2013.pdf
2º Convocatoria 2017.pdf
2º Convocatoria 2017.pdf

He publicado nuevos apuntes de 1º Ecuaciones Diferenciales: Ecuaciones Diferenciales - Carmona - 5ta.pdf

538 páginas

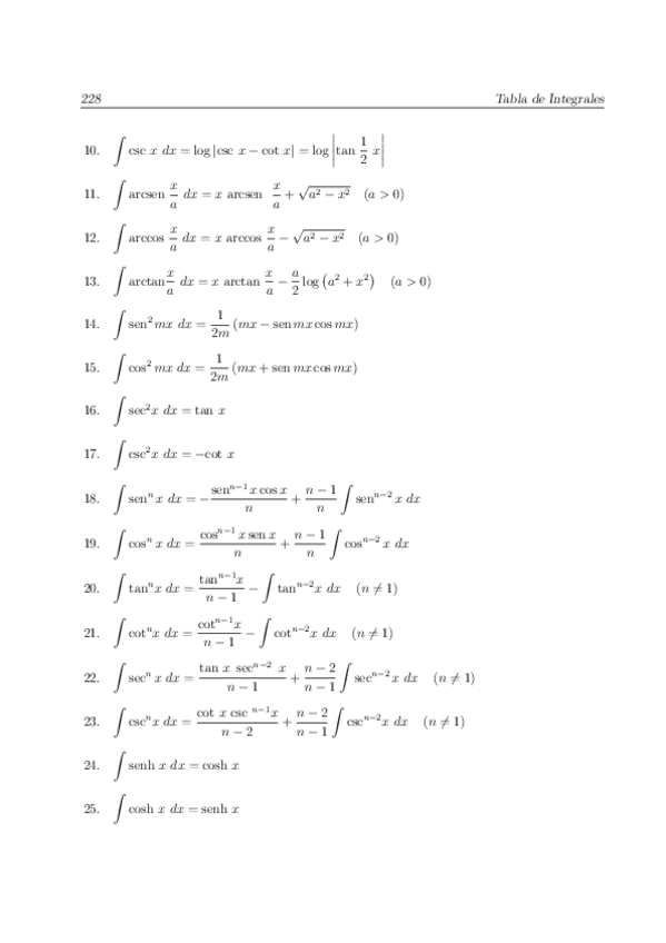
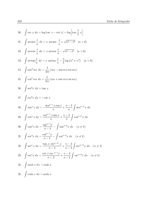
He publicado nuevos apuntes de 1º Ecuaciones Diferenciales: tablaintegrales.pdf

6 páginas

He publicado nuevos apuntes de 1º Ecuaciones Diferenciales: ecuaciones-diferenciales-y-problemas-con-valores-en-la-frontera-130913154103-phpapp02.pdf

827 páginas