Electrónica Física

chevron_left
chevron_right
Todo
Apuntes
Ejercicios
Exámenes
chevron_left
chevron_right

He publicado nuevos apuntes de 3º Electrónica Física: Formulario-ELCAF-Completo-Ingles.pdf

4 páginas

ejercicios

-

Exercises

He publicado nuevos ejercicios de 3º Electrónica Física: Exercises

Unit-1-Home-Exercises.pdf
Unit-2-Home-Exercises.pdf

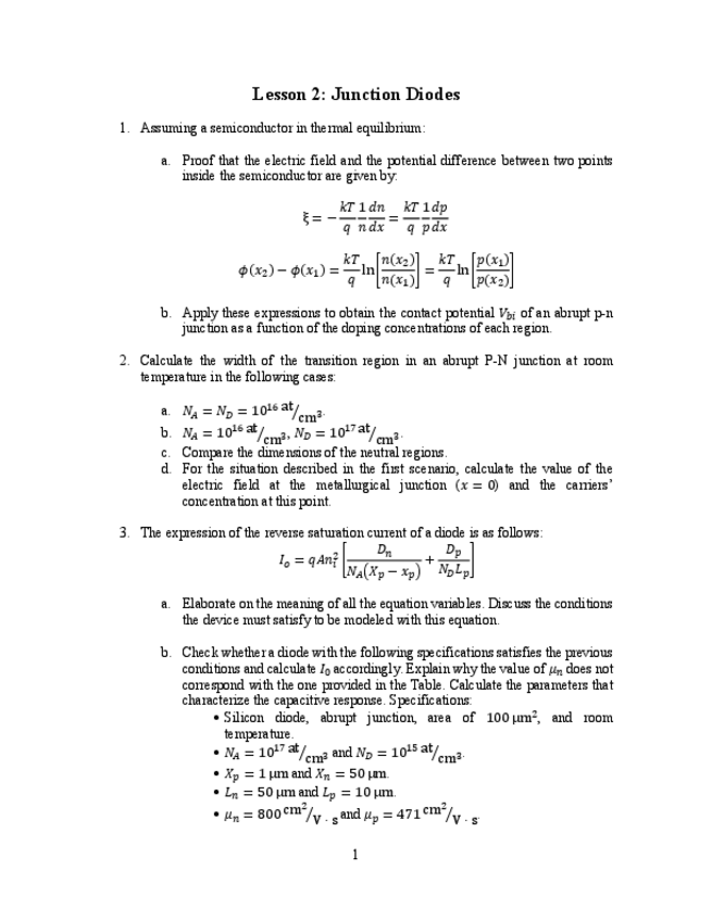
He publicado nuevos ejercicios de 3º Electrónica Física: Lesson-2-home.pdf

4 páginas

He publicado nuevos ejercicios de 3º Electrónica Física: Lesson-1-home.pdf

3 páginas

He publicado nuevos ejercicios de 3º Electrónica Física: Boletin-1-clase.pdf

11 páginas

He publicado nuevos ejercicios de 3º Electrónica Física: Boletin-1-propuesto.pdf

12 páginas

ejercicios

-

TODOS LOS EJERCICIOS DEL TEMA 4 RESUELTOS

He publicado nuevos ejercicios de 3º Electrónica Física: TODOS LOS EJERCICIOS DEL TEMA 4 RESUELTOS

BOLETIN-4-EJERCICIOS-PROPUESTO-RESUELTOS.pdf
BOLETIN-4-RESUELTO-PARTE-1.pdf
BOLETIN-4-RESUELTO-PARTE-2.pdf

ejercicios

-

TODOS LOS EJERCICIOS TEMA 2 RESUELTOS

He publicado nuevos ejercicios de 3º Electrónica Física: TODOS LOS EJERCICIOS TEMA 2 RESUELTOS

BOLETIN-2-EJERCICOS-PROPUESTOS-RESUELTOS.pdf
BOLETIN-2-RESUELTO-PARTE-1.pdf
BOLETIN-2-RESUELTO-PARTE-2.pdf

He publicado nuevos ejercicios de 3º Electrónica Física: BOLETIN-1-EJERCICIOS-PROPUESTO-RESUELTO.pdf

10 páginas

He publicado nuevos ejercicios de 3º Electrónica Física: BOLETIN-1-RESUELTO.pdf

11 páginas

He publicado nuevos apuntes de 3º Electrónica Física: Summary-Unit-1.pdf

4 páginas

formulario + resumen segundo parcial

9 páginas

resumen 2 parc except mosfet large and small signal eq circuit porque no sé si nos entran este año :)

8 páginas

apuntes

-

FORMULARIO

He publicado nuevos apuntes de 3º Electrónica Física: FORMULARIO

Formulariocurso-completo.docx
Formulariocurso-completo.pdf

He publicado nuevos apuntes de 3º Electrónica Física: formularioresumen-1-parcial.pdf

7 páginas

He publicado nuevos examenes de 3º Electrónica Física: Ejercicios-de-examenes.pdf

70 páginas

He publicado nuevos ejercicios de 3º Electrónica Física: Boletin-1-ELCAF.pdf

8 páginas

He publicado nuevos apuntes de 3º Electrónica Física: Temario-elcaf-completo.pdf

40 páginas

He publicado nuevos examenes de 3º Electrónica Física: Examenes-2-parcial.pdf

45 páginas

He publicado nuevos examenes de 3º Electrónica Física: Examenes-1-parcial.pdf

62 páginas

He publicado nuevos ejercicios de 3º Electrónica Física: Boletines-resueltos.pdf

58 páginas

Formulario muy completo de Electrónica Física.

4 páginas

examenes

-

2o Parcial 20-21 RESUELTO

He publicado nuevos examenes de 3º Electrónica Física: 2o Parcial 20-21 RESUELTO

Enunciado-Segundo-Parcial-20-21.pdf
2-Parcial-20-21-Resuelto.pdf

apuntes

-

Ejercicios Corregidos Profesor

100% transcritos de los apuntes del profe

T1-Ejercicios-Resueltos-Profesor.pdf

He publicado nuevos examenes de 3º Electrónica Física: Examenes-Resueltos-de-la-parte-2.pdf

24 páginas

He publicado nuevos examenes de 3º Electrónica Física: Control-2.-Resuelto.-2023-2024.pdf

7 páginas

He publicado nuevos examenes de 3º Electrónica Física: ELCAF-JUNIO-2024.pdf

2 páginas

examenes

-

Examenes y Ejercicios Resueltos

Primer y Segundo Parcial con examenes y ejercicios corregidos

Ejercicios-Segundo-Parcial.pdf
Examenes-Segundo-Parcial.pdf
Examenes-Varios.pdf

He publicado nuevos apuntes de 3º Electrónica Física: Formulario-Parcial-2.pdf

2 páginas

He publicado nuevos apuntes de 3º Electrónica Física: Tema-5-Redactado.pdf

14 páginas

He publicado nuevos apuntes de 3º Electrónica Física: Tema-4TransistorBipolar.pdf

26 páginas

He publicado nuevos apuntes de 3º Electrónica Física: Apuntes-Tema-4-ELCAF-LaTeX.pdf

24 páginas

Ejercicios hechos en clase comentados

8 páginas

Ejercicios hechos en clase comentados

14 páginas

He publicado nuevos apuntes de 3º Electrónica Física: Formulario-Primera-Parte.pdf

2 páginas

He publicado nuevos apuntes de 3º Electrónica Física: Apuntes-Tema-1-ELCAF-LaTeX.pdf

21 páginas

He publicado nuevos apuntes de 3º Electrónica Física: Apuntes-Tema-3-ELCAF-LaTeX.pdf

3 páginas

He publicado nuevos apuntes de 3º Electrónica Física: Apuntes-Tema-2-ELCAF-LaTeX.pdf

29 páginas

ejercicios

-

BOLETINES RESUELROS

He publicado nuevos ejercicios de 3º Electrónica Física: BOLETINES RESUELROS

Boletin-2-Propuesto.pdf

He publicado nuevos apuntes de 3º Electrónica Física: Formulario-Parcial-1.pdf

2 páginas

He publicado nuevos apuntes de 3º Electrónica Física: Resumen-Tema-3-Ingles.pdf

7 páginas

He publicado nuevos ejercicios de 3º Electrónica Física: Boletin-1-Propuesto-Resuelto.pdf

7 páginas

He publicado nuevos ejercicios de 3º Electrónica Física: Boletin-2 Resuelto.pdf

18 páginas

apuntes

-

Apuntes Redactados

He publicado nuevos apuntes de 3º Electrónica Física: Apuntes Redactados

Tema-1-RedactadoELCAF.pdf
Tema-2-RedactadoELCAF.pdf

He publicado nuevos ejercicios de 3º Electrónica Física: Boletin-1-Resuelto.pdf

3 páginas

He publicado nuevos apuntes de 3º Electrónica Física: Formulario-Latex-Segunda-Parte.pdf

2 páginas

bjt y mosfet

2 páginas

apuntes

-

Formulario por parciales

Revisadlos por si hay algún fallo y os sirve de repaso ;)

Formulario-Temas-45.pdf
Formulario-Temas-123.pdf

He publicado nuevos apuntes de 3º Electrónica Física: ClassroomExercises-4.pdf

32 páginas

apuntes

-

Tema 4

He publicado nuevos apuntes de 3º Electrónica Física: Tema 4

ClassroomExercises-3.pdf
HomeExercises-2.pdf

He publicado nuevos apuntes de 3º Electrónica Física: Lesson-3-notes.pdf

13 páginas

He publicado nuevos apuntes de 3º Electrónica Física: esquema-tema-2.pdf

6 páginas

ejercicios

-

Tema 2

He publicado nuevos ejercicios de 3º Electrónica Física: Tema 2

ClassroomExercises-2.pdf
HomeExercises-1.pdf

ejercicios

-

Tema 1

He publicado nuevos ejercicios de 3º Electrónica Física: Tema 1

ClassroomExercises.pdf
HomeExercises.pdf

He publicado nuevos examenes de 3º Electrónica Física: Primer-parcial-2020.pdf

9 páginas

He publicado nuevos examenes de 3º Electrónica Física: Primer-parcial-2018.pdf

4 páginas

He publicado nuevos examenes de 3º Electrónica Física: Primer-parcial-2017.pdf

4 páginas

He publicado nuevos examenes de 3º Electrónica Física: Primer-parcial-2016.pdf

3 páginas

He publicado nuevos examenes de 3º Electrónica Física: Examen.pdf

8 páginas

He publicado nuevos examenes de 3º Electrónica Física: Convocatoria-diciembre-2017.pdf

3 páginas