Anónimo
Es del año pasado pero con muchas cosas en comun
Temario-completo-apuntes-y-ejercicios.pdf
62 páginas
Ejercicios - BOLETIN-1-EMII.pdf
pdf
37 páginas
127
0
Ejercicios - BOLETIN-3-EMII.pdf
12 páginas
106
Ejercicios - BOLETIN-2-EMII.pdf
23 páginas
102
Apuntes - TIPOS-TEST-ANOS-ANTERIORES-ELECTRO-II.pdf
10 páginas
55
Ejercicios - EM2.-Boletin-1puede-haber-fallos-y-la-p.pdf
40 páginas
44
Apuntes - Electrotestexamen.pdf
7 páginas
57
Apuntes - TIPOTESTEMII.pdf
11 páginas
48
Apuntes - RESUMEN-ELECTRO-EXAMEN-TODOS-LOS-TEMAS.pdf
19 páginas
45
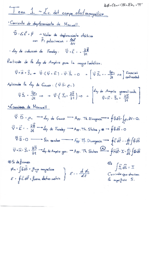
Apuntes - TEMA-1-EMII.pdf
6 páginas
50
Apuntes - TEMA-3-EMII.pdf
Apuntes - Boletin-I-Electro-II.pdf
8 páginas
53
Apuntes - TEMA-2-EMII.pdf
4 páginas
51
Apuntes - Tema-1-4.pdf
26 páginas
71
Apuntes - TEMA-8-EMII.pdf
40
Ejercicios - Boletin-1.pdf
9 páginas
46
1
Apuntes - TEMA-4-EMII.pdf
3 páginas
54
Apuntes - TEMA-7-EMII.pdf
42
Apuntes - Temario-completo-apuntes-y-ejercicios.pdf
Apuntes - TEMA-5-EMII.pdf
14 páginas
Apuntes - MINI-RESUMEN-ELECTRO-PARA-LOS-TIPO-TEST.pdf
35