Todo
Apuntes
Ejercicios
chevron_left
chevron_right

He publicado nuevos apuntes de 3º Elasticidad y Resistencia de Materiales: Torsion.pdf

19 páginas

He publicado nuevos apuntes de 3º Elasticidad y Resistencia de Materiales: Flexion.pdf

45 páginas

He publicado nuevos apuntes de 3º Elasticidad y Resistencia de Materiales: Teorema-De-Cauchy.pdf

4 páginas

He publicado nuevos apuntes de 3º Elasticidad y Resistencia de Materiales: Resistencia-De-Materiales.pdf

16 páginas

He publicado nuevos apuntes de 3º Elasticidad y Resistencia de Materiales: Deformaciones.pdf

22 páginas

He publicado nuevos apuntes de 3º Elasticidad y Resistencia de Materiales: Solido-Elastico.pdf

34 páginas

apuntes

-

Examen final

He publicado nuevos apuntes de 3º Elasticidad y Resistencia de Materiales: Examen final

Apuntes-resistencia-de-materiales-T3-T6.pdf
Problemas-resistencia-de-materiales-T3-y-4.pdf
Problemas-resistencia-de-materiales-T4-y-5.pdf

ejercicios

-

Ejercicios

He publicado nuevos ejercicios de 3º Elasticidad y Resistencia de Materiales: Ejercicios

Ejercicios-T1.pdf
Ejercicios-T2: Tensión y Deformación.pdf
Ejercicios-Extra-T2.pdf
Ejercicios-T3: Tracción.pdf
Ejercicios-T4: Cortadura.pdf
Ejercicio-flexion-tipo-examen.pdf

apuntes

-

Apuntes

He publicado nuevos apuntes de 3º Elasticidad y Resistencia de Materiales: Apuntes

T1-Solido-Elastico.pdf
T2-E.tensional-y-Deformacion.pdf
T3-Traccion-Compresion.pdf
T4-Cortadura.pdf
Resumen-Traccion-Y-Cortadura.pdf
Tema-5-Torsión.pdf

ejercicios

-

Enunciados Ejercicios

He publicado nuevos ejercicios de 3º Elasticidad y Resistencia de Materiales: Enunciados Ejercicios

07-Ejercicios-Elasticidad.pdf
actividad-extraordinariacables-de-traccion.pdf
ejercicios-cortadura-1.PDF
EJERCICIOS-TEMA-0-1-1.pdf
Gejercicios-flexion-a-entregar.pdf
Gejercicios-flexioncont.pdf

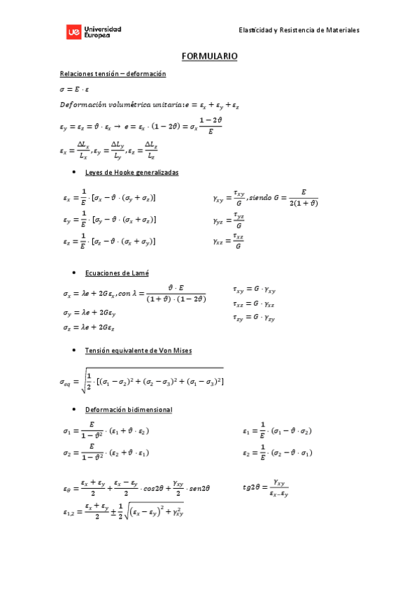
He publicado nuevos apuntes de 3º Elasticidad y Resistencia de Materiales: Formulario.pdf

1 página

apuntes

-

Parcial 1

He publicado nuevos apuntes de 3º Elasticidad y Resistencia de Materiales: Parcial 1

Apuntes-resistencia-de-materiales-T1-y-2.pdf
Problemas-resistencia-de-materiales-T1-y-2.pdf

apuntes

-

Elasticidad

He publicado nuevos apuntes de 3º Elasticidad y Resistencia de Materiales: Elasticidad

Elasticidad-Ortiz-Berrocal-L.pdf
tema-1.pdf
Elasticidadparte1-revisado.pdf
Elasticidad-Ortiz-Berrocal-L.pdf
EjerciciosResueltos.pdf
tema-2.pdf
¡Estás al día!

¡Estás al día!

Has visto todos los archivos