Electrónica Física

chevron_left
chevron_right
Todo
Apuntes
Ejercicios
Exámenes
Otros
publication
Test
chevron_left
chevron_right

ejercicios

-

Ejercicios todo el temario

He publicado nuevos ejercicios de 4º Electrónica Física: Ejercicios todo el temario

Ejercicios-semiconductores.pdf
Ejercicios-Estadistica-de-semiconductores.pdf
Ejercicios-Generacion-y-Recombinacion.pdf
Ejercicios-La-union-PN.pdf

apuntes

-

Apuntes todo el temario

He publicado nuevos apuntes de 4º Electrónica Física: Apuntes todo el temario

Estadistica-de-semiconductores.pdf
Generacion-y-Recombinacion.pdf
Transporte-de-carga-en-semiconductores.pdf
La-union-PN.pdf
Otras-uniones-y-transistores.pdf

ejercicios

-

EjerciciosResueltos

He publicado nuevos ejercicios de 4º Electrónica Física: EjerciciosResueltos

Rel1240613102129.pdf
Rel2240609205611.pdf
Rel3y4240611174804.pdf
Rel5240613004411.pdf

ejercicios

-

Todas las relaciones de Electrónica Física

He publicado nuevos ejercicios de 4º Electrónica Física: Todas las relaciones de Electrónica Física

Relacion-3-y-4.pdf
Relacion-Tema-5.pdf
Relacion-6.pdf
Relacion-2.pdf
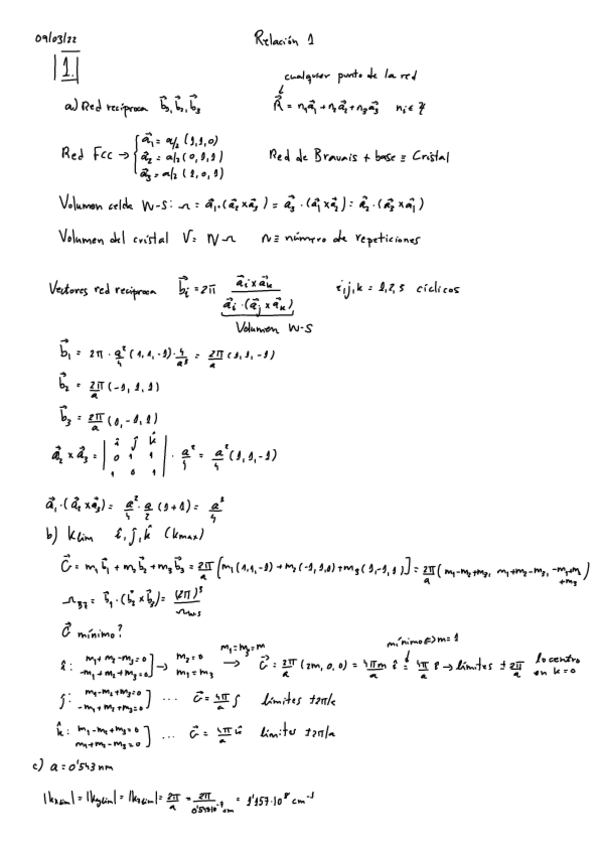
Relacion-1.pdf

He publicado nuevos examenes de 4º Electrónica Física: Examenordinario24-25.pdf

2 páginas

examenes

-

Exámenes resueltos

He publicado nuevos examenes de 4º Electrónica Física: Exámenes resueltos

Examen-15-de-junio-de-2021.pdf
Examen-ordinario-junio-2017.pdf
Examen-de-junio-2014.pdf
Examen-junio-2015.pdf
Examen-junio-2018.pdf
Examen-Junio-2022.pdf

ejercicios

-

Relaciones resueltas 2025

He publicado nuevos ejercicios de 4º Electrónica Física: Relaciones resueltas 2025

Relacion-1-Fund-semiconductores.pdf
Relacion-3-Movilidad-y-recombinacion.pdf
Relacion-4-Union-p-n.pdf
Relacion-5-Transistores.pdf

ejercicios

-

Relaciones resueltas (2024-2025)

He publicado nuevos ejercicios de 4º Electrónica Física: Relaciones resueltas (2024-2025)

Relacion-1-Electronica-Fisica.pdf
Relacion-2-Electronica-Fisica.pdf
Relacion-3-y-4-Electronica-Fisica.pdf
Relacion-5-Electronica-Fisica.pdf
Relacion-6-Electronica-Fisica.pdf
Anónimo

@Anónimo

Formulario del examen a LaTex. Hay dos pequeñas erratas. La segunda formula de x_p es realmente x_n. El otro es que en el Tema 6 debe ser V_b=V_FB NO qV_b=V_FB, el potencial se da siempre en voltios.

1 página

ejercicios

-

Relaciones electrónica

He publicado nuevos ejercicios de 4º Electrónica Física: Relaciones electrónica

Relacion-1-electronica.pdf
Relacion-2-electronica.pdf
Relacion-3-y-4-electronicaa.pdf
Relacion-5-electronicaa.pdf
Relacion-tema-6-electronica.pdf
Relacion-6-corregida.pdf

He actualizado la relación 1 donde tenía un par de erratas en los últimos ejercicios

apuntes

-

Apuntes 2024-2025

He publicado nuevos apuntes de 4º Electrónica Física: Apuntes 2024-2025

Tema-1-Electronica-Fisica.pdf
Tema-2-Electronica-Fisica.pdf
Tema-3-Electronica-Fisica.pdf
Tema-4-Electronica-Fisica.pdf
Tema-5-Electronica-Fisica.pdf
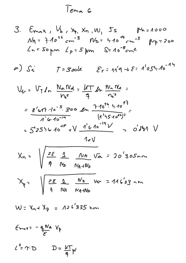
Tema-6-Electronica-Fisica.pdf

examenes

-

Exámenes Resueltos

He publicado nuevos examenes de 4º Electrónica Física: Exámenes Resueltos

Junio 2021.pdf
Junio 2019.pdf
Junio2018 (sin resolver).pdf
Julio 2018 (sin resolver).pdf
Junio 2017.pdf
Junio 2014 II.pdf

ejercicios

-

Relaciones resueltas 2021/22

He publicado nuevos ejercicios de 4º Electrónica Física: Relaciones resueltas 2021/22

Relacion-1.pdf
Relacion-2.pdf
Relacion-3-4-y-5.pdf
Relacion-6.pdf

apuntes

-

Diapositivas EF 2022

He publicado nuevos apuntes de 4º Electrónica Física: Diapositivas EF 2022

6.-La-union-P-N.pdf
1.-Bandas-en-semiconductores.pdf
2.-Estadistica-de-semiconductores.pdf
3.-Generacion-y-recombinacion-de-portadores-en-semiconductores.pdf
4.-Movilidad-de-portadores-en-semiconductores.pdf
5.-Transporte-de-carga-en-semiconductores.pdf

examenes

-

Test electrónica con justificación

He publicado nuevos examenes de 4º Electrónica Física: Test electrónica con justificación

Test-electronica-tema-1-y-2-con-justificacion.pdf
Test-tema-3-y-4-con-justificacion.pdf

apuntes

-

Resumenes electrónica

He publicado nuevos apuntes de 4º Electrónica Física: Resumenes electrónica

Resumen-tema-1-electronica.pdf
Resumen-tema-2-electronica.pdf

ejercicios

-

Relaciones resueltas

He publicado nuevos ejercicios de 4º Electrónica Física: Relaciones resueltas

Relacion-4.pdf
Relacion-1.pdf
Relacion-2.pdf
Relacion-3.pdf

examenes

-

Examenes resueltos

He publicado nuevos examenes de 4º Electrónica Física: Examenes resueltos

Junio-2014.pdf
Junio-2019.pdf
Junio-2022.pdf
Junio2021.pdf
Junio2023.pdf
Septiembre-2014.pdf

apuntes

-

Teoria

He publicado nuevos apuntes de 4º Electrónica Física: Teoria

E1.pdf
E2.pdf
E3.pdf
E4.pdf
E5.pdf

ejercicios

-

Relaciones Resueltas

He publicado nuevos ejercicios de 4º Electrónica Física: Relaciones Resueltas

Zapdos1.pdf
Zapdos2.pdf
Zapdos3.pdf
Zapdos4.pdf

He publicado nuevos apuntes de 4º Electrónica Física: Formularioexamen.pdf

1 página

He publicado nuevos examenes de 4º Electrónica Física: 2023RESUELTO.pdf

3 páginas

He publicado nuevos apuntes de 4º Electrónica Física: Formulario.pdf

1 página

apuntes

-

Apuntes de teoría

He publicado nuevos apuntes de 4º Electrónica Física: Apuntes de teoría

Esquemas-1.pdf
Esquemas-2.pdf
Esquemas-3.pdf
Esquemas-4.pdf
Esquemas-5.pdf

apuntes

-

Relaciones

He publicado nuevos apuntes de 4º Electrónica Física: Relaciones

Relacion-5.pdf
Relacion-1.pdf
Relacion-3-Y-4.pdf
Relacion-2.pdf

apuntes

-

Resúmenes Teoría

He publicado nuevos apuntes de 4º Electrónica Física: Resúmenes Teoría

Teoria-Tema-1.pdf
Teoria-Tema-2.pdf
Teoria-Tema-3.pdf
Teoria-Tema-4.pdf
Teoria-Tema-5.pdf

apuntes

-

Apuntes 22/23

He publicado nuevos apuntes de 4º Electrónica Física: Apuntes 22/23

Tema-1.pdf
Tema-2.pdf
Tema-3.pdf
Tema-4.pdf
Tema-5.pdf
Tema-6.pdf

apuntes

-

Resumenes por tema

He publicado nuevos apuntes de 4º Electrónica Física: Resumenes por tema

Resumen-Tema2.pdf
Resumen-Tema3.pdf
Resumen-Tema4.pdf
Resumen-Tema5.pdf
Resumen-Tema6.pdf

examenes

-

Exámenes Electrónica Física

He publicado nuevos examenes de 4º Electrónica Física: Exámenes Electrónica Física

Formulario.pdf
Junio2022resuelto.pdf
Junio2023enunciados.pdf

ejercicios

-

Ejercicios resueltos (22-23)

Relaciones de ejercicios resueltas del curso 22-23

Ejercicios-tema-1.pdf
Ejercicios-tema-2.pdf
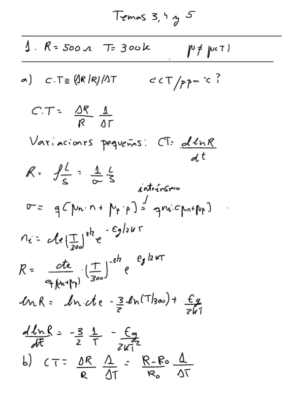
Ejercicios-temas-3-4-y-5.pdf

He publicado nuevos apuntes de 4º Electrónica Física: EFis-Formulario Electrónica Física.pdf

1 página

apuntes

-

Resúmenes Electrónica Física

He publicado nuevos apuntes de 4º Electrónica Física: Resúmenes Electrónica Física

Tema-4.pdf
Tema-6.pdf
Tema-1.pdf
Tema-3.pdf
Tema-2.pdf
Tema-5.pdf

apuntes

-

Apuntes 22-23

Apuntes de la asignatura del curso 22-23

Tema-1.pdf
Tema-2.pdf
Tema-3.pdf
Tema-4.pdf
Tema-5.pdf
Tema-6.pdf

apuntes

-

Resúmenes de Electrónica Física

Basados en las diapositivas de clase (temas 1-6)

Tema-1.-Bandas-en-semiconductores.pdf
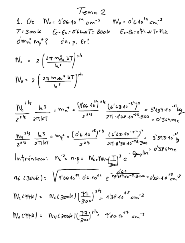
Tema-2.-Estadistica-de-semiconductores.pdf
Tema-3.-Generacion-y-recombinacion-de-portadores.pdf
Tema-4.-Movilidad-de-los-portadores.pdf
Tema-5.-Difusion-de-portadores.pdf
Tema-6.-La-union-P-N.pdf

He publicado nuevos apuntes de 4º Electrónica Física: Bloc-de-notas-sin-titulo.pdf

13 páginas

He publicado nuevos apuntes de 4º Electrónica Física: Electronica.pdf

22 páginas

He publicado nuevos apuntes de 4º Electrónica Física: Formulario-Electronica.pdf

3 páginas

He publicado nuevos apuntes de 4º Electrónica Física: Problemas-Electronica.pdf

60 páginas

He publicado nuevos apuntes de 4º Electrónica Física: Problemas-Electronica-Clase.pdf

40 páginas

He publicado nuevos apuntes de 4º Electrónica Física: formulario-electronica.pdf

1 página

He publicado nuevos examenes de 4º Electrónica Física: examenes-resueltos y resumen.pdf

16 páginas

ejercicios

-

RELACIONES

He publicado nuevos ejercicios de 4º Electrónica Física: RELACIONES

relacion-34-y-5.pdf
relacion2.pdf
relacion1.pdf

examenes

-

TESTS 21/22

He publicado nuevos examenes de 4º Electrónica Física: TESTS 21/22

test3y4-electronica-fisica.pdf
test5.pdf
test-1y2-sin-sol.pdf
Test-temas-1-y-2.pdf
Anónimo

@Anónimo

apuntes

-

Test de Electrónica

He publicado nuevos apuntes de 4º Electrónica Física: Test de Electrónica

TestTema6.pdf
Test1y2.pdf
Anónimo

@Anónimo

He publicado nuevos apuntes de 4º Electrónica Física: Examenes-electronica-.pdf

63 páginas

test

-

Tests Resueltos 21-22

He publicado nuevos test de 4º Electrónica Física: Tests Resueltos 21-22

Test-1-2-EF.pdf
Test-3-4-EF.pdf
Test-5-EF.pdf
Test-6-EF.pdf

He publicado nuevos apuntes de 4º Electrónica Física: Formulario-Examen.pdf

1 página
Anónimo

@Anónimo

He publicado nuevos otros de 4º Electrónica Física: Formulario-5-1-1.pdf

1 página

He publicado nuevos examenes de 4º Electrónica Física: junio2022.pdf

1 página
Anónimo

@Anónimo

ejercicios

-

Resueltos PN

He publicado nuevos ejercicios de 4º Electrónica Física: Resueltos PN

Prob-PN-08.pdf
Prob-PN-06.pdf
Prob-PN-07.pdf
Prob-PN-10.pdf
Prob-PN-01.pdf
Prob-PN-04.pdf