chevron_left
chevron_right
Todo
Apuntes
Ejercicios
Exámenes
Prácticas
publication
Trabajos
chevron_left
chevron_right

He publicado nuevos apuntes de 1º Electricidad: Tema-6-Induccion-electromagnetica.pdf

1 página

He publicado nuevos apuntes de 1º Electricidad: Tema-4-Corriente-continua.pdf

5 páginas

He publicado nuevos apuntes de 1º Electricidad: Tema-5-Campo-magnetico.pdf

1 página

ejercicios

-

Ejercicios a parte

Ejercicios de los diversos temas

Tema-6-1.pdf
Tema-6-2.pdf
Tema-4-Repaso.pdf
Tema-5-Repaso.pdf
Algunas-Formulas.pdf

apuntes

-

Tema 6: Corriente Alterna

Apuntes con ejercicios

Introduccion-a-la-Corriente-alterna.pdf
La-Corriente-Alterna.pdf
Resumen-y-Repaso-del-Tema-6.pdf
Ejercicios-de-Repaso-TM6.pdf

apuntes

-

Tema 5: Inducción Electromagnética

Apuntes con ejercicios

Introduccion-a-la-Induccion-Electromagnetica.pdf
La-Energia.pdf

apuntes

-

Tema 4: El Campo Magnético

Apuntes con ejercicios

Introduccion-y-Aplicaciones.pdf
El-Campo-Magnetico.pdf
Ejercicios-de-Repaso-TM4.pdf

apuntes

-

Tema 3: Electrocinética

Apuntes con ejercicios

Introduccion-a-la-Electrocinetica.pdf
Potencia-Electrica.pdf
Generadores-y-Receptores.pdf
Ejercicio-de-Repaso-TM3.pdf

apuntes

-

Tema 2: Condensadores

Apuntes con ejercicios

Condensadores.pdf
Energia-Asociada.pdf
Repaso-TM2.pdf
Tarea-Portafolio-Ejercicio-2.pdf

apuntes

-

Tema 1: Electrostática

Apuntes con ejercicios

La-Carga.pdf
Repaso-de-la-Carga.pdf
Ley-de-Gauss.pdf
Energia-Potencial.pdf
Conductores-en-equilibrio-electrostatico.pdf
Tarea-Portafolio-resolucion-de-los-problemas-T.1-diapositiva-31-problemas-1.11-y-1.13.pdf

He publicado nuevos apuntes de 1º Electricidad: Problema-resuelto-Leyes-de-Kirchhoff.pdf

8 páginas

He publicado nuevos apuntes de 1º Electricidad: Formulario-Electrocinetica.pdf

1 página

He publicado nuevos apuntes de 1º Electricidad: Formulario-Condensadores.pdf

2 páginas

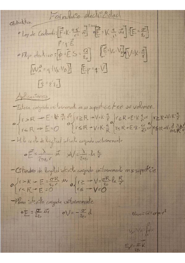
He publicado nuevos apuntes de 1º Electricidad: Formulario-Electrostatica.pdf

1 página

He publicado nuevos apuntes de 1º Electricidad: Formulario-Tema-6.pdf

3 páginas

He publicado nuevos apuntes de 1º Electricidad: Formulario-Tema-4.pdf

4 páginas

He publicado nuevos apuntes de 1º Electricidad: Formulario-Tema-5.pdf

2 páginas

practicas

-

Laboratorio Electricidad

He publicado nuevos practicas de 1º Electricidad: Laboratorio Electricidad

Memoria-practica-2.pdf
Memoria-practica-3.pdf
Memoria-Practica-4.pdf
Memoria-practica-5.pdf
Anónimo

@Anónimo

apuntes

-

Practicas

He publicado nuevos apuntes de 1º Electricidad: Practicas

PL3PL4Equipo9y10Presentacion-electricidad.pdf
PL3PL4Equipo9y10Soluciones.pdf
Practica-3-Osciloscopio.pdf
Practica-4-condensador-grupo-5-equipo-9-y-10.pdf
Anónimo

@Anónimo

He publicado nuevos apuntes de 1º Electricidad: Manual-3.pdf

116 páginas
Anónimo

@Anónimo

He publicado nuevos apuntes de 1º Electricidad: Manual-2.pdf

90 páginas
Anónimo

@Anónimo

He publicado nuevos apuntes de 1º Electricidad: Manual-1.pdf

90 páginas
Anónimo

@Anónimo

He publicado nuevos trabajos de 1º Electricidad: PORTAFOLIOS-TEMA-4.pdf

4 páginas
Anónimo

@Anónimo

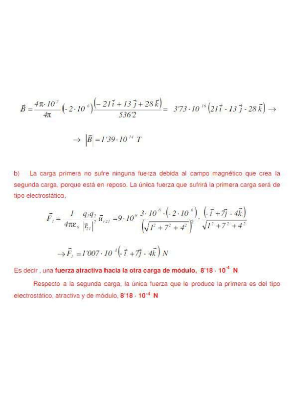
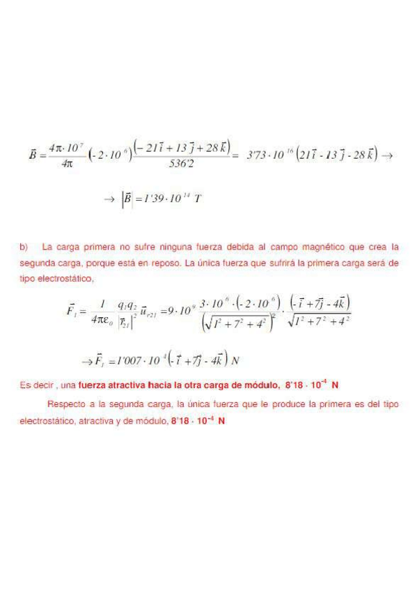
He publicado nuevos trabajos de 1º Electricidad: Portafolios-Tema-3.pdf

7 páginas
Anónimo

@Anónimo

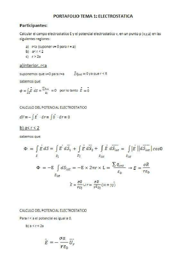
He publicado nuevos trabajos de 1º Electricidad: Portafolios-Tema-1.pdf

5 páginas
Anónimo

@Anónimo

He publicado nuevos trabajos de 1º Electricidad: Portafolios-Tema-2.pdf

4 páginas

He publicado nuevos apuntes de 1º Electricidad: MEMORIA-PRACTICA-No5-.pdf

9 páginas

He publicado nuevos apuntes de 1º Electricidad: EJERCICIO-ELECTROESTATICA.pdf

1 página

He publicado nuevos apuntes de 1º Electricidad: ELECTROESTATICA.pdf

3 páginas
Anónimo

@Anónimo

He publicado nuevos apuntes de 1º Electricidad: A5PlanosyRectas.pdf

4 páginas

He publicado nuevos apuntes de 1º Electricidad: TEORIA-CONDENSADORES.pdf

6 páginas

condensadores

apuntes

He publicado nuevos examenes de 1º Electricidad: parcial-2-2016.pdf

5 páginas

He publicado nuevos examenes de 1º Electricidad: parcial-2-2019.pdf

4 páginas

He publicado nuevos apuntes de 1º Electricidad: formulario-parcial-1.pdf

1 página

He publicado nuevos trabajos de 1º Electricidad: portafolio-t1-electrostatica.pdf

3 páginas

He publicado nuevos examenes de 1º Electricidad: Parcial-1-2016-2017.pdf

4 páginas

apuntes

-

ELECTRICIDAD 1 UPV PROBLEMAS

He publicado nuevos apuntes de 1º Electricidad: ELECTRICIDAD 1 UPV PROBLEMAS

T.pdf
T.pdf
T.pdf
T.pdf
T.pdf

apuntes

-

ELECTRICIDAD 1 UPV

He publicado nuevos apuntes de 1º Electricidad: ELECTRICIDAD 1 UPV

T.pdf
T.pdf
T.pdf
T.pdf
T.pdf

Todos los años susana pone uno casi igual o parecido

4 páginas

Nota: 10

2 páginas

Nota: 10

6 páginas

He publicado nuevos apuntes de 1º Electricidad: Electricidad tema 4 soluciones.pdf

49 páginas

He publicado nuevos apuntes de 1º Electricidad: Electricidad tema 1 soluciones.pdf

78 páginas

He publicado nuevos apuntes de 1º Electricidad: Electricidad tema 5 soluciones.pdf

21 páginas

Lo único que debes hacer es sustituir los valores que dice el examen en este excel. Debajo te pondrá los resultados

excel

He publicado nuevos trabajos de 1º Electricidad: Portafolio Electricidad tema 1.pdf

3 páginas

He publicado nuevos apuntes de 1º Electricidad: Electricidad tema 3 soluciones.pdf

84 páginas

He publicado nuevos apuntes de 1º Electricidad: Electricidad tema 2 soluciones.pdf

57 páginas
¡Estás al día!

¡Estás al día!

Has visto todos los archivos