Electromagnetismo I

chevron_left
chevron_right
Todo
Apuntes
Ejercicios
Exámenes
chevron_left
chevron_right

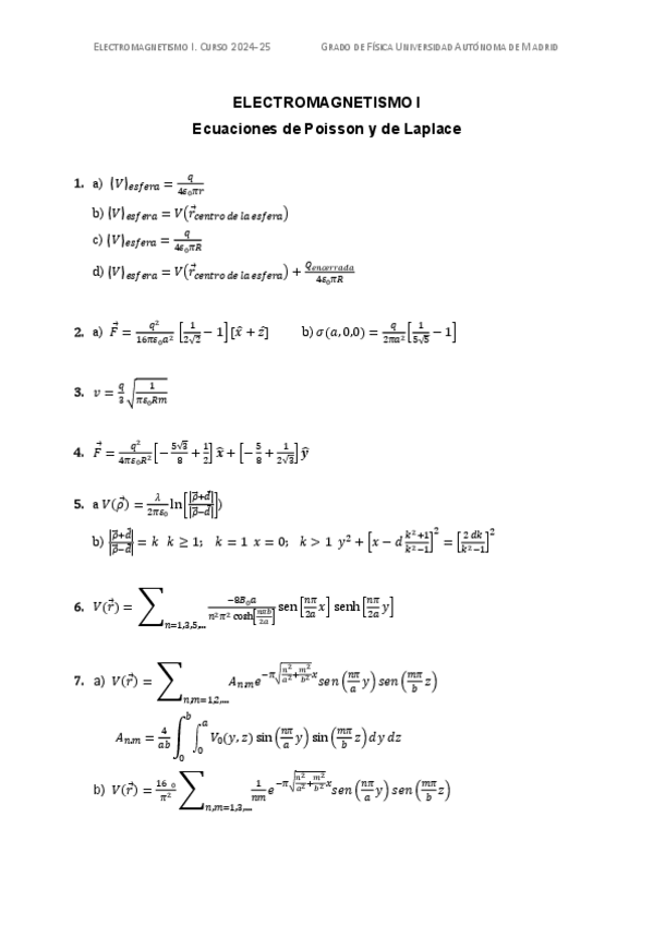
-Operadores y Teoremas -Coordenadas cilíndricas y esféricas -Coulomb, Gauss, Potencial -Conductores -Dipolo eléctrico -Resolución de problemas en electrostática (Laplace/Poisson) -Dieléctricos -Fronteras e interfases -Energía electrostática -Teoría micros

17 páginas

He publicado nuevos apuntes de 2º Electromagnetismo I: Formulario_Electro1.pdf

2 páginas

Formulario Electro I para examen final

2 páginas

He publicado nuevos examenes de 2º Electromagnetismo I: Examen-final-electro-enero-2026.pdf

1 página

examenes

-

Examenes resueltos

He publicado nuevos examenes de 2º Electromagnetismo I: Examenes resueltos

Ordinaria-tardes-2023.pdf
Ordinaria-tardes-2024.pdf
Ordinaria-tardes-2025.pdf
Ordinaria-tardes-2022.pdf

apuntes

-

Apuntes (Bastante) Completos Electro 1

Falta el tema 1 (cálculo vectorial) del cuál no tengo apuntes.

TEMA2Campo-electrico.pdf
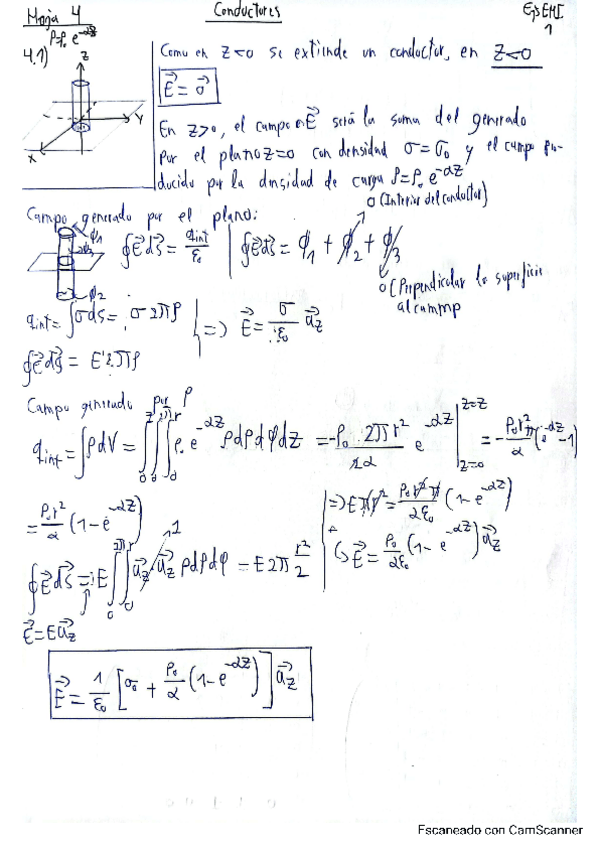
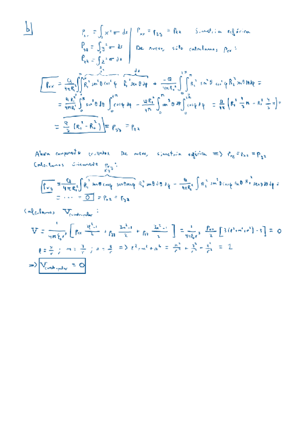
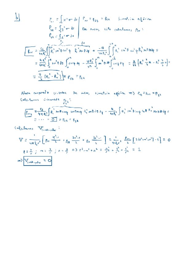
TEMA3Conductores.pdf
TEMA4Dipolos.pdf
TEMA5LaplaceyPoisson.pdf
TEMA-6-Electrostatica-en-presencia-de-materia.pdf
TEMA-7-Energia-Electrostatica.pdf

He publicado nuevos apuntes de 2º Electromagnetismo I: formularioelectro1.pdf

2 páginas

apuntes

-

Ejercicios resueltos

He publicado nuevos apuntes de 2º Electromagnetismo I: Ejercicios resueltos

01-Calculo-vectorial242597c68814ee728d8cb2d55f3d5a0b4593.pdf
02-Campo-electrico-y-potencial-electrostatico24250e07495577188ace912ed9d41277ec63.pdf
03-Ecuaciones-de-Laplace-y-Poisson24253885475d76fc5e009650d231f5e73d0f.pdf
04-Conductores2425e489a976582c7badc90e598df50fa024.pdf
05-Dipolos-y-multipolos-electricos2425335b3f893e437f1ddf657f9d9e0c7810.pdf
06-Dielectricos2425d9e95ffbf71a9630e4169b21fe99d558.pdf

apuntes

-

finales resueltos

He publicado nuevos apuntes de 2º Electromagnetismo I: finales resueltos

BB-Final-2023.pdf
BBFinal2024consoluciones.pdf
EM1enero202122g526consol603e74dd858397e62f337461ef1dcca6.pdf
Final-2024-Resuelto-Por-Rafa.pdf
wuolah-free-Examen-final-enero-2023-electro-1.pdf

He publicado nuevos apuntes de 2º Electromagnetismo I: Formulario-examen-final.pdf

4 páginas

apuntes

-

Teoría

He publicado nuevos apuntes de 2º Electromagnetismo I: Teoría

Conductores.pdf
Dielectricos.pdf
Energia-Electrostatica.pdf
Ecuaciones-De-Poisson-Y-Laplace.pdf
Dipolos-Y-Multipolos.pdf
Electro-1-Todo.pdf

He publicado nuevos examenes de 2º Electromagnetismo I: Ordinaria-2025-Mananas.pdf

1 página

ejercicios

-

Ejercicios interesantes

En esta carpeta se encuentran: algunos pdfs que solo contienen las soluciones de los ejercicios (para contrastar) y otros con lo que esperáis encontrar, es decir, los procesos de resolución de los ejercicios; así como algunos ejercicios interesantes para

Ejerciciolineasdecampo.pdf
Soluciones-Hoja-1.pdf
Soluciones-Hoja-2.pdf
Soluciones-Hoja-3.pdf
Soluciones-Hoja-4.pdf
Soluciones-Hoja-5.pdf

examenes

-

ParcialesTardesResueltos

Soluciones personales. Si hay algún problema, error o comentario de mejora escribir a creadoresdecontenido20232024@gmail.com

ParcialTardes2022.pdf
ParcialTardes2023.pdf
ParcialTardes2021.pdf

He publicado nuevos examenes de 2º Electromagnetismo I: Extraordinaria-tardes-2025-sin-resolver-de-momento.pdf

2 páginas

He publicado nuevos apuntes de 2º Electromagnetismo I: Formulario.pdf

5 páginas

apuntes

-

Apuntes Electro I

Apuntes de Electro I

Electromagnetismo-I-Ecuaciones-de-Poisson-y-Laplace.pdf
Electromagnetismo-I-Electrostatica-en-el-Vacio.pdf
Electromagnetismo-I-Calculo-Vectorial.pdf
Electromagnetismo-I-Dielectricos.pdf

examenes

-

Globales resueltos tardes

He publicado nuevos examenes de 2º Electromagnetismo I: Globales resueltos tardes

Final2022.pdf
Final2024.pdf
Final2023.pdf

Segundo parcial resuelto por Luisa en clase

3 páginas

apuntes

-

Apuntes EM I

Apuntes hechos con una mezcla de notas tomadas en clase y el libro de la UNED de Victoriano López

Tema-2.-Campo-electrico-y-potencial-electrostatico.pdf
Tema-3.-Ecuaciones-de-Poisson-y-Laplace.pdf
Tema-4.-Conductores.pdf
Tema-5.-Dipolos-y-multipolos.pdf
Tema-6.-Dielectricos.pdf

apuntes

-

Resúmenes de teoría

Si hay algún problema, error o comentario de mejora escribir a creadoresdecontenido20232024@gmail.com

Dipolosresumen.pdf
Dielectricosresumen.pdf
Campoelectricoresumen.pdf
Conductoresresumen.pdf
ResumenEnergiaElectrostatica.pdf
Separaciondevariables.pdf

He publicado nuevos apuntes de 2º Electromagnetismo I: FormularioElectro1.pdf

4 páginas

examenes

-

Enunciados globales Rafa

He publicado nuevos examenes de 2º Electromagnetismo I: Enunciados globales Rafa

EM1enero2023g526consol.pdf
EM1enero2024g526consol.pdf
Ordinaria-21-22-con-soluciones.pdf

Formulario para el segundo parcial 1 cara.

1 página

He publicado nuevos examenes de 2º Electromagnetismo I: PRIMER-PARCIAL-RESUELTO-2425.pdf

2 páginas

apuntes

-

ELECTRO1 APUNTES Y EJERCICIOS

He publicado nuevos apuntes de 2º Electromagnetismo I: ELECTRO1 APUNTES Y EJERCICIOS

ELECTRO1-APUNTES.pdf
ELECTRO1-HOJA1.pdf
ELECTRO1-HOJA2.pdf
ELECTRO1-HOJA3.pdf
ELECTRO1-HOJA4.pdf
ELECTRO1-HOJA5.pdf

examenes

-

Corrección parciales Electro I

He publicado nuevos examenes de 2º Electromagnetismo I: Corrección parciales Electro I

Correccion-control-I-Electro-I.pdf
Correccion-segundo-parcial-Electro-II.pdf

ejercicios

-

Ejercicios resueltos Electro I

He publicado nuevos ejercicios de 2º Electromagnetismo I: Ejercicios resueltos Electro I

Ejercicios-resueltos-Electro-I-temas-1-y-2.pdf
Ejercicios-resueltos-Electro-I-tema-3.pdf
Ejercicios-resueltos-Electro-I-tema-4.pdf
Ejercicios-adicionales-resueltos-Electro-I.pdf

ejercicios

-

Hojas - EMI

He publicado nuevos ejercicios de 2º Electromagnetismo I: Hojas - EMI

Hojas-Tema-2-EMI.pdf
Hojas-Tema-3-EMI.pdf
Hojas-Tema-4-EMI.pdf

He publicado nuevos apuntes de 2º Electromagnetismo I: Apuntes-EMI.pdf

42 páginas

apuntes

-

Apuntes Electro I

He publicado nuevos apuntes de 2º Electromagnetismo I: Apuntes Electro I

Apuntes-Electro-I-Parte-1-Luisa.pdf
Apuntes-Electro-I-Parte-2-Luisa.pdf

ejercicios

-

Ejercicios Electro 1

Soluciones comprobadas?

Hoja-1-Resuelta-Electro-1.pdf
Algunos-Ejs-T2-Campo-electrico-y-potencial.pdf
Hoja-3-Resuelta-Electro-1.pdf
Hoja 4-Resuelta-Electro-1.pdf
Ejercicios-5-Dipolos-y-multipolos-electricos.pdf

He publicado nuevos examenes de 2º Electromagnetismo I: Control-2023-Electro-1.pdf

1 página

He publicado nuevos examenes de 2º Electromagnetismo I: Ordinaria-2023-Electro-1.pdf

2 páginas

He publicado nuevos apuntes de 2º Electromagnetismo I: Formulario-EMI.pdf

6 páginas

He publicado nuevos examenes de 2º Electromagnetismo I: EM1control202324.pdf

2 páginas

apuntes

-

Apuntes electro I

He publicado nuevos apuntes de 2º Electromagnetismo I: Apuntes electro I

Temas-4-y-5-electro-I.pdf
Temas-6-y-7-electro-I.pdf
Tema-2-y-3-electro-I.pdf

ejercicios

-

Hojas resueltas electro I

He publicado nuevos ejercicios de 2º Electromagnetismo I: Hojas resueltas electro I

06-Ejercicios-Dielectricos.pdf
05-Dipolos-y-multipolos-electricos.pdf
07-Energia-electrostatica-Ejercicios.pdf
04-Ejercicios-Conductores.pdf
02-Ejercicios-Campo-electrico-y-potencial-electrostatico.pdf
03-Ejercicios-Ecuaciones-de-Laplace-y-Poisson.pdf

He publicado nuevos examenes de 2º Electromagnetismo I: ControlElectromagnetismoII.pdf

1 página

examenes

-

ALGUNOS EXÁMENES DE ELECTRO RESUELTOS POR MÍ

No aseguro al 100% que todas las soluciones sean correctas, es mi aproximación a los ejercicios.

2022-ENERO-526.pdf
2016-ENERO-LUISA-BAUSA.pdf
2014-ENERO-521.pdf
2023-ENERO-521.pdf
2011-JUNIO.pdf

ejercicios

-

Ejercicios resueltos

He publicado nuevos ejercicios de 2º Electromagnetismo I: Ejercicios resueltos

Electro1Hoja1Resuelta.pdf
Electro1Hoja2Resuelta.pdf
Electro1Hoja3Resuelta.pdf
Electro1Hoja4Resuelta.pdf
Electro1-Hoja5-Resuelta.pdf
Electro1-Hoja6-Resuelta.pdf

No se asegura que los ejercicios están bien realizados, no tenían solución. Suerte en el examen

2 páginas

He publicado nuevos apuntes de 2º Electromagnetismo I: Formulario-Final-Electro-1.pdf

5 páginas

He publicado nuevos examenes de 2º Electromagnetismo I: Control-1-2022-RESUELTO-electro-1.pdf

1 página

He publicado nuevos examenes de 2º Electromagnetismo I: Examen-final-extraordinario-junio-2023-electro-1.pdf

1 página

He publicado nuevos examenes de 2º Electromagnetismo I: Examen-final-enero-2023-electro-1.pdf

1 página

He publicado nuevos examenes de 2º Electromagnetismo I: Examen-parcial-2022-RESUELTO-electro-1.pdf

4 páginas

He publicado nuevos apuntes de 2º Electromagnetismo I: Resumen-teoria-Electromagnetismo-I.pdf

22 páginas

He publicado nuevos apuntes de 2º Electromagnetismo I: Formulario-Electromagnetismo-I.pdf

2 páginas

Apuntes sobre el campo eléctrico basados en el libro "Introduction to Electrodynamics" de David J. Griffiths.

7 páginas

He publicado nuevos examenes de 2º Electromagnetismo I: Formulario-Electromagnetismo-1.pdf

2 páginas

He publicado nuevos apuntes de 2º Electromagnetismo I: formularioparcial2electro1521.pdf

2 páginas

examenes

-

EXAMENES ELECTRO I 2023-24

He publicado nuevos examenes de 2º Electromagnetismo I: EXAMENES ELECTRO I 2023-24

Parcial-1-18102023.pdf
Solucion-C1-2023.pdf

apuntes

-

Apuntes electro 1

He publicado nuevos apuntes de 2º Electromagnetismo I: Apuntes electro 1

Tema-2.-Campo-electrico-y-potencial-electrostatico.pdf
Tema-3.-Ecuaciones-de-Poisson-y-Laplace.pdf

He publicado nuevos apuntes de 2º Electromagnetismo I: Formulario-Electro-I-primer-parcial.pdf

1 página

apuntes

-

Ejercicios resueltos

He publicado nuevos apuntes de 2º Electromagnetismo I: Ejercicios resueltos

Hoja-1-Electro-1.pdf

ejercicios

-

Ejercicios Corregidos Electro I

He publicado nuevos ejercicios de 2º Electromagnetismo I: Ejercicios Corregidos Electro I

Ejercicios-Tema-1.pdf

He publicado nuevos apuntes de 2º Electromagnetismo I: formulario-electro-I.pdf

2 páginas

ejercicios

-

ejercicios electro I mañanas

He publicado nuevos ejercicios de 2º Electromagnetismo I: ejercicios electro I mañanas

hija1emI.pdf
hija1emI0001.pdf
hija1tema3em.pdf
hija2em.pdf
hija2tema3em.pdf
hija3em.pdf

ejercicios

-

Ejercicios Electro I Resueltos - AIM

He publicado nuevos ejercicios de 2º Electromagnetismo I: Ejercicios Electro I Resueltos - AIM

Hoja-11-Resuelta-Electro-I-AIM.pdf
Hoja-1-Resuelta-Electro-I-AIM.pdf
Hoja-2-Resuelta-Electro-I-AIM.pdf
Hoja-3-Resuelta-Electro-I-AIM.pdf
Hoja-4-Resuelta-Electro-I-AIM.pdf
Hoja-5-Resuelta-Electro-I-AIM.pdf