Todo
Apuntes
chevron_left
chevron_right

apuntes

-

Electrónica

He publicado nuevos apuntes de 2º Electrónica Analógica: Electrónica

Examenes-de-Electronica.pdf
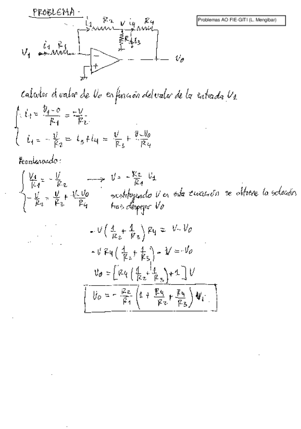
AO-Problemas-Resueltos.pdf
TRANSI1.pdf
AO-Apuntes-II.pdf
AO-Apuntes-I-repaired.pdf
AO-Problemas.pdf

apuntes

-

Eléctrica

He publicado nuevos apuntes de 2º Electrónica Analógica: Eléctrica

Problemas-electrica.pdf
Electrica-Libro-Circuitos-electricos-Jesus-Fraile-Mora.pdf
Electrica-Libro-Electrotecnia-electromagnetismo-y-circuitos-electricos-Jesus-Fraile-Mora.pdf
Examenes-electrica.pdf
Libro-electrica.pdf
¡Estás al día!

¡Estás al día!

Has visto todos los archivos