Elasticidad y Resistencia de Materiales

chevron_left
chevron_right
Todo
Apuntes
Ejercicios
chevron_left
chevron_right

ejercicios

-

Problemas de Elasticidad

He publicado nuevos ejercicios de 3º Elasticidad y Resistencia de Materiales: Problemas de Elasticidad

ELRES-Problemas-Resistencia.pdf
ELRES-Problemas-Resistencia-pt2.pdf
ELRES-Problemas-resistencia-1.pdf
ELRES-Problemas-elasticidad-3.pdf
ELRES-Problemas-elasticidad-2.pdf
ELRES-Problemas-elasticidad-1.pdf

apuntes

-

Teoría de RESISTENCIA

He publicado nuevos apuntes de 3º Elasticidad y Resistencia de Materiales: Teoría de RESISTENCIA

ELRES-Tema-1-resistencia.pdf
ELRES-Tema-5-resistencia.pdf
ELRES-Tema-3-resistencia.pdf
ELRES-Tema-2-resistencia.pdf
ELRES-Tema-4-resistencia.pdf

apuntes

-

Teoría de ELASTICIDAD

He publicado nuevos apuntes de 3º Elasticidad y Resistencia de Materiales: Teoría de ELASTICIDAD

ELRES-Tema-2-elasticidad.pdf
ELRES-Tema-8-elasticidad.pdf
ELRES-Tema-6-elasticidad.pdf
ELRES-Tema-5-elasticidad.pdf
ELRES-Tema-12-elasticidad.pdf
ELRES-Tema-7-elasticidad.pdf

He publicado nuevos apuntes de 3º Elasticidad y Resistencia de Materiales: resistencia-teoria.pdf

39 páginas

apuntes

-

Temas 1-9 Elasticidad

He publicado nuevos apuntes de 3º Elasticidad y Resistencia de Materiales: Temas 1-9 Elasticidad

Tema 3. Ley de comportamiento.pdf
Tema 1. Tensiones.pdf
Tema 6. Teoremas y principios de la elasticidad. Conceptos energéticos.pdf
Tema 5. El problema elástico.pdf
Tema 7. Elasticidad plana.pdf
Tema 9. Criterios de plastificación.pdf

apuntes

-

Problemas resueltos Elasticidad

He publicado nuevos apuntes de 3º Elasticidad y Resistencia de Materiales: Problemas resueltos Elasticidad

Tema 6- 7. Problemas.pdf
Tema 5. Problemas.pdf
Tema 3. Problemas.pdf
Tema 2. Problemas.pdf
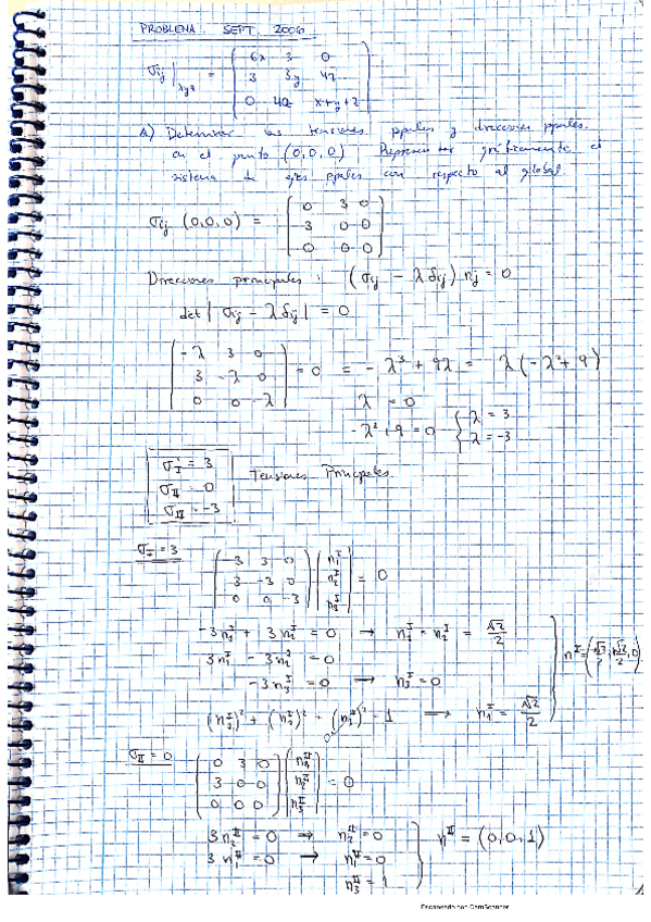
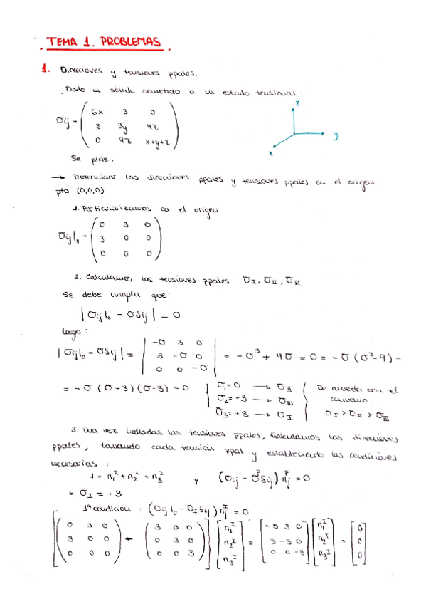
Tema 1. Problemas.pdf

He publicado nuevos apuntes de 3º Elasticidad y Resistencia de Materiales: Cuestiones.pdf

25 páginas
¡Estás al día!

¡Estás al día!

Has visto todos los archivos