Elasticidad y Resistencia de Materiales I

Todo
Apuntes
Ejercicios
Exámenes
Otros
Prácticas
Test
Trabajos
chevron_left
chevron_right

He publicado nuevos apuntes de 2º Elasticidad y Resistencia de Materiales I: Seminarios-y-Test.pdf

23 páginas

Al previsualizar no aparece la mayoria del documento pero al descargar aparece todo correctamente.

5 páginas

Al previsualizar no aparece la mayoria del documento pero al descargar aparece todo correctamente.

8 páginas

He publicado nuevos examenes de 2º Elasticidad y Resistencia de Materiales I: EJERCICIOS-TIPO-EXAMEN.pdf

18 páginas

ejercicios

-

ejercicios erm1

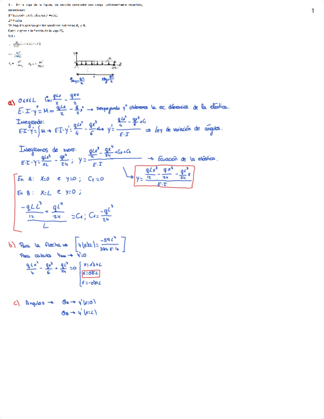
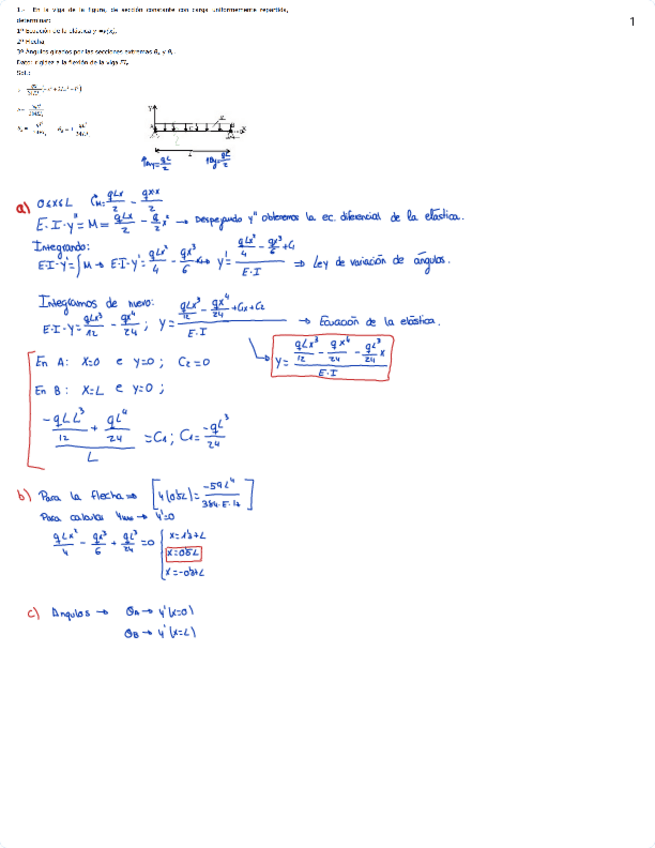
Ejercicios resueltos de la deformada, parecidos a los que pueden caer en el examen, de hecho el que está escrito en rojo es la corrección de la prueba de progreso de la deformada ; entre otros ejercicios de von mises y cerchas

ejercicios-deformada.pdf
reacciones-y-diagramas.pdf
dimensionado-de-cerchas.pdf
Von-mises.pdf

apuntes

-

Teoría erm1 (1)

Esta es la teoría de erm1, con lo más importante y destacable de los temas, algunos temas pueden ser algo largos pero son conceptos necesarios para entender ciertas cosas

Teoria-erm1-1.pdf

He publicado nuevos apuntes de 2º Elasticidad y Resistencia de Materiales I: PREGUNTAS-TEMA-4-ERMI.pdf

5 páginas

He publicado nuevos ejercicios de 2º Elasticidad y Resistencia de Materiales I: Problemas-Tema-4.pdf

15 páginas

He publicado nuevos ejercicios de 2º Elasticidad y Resistencia de Materiales I: Problemas-tema-2.pdf

8 páginas

He publicado nuevos ejercicios de 2º Elasticidad y Resistencia de Materiales I: Problemas-Tema-1.pdf

14 páginas

En el ejercicio 1, el tornillo 1 la componente "j" sería "3193'7sen(30'25)-833'3". No obstante, el resultado final es correcto.

14 páginas

He publicado nuevos ejercicios de 2º Elasticidad y Resistencia de Materiales I: Ejercicios-de-Porticos.pdf

3 páginas

ejercicios

-

TODAS LAS PRACTICA ERMI

He publicado nuevos ejercicios de 2º Elasticidad y Resistencia de Materiales I: TODAS LAS PRACTICA ERMI

Practica-5-Tema-3-2324-A.pdf
Practica-6-Tema-4-2324AAA.pdf
Practica-7-Tema-4-2324AAA.pdf
Practica-8-Tema-5-2324AAA.pdf
Practica-9-Tema-5-2324-A.pdf
Practica-4.pdf
Anónimo

@Anónimo

He publicado nuevos examenes de 2º Elasticidad y Resistencia de Materiales I: TIPO-TEST-ERM1.pdf

1 página

He publicado nuevos examenes de 2º Elasticidad y Resistencia de Materiales I: Examen-Completo-Ermi-JunSept-2024.pdf

13 páginas

He publicado nuevos ejercicios de 2º Elasticidad y Resistencia de Materiales I: Ejercicios-Teorema-de-mohr.pdf

8 páginas

He publicado nuevos ejercicios de 2º Elasticidad y Resistencia de Materiales I: Ejercicios-Teorema-viga-conjugada.pdf

5 páginas

apuntes

-

Todos problemas + practicas

He publicado nuevos apuntes de 2º Elasticidad y Resistencia de Materiales I: Todos problemas + practicas

tema-2.pdf
Tema-6.pdf
tema-5.pdf
tema-3.pdf
tema-1.pdf
tema-4.pdf

He publicado nuevos examenes de 2º Elasticidad y Resistencia de Materiales I: examen-ermi-febrero.pdf

5 páginas

He publicado nuevos apuntes de 2º Elasticidad y Resistencia de Materiales I: TEORIA-PREGUNTAS-DE-EXAMEN.pdf

3 páginas

apuntes

-

Prácticas

He publicado nuevos apuntes de 2º Elasticidad y Resistencia de Materiales I: Prácticas

Practica-6.pdf
Practica-7.pdf
Practica-8-2.pdf

He publicado nuevos ejercicios de 2º Elasticidad y Resistencia de Materiales I: Ejercicios-repaso-segundo-parcial.pdf

23 páginas

ejercicios

-

PROBLEMAS ERM

He publicado nuevos ejercicios de 2º Elasticidad y Resistencia de Materiales I: PROBLEMAS ERM

Problemas-T4.pdf
Problemas-T5.pdf
Problemas-T6.pdf
PROBLEMAS-T3.pdf

apuntes

-

TODOS LOS PROBLEMAS RESUELTOS (PARA APROBAR)

He publicado nuevos apuntes de 2º Elasticidad y Resistencia de Materiales I: TODOS LOS PROBLEMAS RESUELTOS (PARA APROBAR)

PROBLEMAS-DE-EXAMEN-MILAGROS.pdf
PROBLEMAS-TEMA-5-ERM1.pdf
PROBLEMAS-TEMA-4-ERM1.pdf
PROBLEMAS-TEMA-3-ERM1.pdf
PROBLEMAS-TEMA-2-ERM1.pdf
PROBLEMAS-TEMA-1-ERM1.pdf

apuntes

-

TEORÍA PARA APROBAR

He publicado nuevos apuntes de 2º Elasticidad y Resistencia de Materiales I: TEORÍA PARA APROBAR

PANDEO-PERPETUA-TEMA-6.pdf
TEORIA-TEMA-5-ERM1.pdf
TEORIA-TEMA-4-ERM1.pdf
TEORIA-TEMA-3-ERM1.pdf
TEORIA-TEMA-2-ERM1.pdf
TEORIA-TEMA-1-ERM1.pdf

He publicado nuevos apuntes de 2º Elasticidad y Resistencia de Materiales I: formulario-ermi.pdf

2 páginas

He publicado nuevos examenes de 2º Elasticidad y Resistencia de Materiales I: EJERCICIOS-TIPO-EXAMEN.pdf

17 páginas

He publicado nuevos apuntes de 2º Elasticidad y Resistencia de Materiales I: resumen-t1.pdf

3 páginas

ejercicios

-

EJERCICIOS

TODOS LOS TIPOS DE EJERCICIOS

CERCHAS.pdf
Deformada.pdf
DeformadayDiagrama.pdf
Ejercicio-completo.pdf
Ejercicio-tensiones.pdf
Ejercicio-torsion.pdf

practicas

-

Clases de Problemas

He publicado nuevos practicas de 2º Elasticidad y Resistencia de Materiales I: Clases de Problemas

P3.pdf
P4.pdf
P5.pdf
P6.pdf
P7.pdf
P8.pdf

He publicado nuevos apuntes de 2º Elasticidad y Resistencia de Materiales I: Practica-4-Tema3.pdf

3 páginas

He publicado nuevos practicas de 2º Elasticidad y Resistencia de Materiales I: TODAS-LAS-PRACTICAS-PERPETUA.pdf

19 páginas

He publicado nuevos examenes de 2º Elasticidad y Resistencia de Materiales I: PROBLEMAS-TIPO-EXAMEN-Y-EJEMPLOS.pdf

13 páginas

ejercicios

-

TODOS LOS PROBLEMAS Perpetua

He publicado nuevos ejercicios de 2º Elasticidad y Resistencia de Materiales I: TODOS LOS PROBLEMAS Perpetua

PROBLEMAS-T1-PERPETUA.pdf
PROBLEMAS-T2-PERPETUA.pdf
PROBLEMAS-T3-PERPETUA.pdf
PROBLEMAS-T4-PERPETUA.pdf
PROBLEMAS-T5-PERPETUA.pdf
PROBLEMAS-T6-PERPETUA.pdf

apuntes

-

BUENOS RESÚMENES ERM1

He publicado nuevos apuntes de 2º Elasticidad y Resistencia de Materiales I: BUENOS RESÚMENES ERM1

T1.pdf
T2.pdf
T3.pdf
T4.pdf

He publicado nuevos examenes de 2º Elasticidad y Resistencia de Materiales I: control-2.pdf

2 páginas

He publicado nuevos apuntes de 2º Elasticidad y Resistencia de Materiales I: Tema-3-Esfuerzo-de-cortadura.pdf

8 páginas

He publicado nuevos apuntes de 2º Elasticidad y Resistencia de Materiales I: Tema-2-Esfuerzos-traccion-y-compresion.pdf

10 páginas

He publicado nuevos apuntes de 2º Elasticidad y Resistencia de Materiales I: Tema-1-Introduccion-Resistencia-de-Materiales.pdf

13 páginas

He publicado nuevos ejercicios de 2º Elasticidad y Resistencia de Materiales I: Problemas-resueltosTeoria-Tema-4.pdf

17 páginas

He publicado nuevos ejercicios de 2º Elasticidad y Resistencia de Materiales I: Relacion-de-Problemas-Tema-3-ERM1.pdf

11 páginas

He publicado nuevos ejercicios de 2º Elasticidad y Resistencia de Materiales I: Ejercicios-Tema-2-ERM1.pdf

7 páginas

He publicado nuevos test de 2º Elasticidad y Resistencia de Materiales I: Recopilatorio-Preguntas-Tipo-Test-ErmI-CauchyAPP.pdf

5 páginas

He publicado nuevos apuntes de 2º Elasticidad y Resistencia de Materiales I: Practica-6-Tema-4.pdf

2 páginas

He publicado nuevos apuntes de 2º Elasticidad y Resistencia de Materiales I: Practica-4-Tema-3.pdf

2 páginas

He publicado nuevos apuntes de 2º Elasticidad y Resistencia de Materiales I: Practica-5-Tema-3.pdf

2 páginas

He publicado nuevos ejercicios de 2º Elasticidad y Resistencia de Materiales I: Practica-2-Tema-2.pdf

3 páginas

He publicado nuevos ejercicios de 2º Elasticidad y Resistencia de Materiales I: Practica-1-Tema-1.pdf

3 páginas
Anónimo

@Anónimo

apuntes

-

Apuntes variados ERM1

Pandeo, Vigas, Tornillos, Uniones soldadas...

Apuntes-variados-ERM1-1.jpeg
Apuntes-variados-ERM1-2.jpeg
Apuntes-variados-ERM1-3.jpeg
Apuntes-variados-ERM1-4.jpeg
Apuntes-variados-ERM1-5.jpeg
Apuntes-variados-ERM1-6.jpeg

He publicado nuevos ejercicios de 2º Elasticidad y Resistencia de Materiales I: VIGAS-Y-PORTICOS-PARTE-III.pdf

42 páginas

He publicado nuevos ejercicios de 2º Elasticidad y Resistencia de Materiales I: VIGAS-Y-PORTICOS-PARTE-II.pdf

58 páginas

He publicado nuevos ejercicios de 2º Elasticidad y Resistencia de Materiales I: VIGAS-Y-PORTICOS-I-PARTE-1.pdf

52 páginas

He publicado nuevos ejercicios de 2º Elasticidad y Resistencia de Materiales I: VIGAS-Y-PORTICOS.pdf

62 páginas

He publicado nuevos ejercicios de 2º Elasticidad y Resistencia de Materiales I: SOLDADURA.pdf

6 páginas

He publicado nuevos ejercicios de 2º Elasticidad y Resistencia de Materiales I: remaches.pdf

48 páginas

He publicado nuevos ejercicios de 2º Elasticidad y Resistencia de Materiales I: Problemas-tema-4.pdf

62 páginas

He publicado nuevos apuntes de 2º Elasticidad y Resistencia de Materiales I: RESISTENCIA-DE-MATERIALES.pdf

14 páginas

He publicado nuevos examenes de 2º Elasticidad y Resistencia de Materiales I: REPASO-PARCIAL.pdf

18 páginas

He publicado nuevos ejercicios de 2º Elasticidad y Resistencia de Materiales I: PORTICOS.pdf

44 páginas

He publicado nuevos ejercicios de 2º Elasticidad y Resistencia de Materiales I: practicas-y-problemas.pdf

18 páginas