El Proceso de Enseñanza y Aprendizaje

chevron_left
chevron_right
Todo
Apuntes
chevron_left
chevron_right

He publicado nuevos apuntes de 1º El Proceso de Enseñanza y Aprendizaje: Apuntes-ensenyament-i-aprenentatge.pdf

12 páginas

He publicado nuevos apuntes de 1º El Proceso de Enseñanza y Aprendizaje: BLOC-2-LELABORACIO-DE-PLANS-PROGRAMES-I-PROJECTES.pdf

36 páginas

He publicado nuevos apuntes de 1º El Proceso de Enseñanza y Aprendizaje: BLOC-1-VISIO-DE-LAPRENENTATGE.pdf

16 páginas
Anónimo

@Anónimo

Part 2 de l'assignatura de Procés d'Ensenyament i Aprenentatge.

33 páginas
Anónimo

@Anónimo

Part 1 de l'ansignatura del Procés d'Ensenyament i Aprenentatge.

10 páginas

He publicado nuevos apuntes de 1º El Proceso de Enseñanza y Aprendizaje: Proces-daprenentatge-2.pdf

13 páginas

He publicado nuevos apuntes de 1º El Proceso de Enseñanza y Aprendizaje: El-proces-densenyament-aprenentatge.pdf

9 páginas

He publicado nuevos apuntes de 1º El Proceso de Enseñanza y Aprendizaje: Tema-2-el-proces-densenyament-aprenentatge.pdf

28 páginas

He publicado nuevos apuntes de 1º El Proceso de Enseñanza y Aprendizaje: Bloc-1-processos-daprenentatge.pdf

19 páginas

He publicado nuevos apuntes de 1º El Proceso de Enseñanza y Aprendizaje: EXAMEN-FINAL-DE-PROCESSOS.odt

word

He publicado nuevos apuntes de 1º El Proceso de Enseñanza y Aprendizaje: APUNTES-PEA-BLOQUE-2.pdf

20 páginas

He publicado nuevos apuntes de 1º El Proceso de Enseñanza y Aprendizaje: APUNTES-PEA-BLOQUE-1.pdf

13 páginas
Anónimo

@Anónimo

He publicado nuevos apuntes de 1º El Proceso de Enseñanza y Aprendizaje: Bloc-2-PEA.pdf

10 páginas

He publicado nuevos apuntes de 1º El Proceso de Enseñanza y Aprendizaje: PARADIGMES-DINVESTIGACIO.png

Imagen

He publicado nuevos apuntes de 1º El Proceso de Enseñanza y Aprendizaje: EVOLUCIO-HISTORICA-DE-LA-DIDACTICA.png

Imagen

He publicado nuevos apuntes de 1º El Proceso de Enseñanza y Aprendizaje: BLOC-2-I-3.pdf

17 páginas

He publicado nuevos apuntes de 1º El Proceso de Enseñanza y Aprendizaje: BLOC-1.pdf

20 páginas

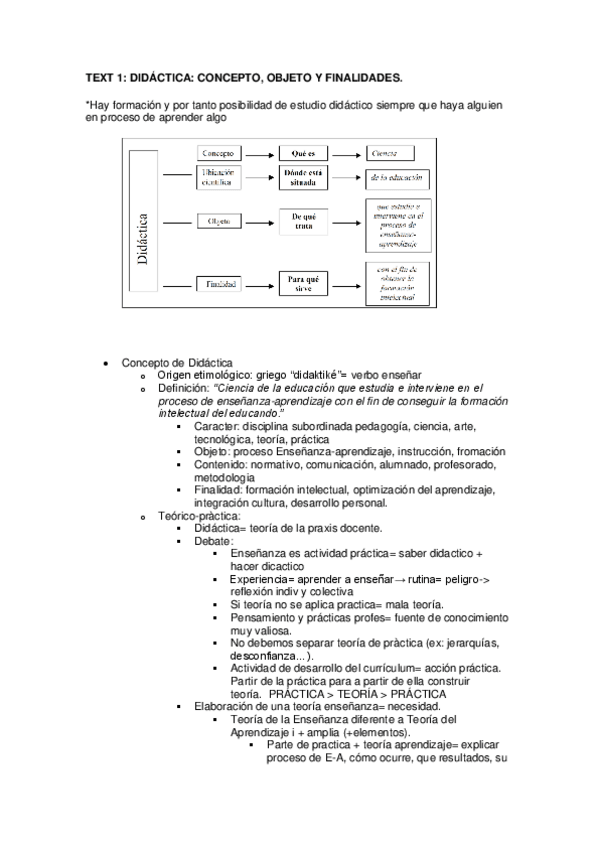
He publicado nuevos apuntes de 1º El Proceso de Enseñanza y Aprendizaje: PEA_ Bloc 1: Didàctica (esquema-unitat).pdf

1 página

He publicado nuevos apuntes de 1º El Proceso de Enseñanza y Aprendizaje: PEA_Bloc 2: T1-T4.pdf

12 páginas

He publicado nuevos apuntes de 1º El Proceso de Enseñanza y Aprendizaje: PEA.pdf

23 páginas

apuntes

-

PEA bloc 2 i 3

He publicado nuevos apuntes de 1º El Proceso de Enseñanza y Aprendizaje: PEA bloc 2 i 3

preguntes-PEA.pdf
PEA-SEMINARI-4.pdf
Seminari-29.pdf
Esquemas.pdf
sota-el-mateix-sostre-web-doble.pdf

apuntes

-

tema 2 i 3

He publicado nuevos apuntes de 1º El Proceso de Enseñanza y Aprendizaje: tema 2 i 3

Unitat-3.pdf
Unitat-2.pdf

apuntes

-

Bloc 1 PEA

He publicado nuevos apuntes de 1º El Proceso de Enseñanza y Aprendizaje: Bloc 1 PEA

Seminari-01.pdf
1-Didactica.pdf
Apunts-compartits.pdf
Resum-examen.pdf
Preguntes-examen.pdf
Paradigma-del-sistema-educativo.pdf

He publicado nuevos apuntes de 1º El Proceso de Enseñanza y Aprendizaje: pea-examen-final-apunts.pdf

18 páginas

He publicado nuevos apuntes de 1º El Proceso de Enseñanza y Aprendizaje: resum-pea-examen-final.pdf

3 páginas

He publicado nuevos apuntes de 1º El Proceso de Enseñanza y Aprendizaje: PEA-SEMINARIS-Bloc-1.pdf

4 páginas

He publicado nuevos apuntes de 1º El Proceso de Enseñanza y Aprendizaje: PEA-bloc-1.pdf

29 páginas
Anónimo

@Anónimo

He publicado nuevos apuntes de 1º El Proceso de Enseñanza y Aprendizaje: Proces-dEnsenyament-i-Aprenentatge-Tema-3-Apunts.docx

word
Anónimo

@Anónimo

He publicado nuevos apuntes de 1º El Proceso de Enseñanza y Aprendizaje: Proces-dEnsenyament-i-Aprenentatge-Tema-4-Apunts.docx

word
Anónimo

@Anónimo

He publicado nuevos apuntes de 1º El Proceso de Enseñanza y Aprendizaje: Proces-dEnsenyament-i-Aprenentatge-Tema-2-Apunts.docx

word
Anónimo

@Anónimo

He publicado nuevos apuntes de 1º El Proceso de Enseñanza y Aprendizaje: EVOLUCIO-HISTORICA-DE-LA-DIDACTICA.docx

word

He publicado nuevos apuntes de 1º El Proceso de Enseñanza y Aprendizaje: apunts-pea-2-finals-finals-finals.pdf

32 páginas

He publicado nuevos apuntes de 1º El Proceso de Enseñanza y Aprendizaje: apunts.pdf

12 páginas

He publicado nuevos apuntes de 1º El Proceso de Enseñanza y Aprendizaje: PEABLOC2.pdf

32 páginas

apuntes

-

PEA

He publicado nuevos apuntes de 1º El Proceso de Enseñanza y Aprendizaje: PEA

PEABLOC2.pdf
Anónimo

@Anónimo

apuntes

-

LA MOTIVACIÓ I L’EMOCIÓ

He publicado nuevos apuntes de 1º El Proceso de Enseñanza y Aprendizaje: LA MOTIVACIÓ I L’EMOCIÓ

L’ACTIVACIÓ DE LA CONDUCTA: LA MOTIVACIÓ I L’EMOCIÓ .pdf
¡Estás al día!

¡Estás al día!

Has visto todos los archivos