Electrodinàmica i Radiació de Sincrotró

chevron_left
chevron_right
Todo
Apuntes
Ejercicios
Exámenes
chevron_left
chevron_right

He publicado nuevos apuntes de 4º Electrodinàmica i Radiació de Sincrotró: electrodinamica.pdf

1 página

He publicado nuevos examenes de 4º Electrodinàmica i Radiació de Sincrotró: Gener2021.pdf

4 páginas

He publicado nuevos examenes de 4º Electrodinàmica i Radiació de Sincrotró: Juny2020.pdf

3 páginas

He publicado nuevos examenes de 4º Electrodinàmica i Radiació de Sincrotró: Juny2023.pdf

3 páginas

He publicado nuevos examenes de 4º Electrodinàmica i Radiació de Sincrotró: Juny-2012.pdf

2 páginas

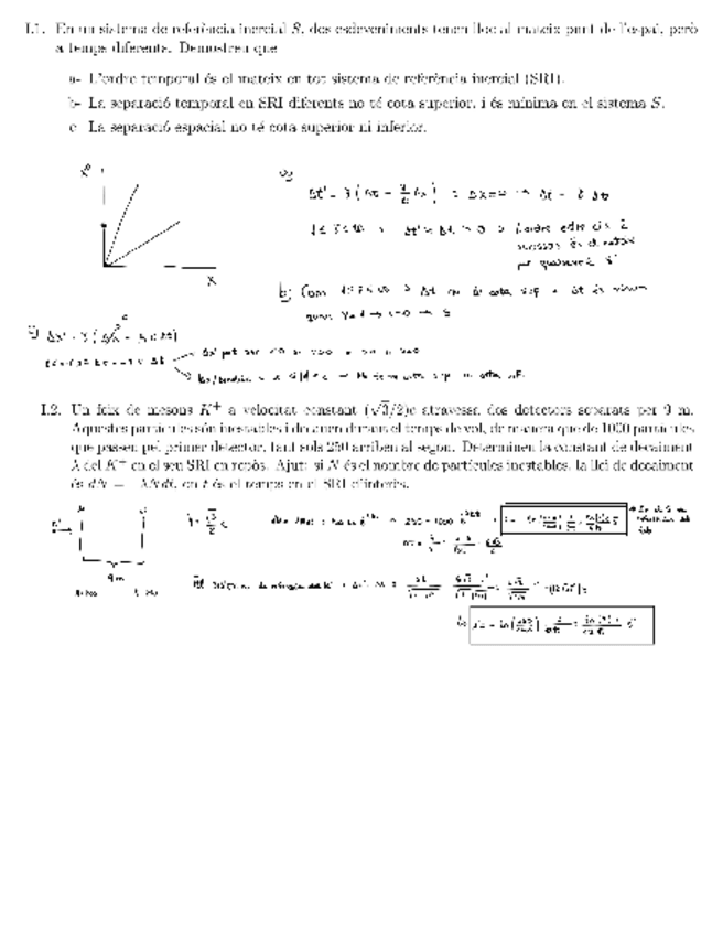
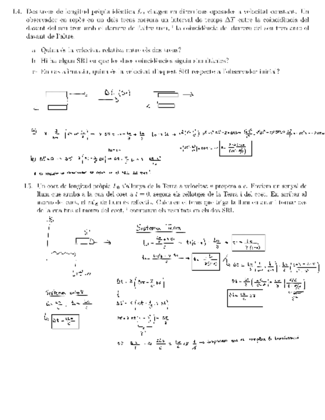
He publicado nuevos ejercicios de 4º Electrodinàmica i Radiació de Sincrotró: Problemes-relativitat.pdf

4 páginas

He publicado nuevos examenes de 4º Electrodinàmica i Radiació de Sincrotró: 2019-20_1rParcial-Castella.pdf

4 páginas
¡Estás al día!

¡Estás al día!

Has visto todos los archivos