chevron_left
chevron_right
Todo
Apuntes
Ejercicios
Exámenes
Otros
Prácticas
chevron_left
chevron_right

apuntes

-

ESQUEMAS 2 parcial

He publicado nuevos apuntes de 3º Electrónica Analógica: ESQUEMAS 2 parcial

TEMA-4.pdf
TEMA-5.pdf
TEMA-6.pdf

He publicado nuevos apuntes de 3º Electrónica Analógica: RESUMEN-TEMA-4-5-6.pdf

10 páginas

He publicado nuevos apuntes de 3º Electrónica Analógica: Resumenes-analogica.pdf

14 páginas

He publicado nuevos apuntes de 3º Electrónica Analógica: Apuntes-analogica-enteros.pdf

55 páginas

He publicado nuevos apuntes de 3º Electrónica Analógica: Analogica-2o-parte.pdf

26 páginas
Anónimo

@Anónimo

He publicado nuevos examenes de 3º Electrónica Analógica: Primer-parcialEA2025-26con-solucion.pdf

6 páginas

en los MOSFET, id=kn(Vgs-vt)^2

8 páginas

He publicado nuevos apuntes de 3º Electrónica Analógica: Analogica-T3.pdf

6 páginas

He publicado nuevos apuntes de 3º Electrónica Analógica: Analogica-T2.pdf

12 páginas

He publicado nuevos apuntes de 3º Electrónica Analógica: Analogica-T1.pdf

11 páginas
Anónimo

@Anónimo

He publicado nuevos examenes de 3º Electrónica Analógica: Soluciones-examenes-enero-analogica.pdf

81 páginas
Anónimo

@Anónimo

He publicado nuevos examenes de 3º Electrónica Analógica: Soluciones-parciales-analogica-2024-2012.pdf

68 páginas

practicas

-

Informes de Laboratorio

He publicado nuevos practicas de 3º Electrónica Analógica: Informes de Laboratorio

Previas-5.pdf
Previas-4.pdf
Informe-1.pdf

He publicado nuevos examenes de 3º Electrónica Analógica: Examen-Lab.pdf

1 página

He publicado nuevos apuntes de 3º Electrónica Analógica: EAApuntes5.1Realimentacion.pdf

15 páginas

pa que te lo goces

8 páginas

practicas

-

Laboratorios

He publicado nuevos practicas de 3º Electrónica Analógica: Laboratorios

Practica-2-electronica-analogica.pdf
Cuestiones-previas-laboratorio-Analogica-3.pdf
INFORME-PRACTICA-1.pdf
Cuestiones-previas-p5.pdf

pa que te lo goces

9 páginas

apuntes

-

Apuntes por temas

He publicado nuevos apuntes de 3º Electrónica Analógica: Apuntes por temas

Apuntes-EA-T3.pdf
Apuntes-EA-T1.pdf
Apuntes-EA-T2.pdf

He publicado nuevos apuntes de 3º Electrónica Analógica: EJERCICIOS-EXAMENES-ANALOGICA.pdf

53 páginas

practicas

-

Analog_Practicas

He publicado nuevos practicas de 3º Electrónica Analógica: Analog_Practicas

Practica01.pdf

pa que te lo goces

11 páginas

practicas

-

LABORATORIOS COMPLETOS

He publicado nuevos practicas de 3º Electrónica Analógica: LABORATORIOS COMPLETOS

CUESTIONES-PREVIAS-PRACTICA-5-ANALOGICA.pdf
CUESTIONES-PREVIAS-PRACTICA-4-ANALOGICA.pdf
CUESTIONES-PREVIAS-PRACTICA-3-ANALOGICA.pdf
PRACTICA-1-ANALOGICA.pdf
PRACTICA-2-ANALOGICA.pdf

He publicado nuevos apuntes de 3º Electrónica Analógica: Resumen-EA.pdf

10 páginas
Anónimo

@Anónimo

He publicado nuevos apuntes de 3º Electrónica Analógica: Aplicaciones-Transistores.pdf

1 página

apuntes

-

Apuntes parcial 1

He publicado nuevos apuntes de 3º Electrónica Analógica: Apuntes parcial 1

Tema-1.pdf
Tema-2.pdf
Tema-3.pdf

examenes

-

Parcial 1 y 2 EA

He publicado nuevos examenes de 3º Electrónica Analógica: Parcial 1 y 2 EA

Parcial-2-16-17-EA.pdf
Parcial-2-17-18-EA.pdf
Parcial-2-18-19-EA.pdf
Parcial-2-19-20-EA.pdf
Parcial-2-20-21-EA.pdf
Parcial-2-21-21-EA.pdf

practicas

-

LABORATORIOS Y CUESTIONES PREVIAS

He publicado nuevos practicas de 3º Electrónica Analógica: LABORATORIOS Y CUESTIONES PREVIAS

Cuestiones-previas-3.pdf
Cuestiones-previas-5.pdf
PRACTICA-1-ANALOGICA.pdf
PRACTICA-2-ANALOGICA.pdf
PRACTICA-3-ANALOGICA.pdf
PRACTICA-4-ANALOGICA.pdf

apuntes

-

Teoría y Problemas - Electrónica Analógica

He publicado nuevos apuntes de 3º Electrónica Analógica: Teoría y Problemas - Electrónica Analógica

T1-Amplificador-Operacional-Ideal.pdf
T3-Amplificador-FET.pdf
T4.1-Respuesta-En-Frecuencia.pdf
T4.2-Amplificadores-En-Alta-Frecuencia.pdf
T5.2-Teoria-De-La-Oscilacion.pdf

practicas

-

Prácticas y cuestiones previas

He publicado nuevos practicas de 3º Electrónica Analógica: Prácticas y cuestiones previas

Practica-5.pdf
Cuestiones-Previas-6.pdf

He publicado nuevos apuntes de 3º Electrónica Analógica: Tema-4.pdf

6 páginas

He publicado nuevos apuntes de 3º Electrónica Analógica: Apuntes-1o-Parcial.pdf

5 páginas

He publicado nuevos apuntes de 3º Electrónica Analógica: Apuntes-Analogica-COMPLETOS.pdf

53 páginas

apuntes

-

Teoría y Ejercicios (21-22)

He publicado nuevos apuntes de 3º Electrónica Analógica: Teoría y Ejercicios (21-22)

Tema-4.pdf
Tema-5.pdf
Tema-6.pdf
Tema-3.pdf
Tema-2.pdf
Anónimo

@Anónimo

apuntes

-

Apuntes

He publicado nuevos apuntes de 3º Electrónica Analógica: Apuntes

t5analog-1.pdf
t4analog-1.pdf
t6analog.pdf

apuntes

-

Apuntes Electrónica Analógica

He publicado nuevos apuntes de 3º Electrónica Analógica: Apuntes Electrónica Analógica

3.pdf
1.pdf
2.pdf
Tema-4-Apuntes-y-Resumen.pdf
5.pdf

apuntes

-

Analógica 2021

He publicado nuevos apuntes de 3º Electrónica Analógica: Analógica 2021

Tema-1-Amplificador-Operacional.pdf
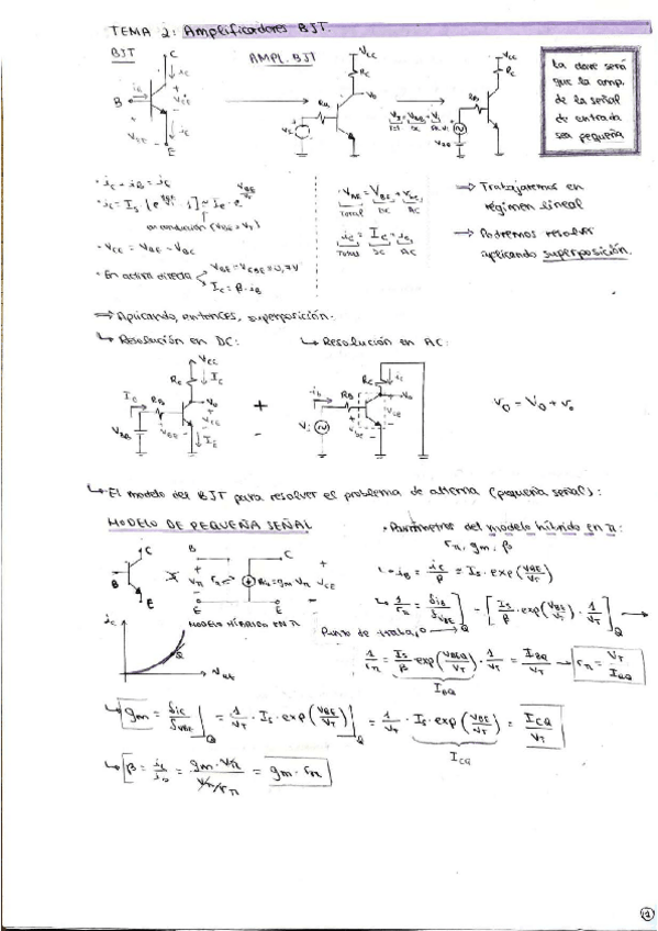
Tema-2-Amplificador-BJT.pdf
Tema3Amplificadores-FET-basicos.pdf
T6Circuitos-Integrados.pdf
T5Realimentacion.pdf
T4Respuesta-en-frecuencia.pdf

apuntes

-

PRÁCTICAS ELECTRÓNICA ANALÓGICA

He publicado nuevos apuntes de 3º Electrónica Analógica: PRÁCTICAS ELECTRÓNICA ANALÓGICA

Practica-2-Analogica.pdf
P1-ANALOGICA.pdf

apuntes

-

PRÁCTICAS ELECTRÓNICA ANALÓGICA

He publicado nuevos apuntes de 3º Electrónica Analógica: PRÁCTICAS ELECTRÓNICA ANALÓGICA

Practica-2-Analogica.pdf
P1-ANALOGICA.pdf

examenes

-

Exámenes Resueltos

He publicado nuevos examenes de 3º Electrónica Analógica: Exámenes Resueltos

Primer-parcialA30212-13.pdf
Segundo-parcialA30212-13.pdf
Examen-final-julio12-13.pdf
Examen-final-julio14-15.pdf
Examen-final-junio13-14.pdf
Primer-parcialA30214-15.pdf
Anónimo

@Anónimo

He publicado nuevos apuntes de 3º Electrónica Analógica: TEMA-2.pdf

19 páginas
Anónimo

@Anónimo

He publicado nuevos apuntes de 3º Electrónica Analógica: TEMA-1.pdf

8 páginas

He publicado nuevos examenes de 3º Electrónica Analógica: Primer-parcial-Electronica-AnalogicaA302con-solucion.pdf

4 páginas

He publicado nuevos examenes de 3º Electrónica Analógica: Segundo-parcial-EA-2018-19A302con-soluciones.pdf

5 páginas

He publicado nuevos examenes de 3º Electrónica Analógica: Examen-enero-EA2018-19con-soluciones.pdf

5 páginas

He publicado nuevos apuntes de 3º Electrónica Analógica: Resumenes-ECAANALOGICA.pdf

10 páginas

examenes

-

EXAMENES

He publicado nuevos examenes de 3º Electrónica Analógica: EXAMENES

Examen-eneroElectronica-Analogica17-18con-soluciones.pdf
SOLUCION-16-17-A309-Control-Parte-A-Eval-Continua.pdf
Segundo-parcial-EA-2018-19A302con-soluciones.pdf
Examen-enero-EA2018-19con-soluciones.pdf
Enunciado-y-solucion-del-primer-parcial-de-la-evaluacion-continua2018-19.pdf
primer-control-2016-2017-basil-solucion.pdf

ejercicios

-

Problemas Resueltos

He publicado nuevos ejercicios de 3º Electrónica Analógica: Problemas Resueltos

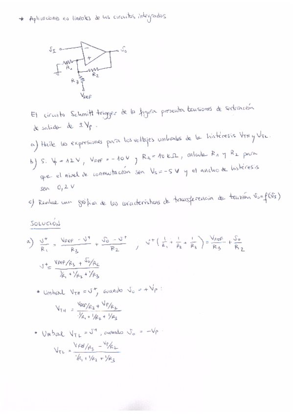
problema-Schimitt-trigger.pdf
Amplificadores-Problemas-resueltos.pdf
Problemas.pdf

practicas

-

Laboratorio

He publicado nuevos practicas de 3º Electrónica Analógica: Laboratorio

GUIA-PSPICE.pdf
APARATOS.pdf

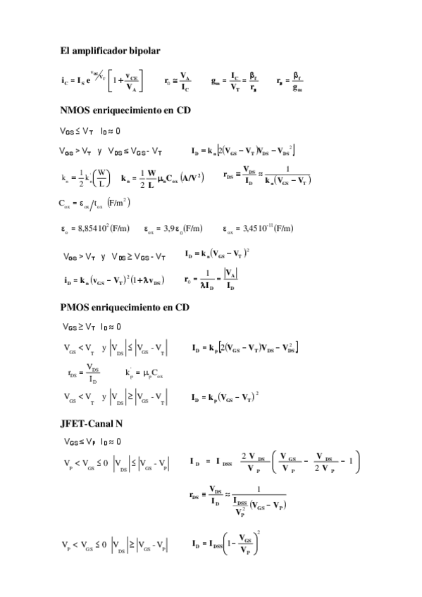
He publicado nuevos otros de 3º Electrónica Analógica: Hoja-formulas.pdf

1 página

apuntes

-

Diapositivas

He publicado nuevos apuntes de 3º Electrónica Analógica: Diapositivas

Tema-4-bis-Amplificadores-en-alta-frecuencia.pdf
Tema-2-Amplificador-BJT.pdf
Tema-4-Amplificadores-en-Alta-Frecuencia-BASIL.pdf
Tema-3-Amplificador-FET.pdf
Tema-6-Aplicaciones-no-lineales-del-AO.pdf
Tema-5-1-Realimentacion-en-Circuitos-Electronicos.pdf
¡Estás al día!

¡Estás al día!

Has visto todos los archivos