Todo
Apuntes
Ejercicios
Exámenes
chevron_left
chevron_right

ejercicios

-

Electrotecnia

Colección de problemas resueltos de corriente continua

Divisor de corriente con tres resistencias.pdf
Asociación de resistencias en paralelo del mismo valor.pdf
Circuito eléctrico serie con toma de tierra en diferentes puntos del circuito.pdf
Resistencia equivalente.pdf
Puente equilibrado de resistencias.pdf
Voltaje de nodo y método de las mallas.pdf

He publicado nuevos apuntes de Electrotecnia: CARRIERCONCENTRATIONS.pdf

66 páginas

examenes

-

MODELS 2012

He publicado nuevos examenes de Electrotecnia: MODELS 2012

pauelec12jl.pdf
pauelec12jp.pdf
pauelec12sl.pdf
pauelec12sp.pdf

examenes

-

MODELS 2011

He publicado nuevos examenes de Electrotecnia: MODELS 2011

pauelec11jl.pdf
pauelec11jp.pdf
pauelec11sl.pdf
pauelec11sp.pdf

examenes

-

MODELS 2010

He publicado nuevos examenes de Electrotecnia: MODELS 2010

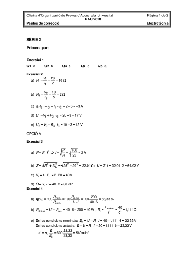
pauelec10jl.pdf
pauelec10jp.pdf
pauelec10sl.pdf
pauelec10sp.pdf

examenes

-

MODELS 2009

He publicado nuevos examenes de Electrotecnia: MODELS 2009

pauelec09jl.pdf
pauelec09jp.pdf
pauelec09sl.pdf
pauelec09sp.pdf

He publicado nuevos apuntes de Electrotecnia: EXPLICACION-DE-ELECTROMECANICA-1.4.pdf

2 páginas

He publicado nuevos apuntes de Electrotecnia: EXPLICACION-DE-ELECTROMECANICA-1.3.pdf

2 páginas

apuntes

-

Informática

He publicado nuevos apuntes de Electrotecnia: Informática

Redes-de-ordenadores.pdf
Perifericos.pdf
Ordenadores.pdf

apuntes

-

ELECTROTÈCNIA

He publicado nuevos apuntes de Electrotecnia: ELECTROTÈCNIA

Electro-selectivitat.pdf
Electro-selectivitat.pdf

He publicado nuevos ejercicios de Electrotecnia: Motors-corrent-continu.pdf

15 páginas

He publicado nuevos apuntes de Electrotecnia: Resum-teoria-Corrent-continu-formulari.pdf

1 página

He publicado nuevos apuntes de Electrotecnia: Transformadors-ELECTROTECNIA.pdf

1 página

He publicado nuevos apuntes de Electrotecnia: elementos-lineales-electro.pdf

6 páginas

tema 1 del libro de electro

22 páginas

examenes

-

examenes electrotecnia

He publicado nuevos examenes de Electrotecnia: examenes electrotecnia

4.pdf
10.pdf
3.pdf
9.pdf
7.pdf
2.pdf

He publicado nuevos examenes de Electrotecnia: Examen-de-Electrotecnia-5.pdf

8 páginas

He publicado nuevos examenes de Electrotecnia: Examen-de-Electrotecnia-6.pdf

4 páginas

He publicado nuevos examenes de Electrotecnia: Examen-de-Electrotecnia-4.pdf

16 páginas

He publicado nuevos examenes de Electrotecnia: Examen-de-Electrotecnia-3.pdf

32 páginas

He publicado nuevos examenes de Electrotecnia: Examen-de-Electrotecnia-2.pdf

16 páginas

He publicado nuevos examenes de Electrotecnia: Examen-de-Electrotecnia.pdf

32 páginas

examenes

-

Exámenes Resueltos Electrotecnia PAU 2022

He publicado nuevos examenes de Electrotecnia: Exámenes Resueltos Electrotecnia PAU 2022

Examen-Resuelto-Electrotecnia-de-Cataluna.pdf
Examen-Resuelto-Electrotecnia-de-Cataluna.pdf
Examen-Resuelto-Electrotecnia-de-Cataluna.pdf
Examen-Resuelto-Electrotecnia-de-Cataluna.pdf

examenes

-

Exámenes Electrotecnia PAU 2022

He publicado nuevos examenes de Electrotecnia: Exámenes Electrotecnia PAU 2022

Examen-Electrotecnia-de-Cataluna.pdf
Examen-Electrotecnia-de-Cataluna.pdf
Examen-Electrotecnia-de-Cataluna.pdf
Examen-Electrotecnia-de-Cataluna.pdf