Elasticidad y Resistencia de Materiales I

chevron_left
chevron_right
Todo
Apuntes
Ejercicios
Exámenes
Prácticas
chevron_left
chevron_right

Resumen de teoría de los temas 1,2 y 3

7 páginas

He publicado nuevos apuntes de 2º Elasticidad y Resistencia de Materiales I: EJERCICIOS-ERM1-2024-25.pdf

27 páginas
Anónimo

@Anónimo

apuntes

-

Apuntes y formulario

He publicado nuevos apuntes de 2º Elasticidad y Resistencia de Materiales I: Apuntes y formulario

Apuntes-temas-1-al-5.pdf
Formulario.pdf

ejercicios

-

Ejercicios de todos los temas

He publicado nuevos ejercicios de 2º Elasticidad y Resistencia de Materiales I: Ejercicios de todos los temas

Ejercicios-tema-1.pdf
Ejercicios-tema-2.pdf
Ejercicios-tema-3.pdf
Ejercicios-tema-4.pdf
Ejercicios-tema-5.pdf
Ejercicios-tema-6.pdf

ejercicios

-

Prácticas clase de problema

He publicado nuevos ejercicios de 2º Elasticidad y Resistencia de Materiales I: Prácticas clase de problema

Practica-1-Tema-1.pdf
Practica-2-Tema-2.pdf
Practica-3-Tema-2.pdf
Practica-4-Tema-3.pdf
Practica-5-Tema-4.pdf
Practica-6-Tema-4.pdf

He publicado nuevos ejercicios de 2º Elasticidad y Resistencia de Materiales I: Problemas-Tema-4-AA.pdf

17 páginas

He publicado nuevos ejercicios de 2º Elasticidad y Resistencia de Materiales I: Problemas-tema-2-AA.pdf

10 páginas

He publicado nuevos ejercicios de 2º Elasticidad y Resistencia de Materiales I: Problemas-Tema-1-AA.pdf

16 páginas
Anónimo

@Anónimo

Practica 5 Tema 4

Imagen
Anónimo

@Anónimo

Practica 5 Tema 4

Imagen

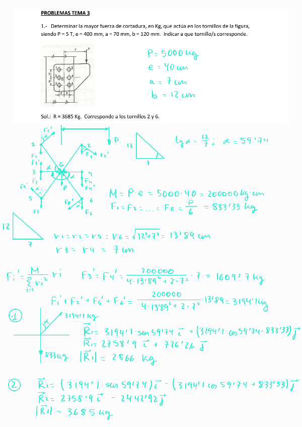
En el ejercicio 1, el tornillo 1 la componente "j" sería "3193'7sen(30'25)-833'3". No obstante, el resultado final es correcto.

12 páginas

He publicado nuevos ejercicios de 2º Elasticidad y Resistencia de Materiales I: Ejercicios-de-Porticos-AA.pdf

5 páginas

ejercicios

-

TODAS LAS PRACTICAS ERMI

He publicado nuevos ejercicios de 2º Elasticidad y Resistencia de Materiales I: TODAS LAS PRACTICAS ERMI

Practica-5-Tema-3-2324-AAA.pdf
Practica-6-Tema-4-2324-A.pdf
Practica-7-Tema-4-2324A.pdf
Practica-8-Tema-5-2324A.pdf
Practica-9-Tema-5-2324-AAA.pdf
Practica-4-AA.pdf

He publicado nuevos ejercicios de 2º Elasticidad y Resistencia de Materiales I: Ejercicio-vigas.pdf

2 páginas

He publicado nuevos ejercicios de 2º Elasticidad y Resistencia de Materiales I: Ejercicios-Teorema-viga-conjugada-AA.pdf

7 páginas

He publicado nuevos ejercicios de 2º Elasticidad y Resistencia de Materiales I: Ejercicios-Teorema-de-mohr-AA.pdf

10 páginas

apuntes

-

APUNTES ERM1 2023-24

He publicado nuevos apuntes de 2º Elasticidad y Resistencia de Materiales I: APUNTES ERM1 2023-24

Tema-1-Apuntes.pdf
Tema-4-Apuntes.pdf
Tema-6-Apuntes.pdf
Tema-5-Apuntes.pdf
Tema-3-Apuntes.pdf
Tema-2-Apuntes.pdf

ejercicios

-

Problemas ERM1

He publicado nuevos ejercicios de 2º Elasticidad y Resistencia de Materiales I: Problemas ERM1

Problemas-tema-4-ERM1.pdf
Problemas-tema-5-ERM1.pdf
Problemas-Tema-6-ERM1.pdf

He publicado nuevos examenes de 2º Elasticidad y Resistencia de Materiales I: Segundo-parcial-ERM1-resuelto.pdf

3 páginas

ejercicios

-

Prácticas

He publicado nuevos ejercicios de 2º Elasticidad y Resistencia de Materiales I: Prácticas

Practica-6-tema-4.pdf
Practica-7-tema-4.pdf
Practica-8-tema-5.pdf
Practica-9-Tema-5.pdf
Practica-10-Tema-6.pdf

He publicado nuevos apuntes de 2º Elasticidad y Resistencia de Materiales I: Resumen-Temas-4-6.pdf

pdf

He publicado nuevos examenes de 2º Elasticidad y Resistencia de Materiales I: Ejercicios-elasticidad-examenes.pdf

pdf

apuntes

-

APUNTES, EJEMPLOS Y PROBLEMAS ERMI

He publicado nuevos apuntes de 2º Elasticidad y Resistencia de Materiales I: APUNTES, EJEMPLOS Y PROBLEMAS ERMI

APUNTES-EJEMPLOS-Y-PROBLEMAS-TEMA-1.pdf
APUNTES-EJEMPLO-Y-PROBLEMAS-TEMA-2.pdf
APUNTES-Y-PROBLEMAS-TEMA-3.pdf
APUNTES-EJEMPLOS-Y-PROBLEMAS-TEMA-4.pdf
APUNTES-Y-PROBLEMAS-TEMA-5.pdf
APUNTES-Y-PROBLEMAS-TEMA-6.pdf

apuntes

-

CUESTIONES DE TEORÍA RESUELTAS

He publicado nuevos apuntes de 2º Elasticidad y Resistencia de Materiales I: CUESTIONES DE TEORÍA RESUELTAS

t4.pdf
t1.pdf
t2.pdf
t3.pdf
t7.pdf
t6.pdf

He publicado nuevos apuntes de 2º Elasticidad y Resistencia de Materiales I: Formulario-BLOQUE-1.pdf

2 páginas

He publicado nuevos apuntes de 2º Elasticidad y Resistencia de Materiales I: Tema-3-Relaciones-entre-tensiones-y-deformaciones.pdf

2 páginas

He publicado nuevos apuntes de 2º Elasticidad y Resistencia de Materiales I: Tema-2-Deformaciones.pdf

6 páginas

He publicado nuevos apuntes de 2º Elasticidad y Resistencia de Materiales I: Tema-1-Tensiones.pdf

21 páginas

He publicado nuevos ejercicios de 2º Elasticidad y Resistencia de Materiales I: rm.pdf

25 páginas

He publicado nuevos apuntes de 2º Elasticidad y Resistencia de Materiales I: Formulario-y-Repaso-ERM1-2020.pdf

7 páginas

apuntes

-

Elasticidad

He publicado nuevos apuntes de 2º Elasticidad y Resistencia de Materiales I: Elasticidad

tema-2.pdf
Elasticidadparte2-revisado.pdf
EjerciciosResueltos.pdf
Examenes-resueltos.pdf
Elasticidadparte1-revisado.pdf
elementos-finitos.pdf

apuntes

-

Estructuras

He publicado nuevos apuntes de 2º Elasticidad y Resistencia de Materiales I: Estructuras

Estructuras-Problemas-2.pdf
Estructuras-Problemas-4.pdf
Estructuras-Problemas-6.pdf
Estructuras-Problemas-3.pdf
Estructuras-Problemas-1.pdf
Estructuras-Problemas-5.pdf

apuntes

-

Resumen y Problemas Resistencia mat

He publicado nuevos apuntes de 2º Elasticidad y Resistencia de Materiales I: Resumen y Problemas Resistencia mat

teoria-completa.pdf
problemas-y-examenes-resueltos.pdf

apuntes

-

Libros ERMI

He publicado nuevos apuntes de 2º Elasticidad y Resistencia de Materiales I: Libros ERMI

problemas-resueltos-tema5.pdf
Enlaces-directos-ERMI.txt
jorgeeduardosalazartrujillo20072Parte1.pdf
Dialnet-ProblemasDeResistenciaDeMateriales-267957.pdf

apuntes

-

ERMI

TODO

1617.ET.T01.Clase.pdf
1617.ET.T02.pdf
1617.ET.T03.pdf
1617.ET.T04.pdf
1617.ET.T05.pdf
1617.ET.T06.pdf

He publicado nuevos apuntes de 2º Elasticidad y Resistencia de Materiales I: Escaneado 18 oct 2017 13.57.pdf

2 páginas

apuntes

-

Apuntes de Clase

Con ejercicios resueltos y ejemplos.

ERMI_1.pdf
ERMI_2.pdf

He publicado nuevos examenes de 2º Elasticidad y Resistencia de Materiales I: EXÁMEN ERMI ENERO 2017.pdf

2 páginas

He publicado nuevos examenes de 2º Elasticidad y Resistencia de Materiales I: FOTO EXAMEN ERMI 2016.pdf

3 páginas

He publicado nuevos ejercicios de 2º Elasticidad y Resistencia de Materiales I: EjerciciosbloqueIII.pdf

4 páginas

ejercicios

-

Ejercicios Bloque II Erm

He publicado nuevos ejercicios de 2º Elasticidad y Resistencia de Materiales I: Ejercicios Bloque II Erm

EjerciciosbloqueII.pdf
Pasosexamen.pdf

apuntes

-

Apuntes Bloque II Erm

He publicado nuevos apuntes de 2º Elasticidad y Resistencia de Materiales I: Apuntes Bloque II Erm

ApuntesbloqueII.pdf
Formularioresistencia.pdf

apuntes

-

Apuntes Bloquei Erm

He publicado nuevos apuntes de 2º Elasticidad y Resistencia de Materiales I: Apuntes Bloquei Erm

ApuntesbloqueI.pdf
Resumenelasticidad.pdf

He publicado nuevos ejercicios de 2º Elasticidad y Resistencia de Materiales I: EjerciciosbloqueI.pdf

19 páginas

He publicado nuevos apuntes de 2º Elasticidad y Resistencia de Materiales I: ApuntesbloqueIII.pdf

108 páginas

He publicado nuevos examenes de 2º Elasticidad y Resistencia de Materiales I: EX_MEN_FEBRERO_.pdf

3 páginas
¡Estás al día!

¡Estás al día!

Has visto todos los archivos