chevron_left
chevron_right
Todo
Apuntes
Ejercicios
Exámenes
Prácticas
chevron_left
chevron_right

ejercicios

-

Ej Resueltos Digital

He publicado nuevos ejercicios de 2º Electrónica y Automática: Ej Resueltos Digital

Unit-6.-Secuencial-circuits.pdf
Unit-5.-Combinational-circuits.pdf
Ej-Presentacion-T6.pdf

He publicado nuevos apuntes de 2º Electrónica y Automática: Resumen-Analogica.pdf

4 páginas

ejercicios

-

Boletines Analógica

He publicado nuevos ejercicios de 2º Electrónica y Automática: Boletines Analógica

Problems-U.1.pdf
Problems-U.2-Intro-And-Diodes.pdf
Problems-Unit-3.pdf
Problems-Unit-2-II.pdf

ejercicios

-

Boletines Automática

He publicado nuevos ejercicios de 2º Electrónica y Automática: Boletines Automática

BoletinT9Electronicsresuelto.pdf
Problems-Unit-10.pdf
Problems-Unit-9.pdf
Plantilla-de-Bode-en-blanco.pdf
Problems-Unit-8.pdf

examenes

-

DIGITAL

He publicado nuevos examenes de 2º Electrónica y Automática: DIGITAL

DIGITALOrdinaria2023.pdf
EjemploexamenDIGITAL.pdf

examenes

-

Exámenes Electrónica

He publicado nuevos examenes de 2º Electrónica y Automática: Exámenes Electrónica

extraordinariaautomaticaELECTRONICA2022.pdf
solparcial2024.pdf

examenes

-

Tests Electrónica

He publicado nuevos examenes de 2º Electrónica y Automática: Tests Electrónica

TEST-UNIT-8-2023.pdf
TEST-UNIT-9-AND-10-2023.pdf
Test-Digital.pdf
Test-Automatica.pdf
Test-Electronica.pdf

He publicado nuevos examenes de 2º Electrónica y Automática: Extraordinaria-2022-Automatica-Resuelto.pdf

4 páginas

He publicado nuevos ejercicios de 2º Electrónica y Automática: Boletin-Tema-11-Automatica.pdf

6 páginas

He publicado nuevos examenes de 2º Electrónica y Automática: Parcial-Automatica-2023-Resuelto.pdf

7 páginas

He publicado nuevos ejercicios de 2º Electrónica y Automática: Ejercicio-5-b-y-c-Boletin-Tema-8-Automatica.pdf

2 páginas

He publicado nuevos examenes de 2º Electrónica y Automática: Ordinaria-2023-Automatica-Resuelto.pdf

6 páginas

He publicado nuevos ejercicios de 2º Electrónica y Automática: Boletin-Tema-10-Automatica.pdf

6 páginas

ejercicios

-

Boletines Automática Temas 8 y 9

He publicado nuevos ejercicios de 2º Electrónica y Automática: Boletines Automática Temas 8 y 9

Boletin-Tema-8-Automatica.pdf
Boletin-Tema-9-Automatica.pdf

practicas

-

Prácticas Electrónica

He publicado nuevos practicas de 2º Electrónica y Automática: Prácticas Electrónica

Practica1AutomaticaAnalisisDeSistemas.pdf

He publicado nuevos ejercicios de 2º Electrónica y Automática: Boletin-Diodos-y-Transistores.pdf

25 páginas

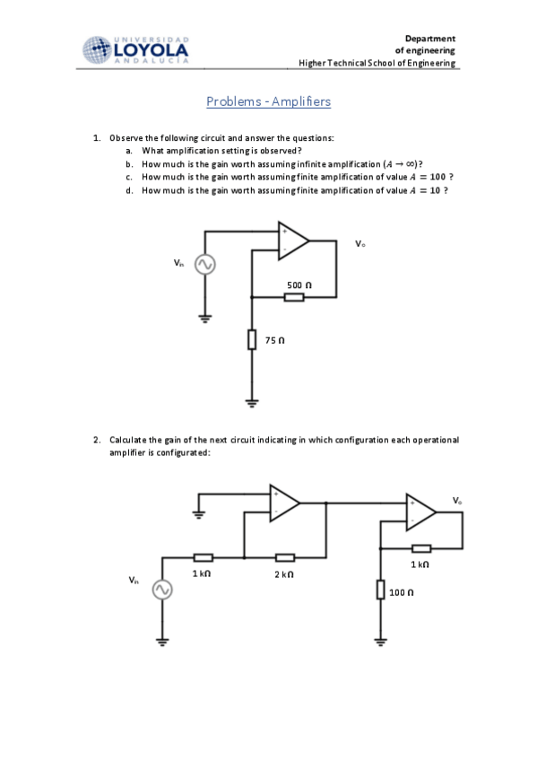
He publicado nuevos ejercicios de 2º Electrónica y Automática: Boletin-Amplificadores.pdf

4 páginas

He publicado nuevos ejercicios de 2º Electrónica y Automática: BOLETINES-AUTOMATICA.pdf

15 páginas

He publicado nuevos examenes de 2º Electrónica y Automática: EXTRAORDINARIA-2023.pdf

2 páginas

He publicado nuevos examenes de 2º Electrónica y Automática: ORDINARIA-2023.pdf

2 páginas

He publicado nuevos examenes de 2º Electrónica y Automática: EXTRAORDINARIA-2021-IOI.pdf

4 páginas

He publicado nuevos examenes de 2º Electrónica y Automática: ORDINARIA-2021-IOI.pdf

3 páginas

He publicado nuevos apuntes de 2º Electrónica y Automática: APUNTES-ANALOGICA.pdf

5 páginas

He publicado nuevos apuntes de 2º Electrónica y Automática: APUNTES-AUTOMATICA.pdf

24 páginas

He publicado nuevos ejercicios de 2º Electrónica y Automática: BOLETIN-AMPLIFICADORES-solucion.pdf

6 páginas

He publicado nuevos ejercicios de 2º Electrónica y Automática: EJERCICIOS-DIGITAL.pdf

15 páginas

He publicado nuevos examenes de 2º Electrónica y Automática: ORDINARIA-2022-con-solucion.pdf

7 páginas

He publicado nuevos apuntes de 2º Electrónica y Automática: APUNTES-DIGITAL.pdf

6 páginas

He publicado nuevos apuntes de 2º Electrónica y Automática: Digital.pdf

6 páginas
Anónimo

@Anónimo

He publicado nuevos examenes de 2º Electrónica y Automática: SolutionDigital2023.pdf

2 páginas
Anónimo

@Anónimo

He publicado nuevos examenes de 2º Electrónica y Automática: extraordinaria2023TecnologiaElectronica.pdf

2 páginas
Anónimo

@Anónimo

He publicado nuevos examenes de 2º Electrónica y Automática: Solucion-EyA-02-06-23.pdf

12 páginas
Anónimo

@Anónimo

He publicado nuevos examenes de 2º Electrónica y Automática: Exam-Ordinaria-digital230529102642.pdf

4 páginas
Anónimo

@Anónimo

He publicado nuevos examenes de 2º Electrónica y Automática: circuitos-BJT-y-amp-examenes.pdf

6 páginas
Anónimo

@Anónimo

He publicado nuevos examenes de 2º Electrónica y Automática: Todo-automatica-examenes.pdf

5 páginas
Anónimo

@Anónimo

He publicado nuevos examenes de 2º Electrónica y Automática: Solucion-Ordinaria-Tecnologia-Electronica-2023.pdf

8 páginas
Anónimo

@Anónimo

He publicado nuevos ejercicios de 2º Electrónica y Automática: Circuitos-todos-examenes.pdf

6 páginas

apuntes

-

Apuntes Automática

He publicado nuevos apuntes de 2º Electrónica y Automática: Apuntes Automática

ApuntesT7AutomaticaElenaCano.pdf
ApuntesT8AutomaticaElenaCano.pdf
ApuntesT9-1AutomaticaElenaCano.pdf
ApuntesT9-2AutomaticaElenaCano.pdf
ApuntesT10AutomaticaElenaCano.pdf
Anónimo

@Anónimo

He publicado nuevos examenes de 2º Electrónica y Automática: Partial-exam-06-03-23-solution.pdf

10 páginas
Anónimo

@Anónimo

He publicado nuevos examenes de 2º Electrónica y Automática: Partial-exam-automatic-2023.pdf

2 páginas
Anónimo

@Anónimo

He publicado nuevos examenes de 2º Electrónica y Automática: Examensol.pdf

6 páginas
Anónimo

@Anónimo

He publicado nuevos examenes de 2º Electrónica y Automática: SolucionOrdinariaAnalogica.pdf

10 páginas
Anónimo

@Anónimo

He publicado nuevos examenes de 2º Electrónica y Automática: DigitalExamOrdinariaFinal.pdf

4 páginas
Anónimo

@Anónimo

He publicado nuevos examenes de 2º Electrónica y Automática: Extraordinaria-2022-Tecnologia-Electronica.pdf

2 páginas
Anónimo

@Anónimo

He publicado nuevos examenes de 2º Electrónica y Automática: Ordinaria-2022-Tecnologia-Electronica.pdf

2 páginas
Anónimo

@Anónimo

He publicado nuevos examenes de 2º Electrónica y Automática: Ordinaria-2022-Electronica-y-Automatica.pdf

4 páginas
Anónimo

@Anónimo

He publicado nuevos examenes de 2º Electrónica y Automática: Examen-Ordinaria-Electronica-y-Automatica.pdf

3 páginas
Anónimo

@Anónimo

He publicado nuevos examenes de 2º Electrónica y Automática: Resolucion-examen-ordinario-eya.pdf

9 páginas

apuntes

-

Apuntes de todos los temas

He publicado nuevos apuntes de 2º Electrónica y Automática: Apuntes de todos los temas

UNIT-2.pdf
UNIT-3.pdf
UNIT-8.pdf
UNIT-9.pdf
UNIT-7.pdf
UNIT-2.pdf
¡Estás al día!

¡Estás al día!

Has visto todos los archivos