Electrónica Física

chevron_left
chevron_right
Todo
Apuntes
Exámenes
Otros
Trabajos
chevron_left
chevron_right

apuntes

-

Resumen_y_Apuntes_KALDANAA

Resumen realizado para estudio de parcial

ResumenTeoriaBandasKALDANAA.pdf
ResumemContacto-SC-MetalKALDANAA.pdf
TransitorBJT2KALDANAA.pdf
TransitorBJT1KALDANAA.pdf

Recull de 30 preguntes i respostes de teoria

28 páginas

Enunciat parcial 2 del desembre de 2018

3 páginas

Enunciat parcial 2 del 2016

2 páginas

Enunciat parcial 1 del 2016

2 páginas

Recopilació d'enunciats del parcial 2. Juny 2015, Gener 2017, Juny 2017, Tardor 2015-16

4 páginas

Preguntes d'exàmens de Juny 2015, Gener 2017, Setembre 2017 resoltes

11 páginas

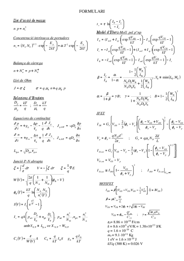
Formulari Oficial penjat al campus

2 páginas

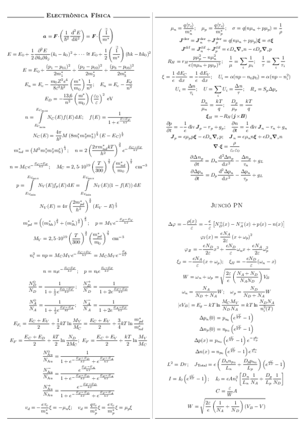
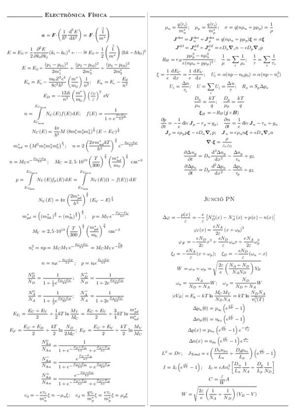
Formulari de l Albert Riquelme

2 páginas

Formulari d'en Paolo Pellegrino

1 página

Formulari pel parcial 2

3 páginas

Formulari a 2 cares pel parcial 1

2 páginas

He publicado nuevos examenes de 4º Electrónica Física: Recopilacio-enunciats-parcial-2.pdf

4 páginas

He publicado nuevos otros de 4º Electrónica Física: Formulari-Parcial-2-Albert-Ripoll.pdf

3 páginas

He publicado nuevos otros de 4º Electrónica Física: Formulari-Parcial-1-Albert-Ripoll.pdf

2 páginas

He publicado nuevos examenes de 4º Electrónica Física: Electronica-examens-resoltsAlbert-Ripoll.pdf

11 páginas

examenes

-

Exàmens d'anys anteriors

Es recullen enunciats 2015-2017

examen-gener-2017.pdf
parcial1-2016.pdf
parcial2-2016.pdf
Final-Juny-2017-enunciats-teoria-i-problemes.pdf
Examen-teoria-setembre-2017.pdf
Examen-final-Juny-2015.pdf
¡Estás al día!

¡Estás al día!

Has visto todos los archivos