Electrónica Industrial
Todo
Ejercicios
chevron_left
chevron_right
ejercicios
-
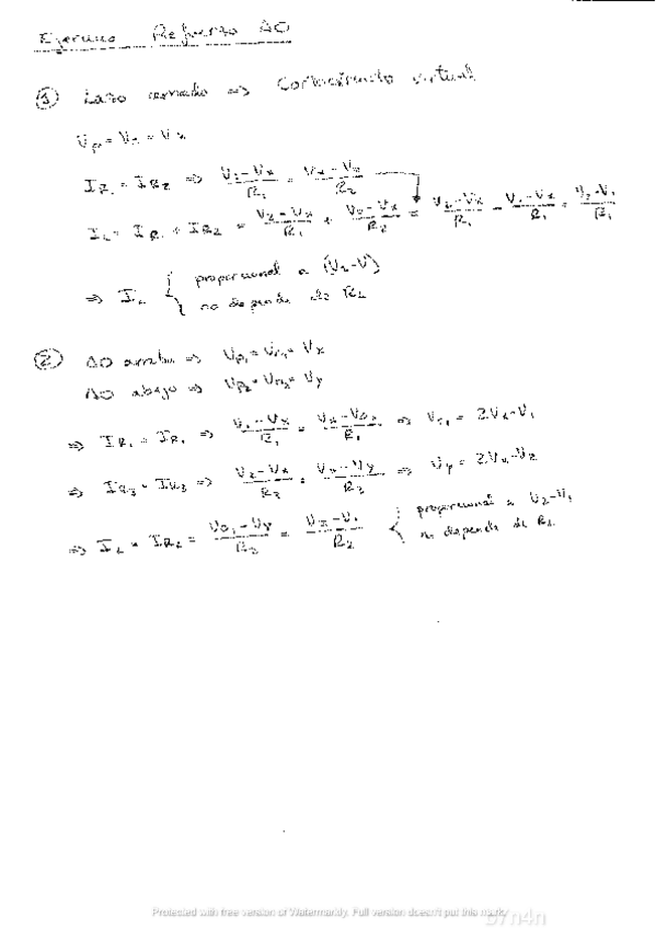
Ejercicios variados
He publicado nuevos ejercicios de 4º Electrónica Industrial: Ejercicios variados
¡Estás al día!
Has visto todos los archivos
ejercicios
-
Ejercicios variados
He publicado nuevos ejercicios de 4º Electrónica Industrial: Ejercicios variados
¡Estás al día!
Has visto todos los archivos