chevron_left
chevron_right
Todo
Apuntes
Ejercicios
Exámenes
chevron_left
chevron_right

Hay muchos de las fichas hechos pero no tienen porque estar todos bien. Hay sobretodo de la parte de electrostática.

67 páginas

He publicado nuevos apuntes de 2º Electromagnetismo I: Apuntes-Electro-I.pdf

66 páginas

ejercicios

-

Ejercicios resueltos

He publicado nuevos ejercicios de 2º Electromagnetismo I: Ejercicios resueltos

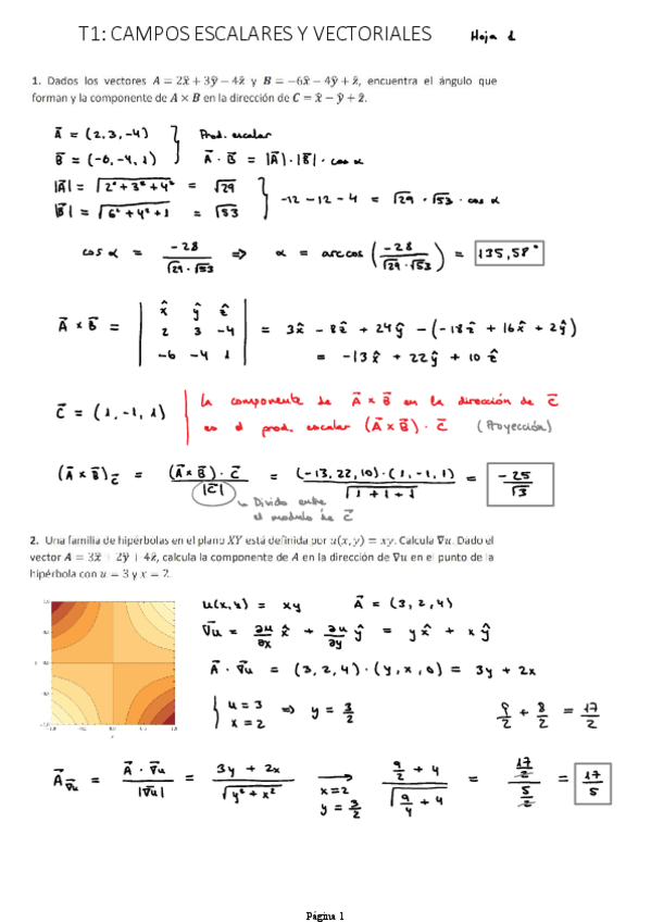
Hoja-1-Ejercicios-T1.pdf
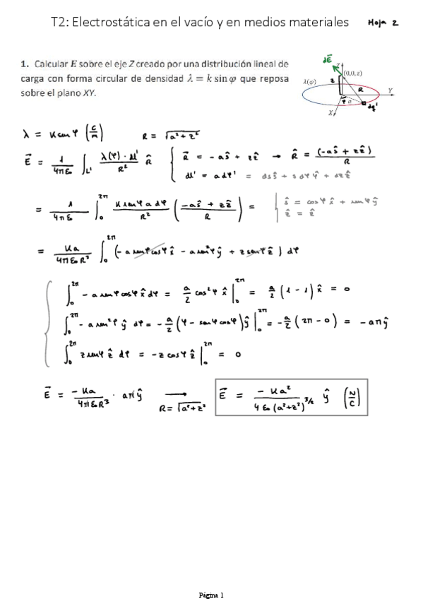
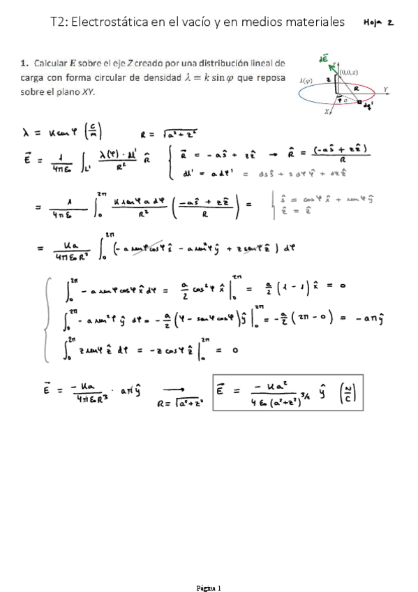
Hoja-2-Ejercicios-T2.pdf
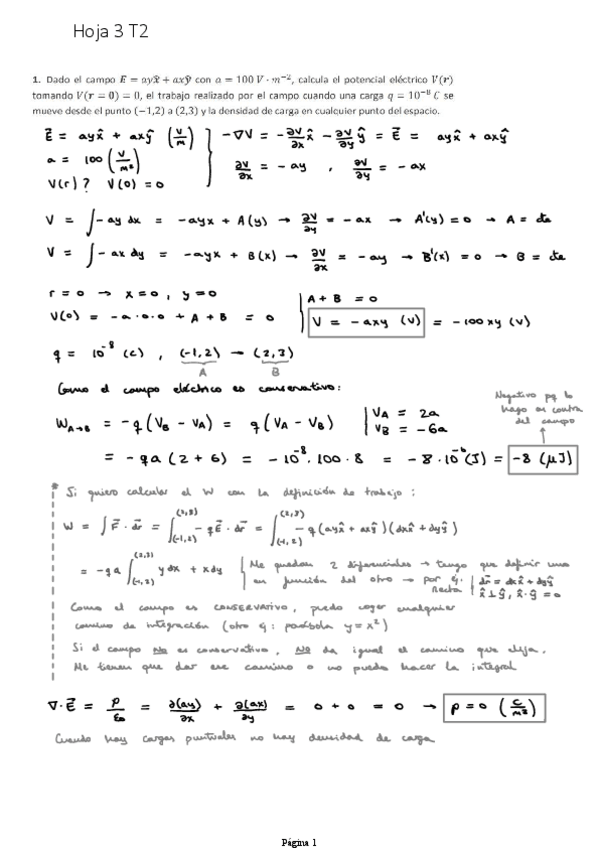
Hoja-3-Ejercicios-T2.pdf
Hoja-4-Ejercicios-T2.pdf
Hoja-5-Ejercicios-T2.pdf
Hoja-6-Ejercicios-T3.pdf

He publicado nuevos examenes de 2º Electromagnetismo I: FORMULARIO-Final.pdf

2 páginas

He publicado nuevos examenes de 2º Electromagnetismo I: FORMULARIO-Parcial.pdf

2 páginas

He publicado nuevos apuntes de 2º Electromagnetismo I: Tema-2-Electrostatica.pdf

17 páginas

He publicado nuevos apuntes de 2º Electromagnetismo I: Tema-1-Campos-escalares-y-vectoriales.pdf

11 páginas
¡Estás al día!

¡Estás al día!

Has visto todos los archivos