Electrotecnia
ejercicios
-
Ejercicios
He publicado nuevos ejercicios de 2º Electrotecnia: Ejercicios
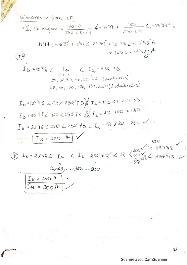
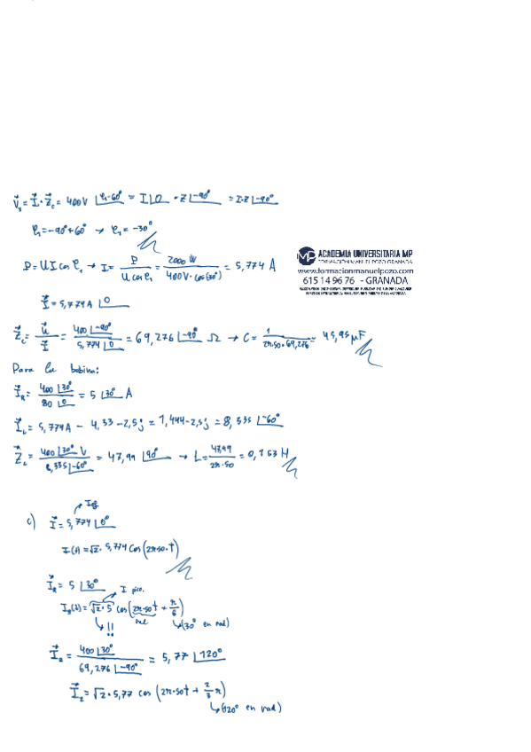
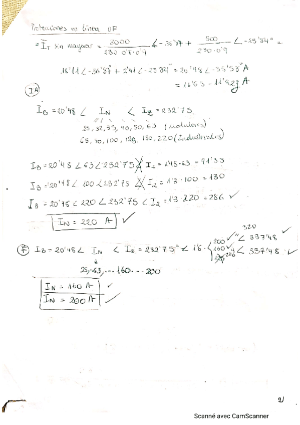
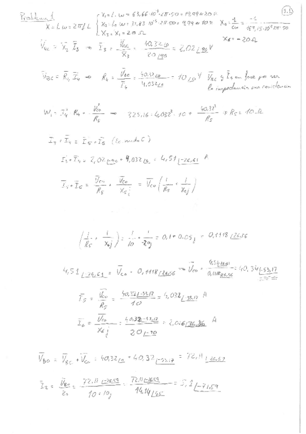
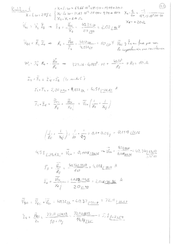
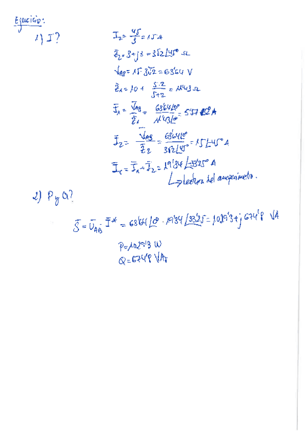
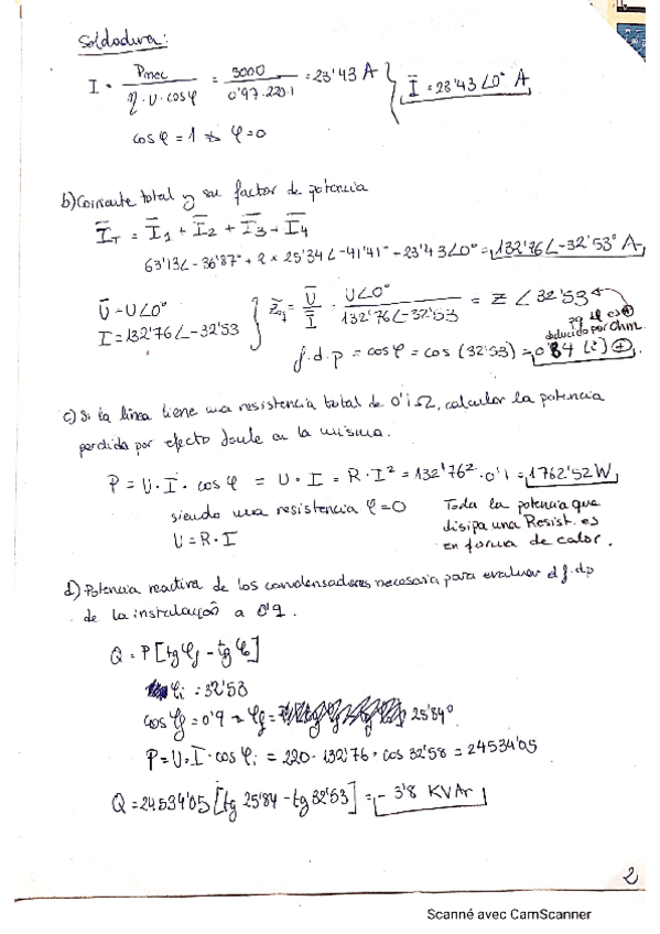
EJERCICIO RESUELTO ACADEMIA UNIVERSITARIA FORMACIÓN MANUEL POZO
EJERCICIO RESUELTO ACADEMIA UNIVERSITARIA FORMACIÓN MANUEL POZO
EJERCICIO RESUELTO ACADEMIA UNIVERSITARIA FORMACIÓN MANUEL POZO
EJERCICIO RESUELTO ACADEMIA UNIVERSITARIA FORMACIÓN MANUEL POZO
He publicado nuevos apuntes de 2º Electrotecnia: apuntes-de-potencia.pdf
He publicado nuevos apuntes de 2º Electrotecnia: ejercicos-hechos-en-clase.pdf
He publicado nuevos examenes de 2º Electrotecnia: EJERCICIOS-ELECTROTECNIA-GRADO-INGENIERIA-QUIMICA.pdf
INTENSIVO CURSO DE ELECTROTECNIA
ACADEMIA UNIVERSITARIA INTENSIVO ELECTROTECNIA GRADO INGENIERÍA QUÍMICA Resolución paso a paso de todos tus ejercicios y exámenes de años anteriores. TODAS TUS CLASES GRABADAS Y EN PDF PARA VISUALIZARLAS HASTA EL DÍA DEL EXAMEN. Clases online y presenciales. Horario de mañana y tarde.

Examen parcial 2020 prof Rafael. Curso electrotecnia_clases : alvaro99@correo.ugr.es
examenes
-
exámenes
He publicado nuevos examenes de 2º Electrotecnia: exámenes
He publicado nuevos examenes de 2º Electrotecnia: TIPO-TEST-ELECTRONICA.pdf
apuntes
-
Teoría 21-22
He publicado nuevos apuntes de 2º Electrotecnia: Teoría 21-22
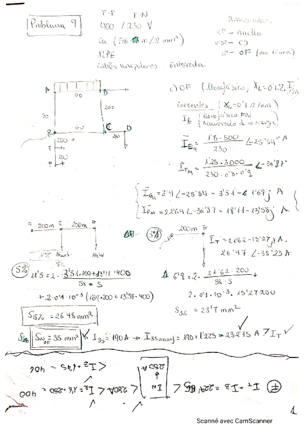
He publicado nuevos ejercicios de 2º Electrotecnia: Problemas-examen-Lineas.pdf
He publicado nuevos ejercicios de 2º Electrotecnia: Problemas-examen-Trifasica.pdf
He publicado nuevos ejercicios de 2º Electrotecnia: Problemas-examen-monofasica.pdf
He publicado nuevos practicas de 2º Electrotecnia: CamScanner-06-15-2022-10.pdf
examenes
-
Examen ordinaria 2022
He publicado nuevos examenes de 2º Electrotecnia: Examen ordinaria 2022
examenes
-
Examen extraordinaria 2022
He publicado nuevos examenes de 2º Electrotecnia: Examen extraordinaria 2022
He publicado nuevos apuntes de 2º Electrotecnia: ejercicios-transformadores.pdf
He publicado nuevos apuntes de 2º Electrotecnia: Ejercicios-Monofasica-.pdf
He publicado nuevos apuntes de 2º Electrotecnia: Resumen-Monofasica-.pdf
apuntes
-
Resumen Teoría importante
He publicado nuevos apuntes de 2º Electrotecnia: Resumen Teoría importante
apuntes
-
EXAMEN RESUELTO ELECTROTECNIA 2021
He publicado nuevos apuntes de 2º Electrotecnia: EXAMEN RESUELTO ELECTROTECNIA 2021
He publicado nuevos apuntes de 2º Electrotecnia: ProblemasresueltosTrifasica.pdf
He publicado nuevos apuntes de 2º Electrotecnia: ProblemasresueltosMonofasica.pdf
He publicado nuevos apuntes de 2º Electrotecnia: ProblemasresueltosLineas.pdf
He publicado nuevos apuntes de 2º Electrotecnia: EjerciciosresueltosMonofasica.pdf
He publicado nuevos apuntes de 2º Electrotecnia: FormularioTrifasica.pdf
He publicado nuevos apuntes de 2º Electrotecnia: FormularioTransformadores.pdf
He publicado nuevos apuntes de 2º Electrotecnia: FormularioMonofasica.pdf
apuntes
-
Problemas entregables resueltos
He publicado nuevos apuntes de 2º Electrotecnia: Problemas entregables resueltos
apuntes
-
Apuntes de la asignatura
He publicado nuevos apuntes de 2º Electrotecnia: Apuntes de la asignatura
examenes
-
Exámenes resueltos
He publicado nuevos examenes de 2º Electrotecnia: Exámenes resueltos
He publicado nuevos ejercicios de 2º Electrotecnia: Ejercicios-resueltos.pdf
ejercicios
-
problemas
He publicado nuevos ejercicios de 2º Electrotecnia: problemas
apuntes
-
teoría
He publicado nuevos apuntes de 2º Electrotecnia: teoría
apuntes
-
TRIFÁSICA
He publicado nuevos apuntes de 2º Electrotecnia: TRIFÁSICA
apuntes
-
Líneas eléctricas y transformadores
He publicado nuevos apuntes de 2º Electrotecnia: Líneas eléctricas y transformadores
apuntes
-
Monofásica
He publicado nuevos apuntes de 2º Electrotecnia: Monofásica
apuntes
-
Exámenes conv ordinaria 2020
He publicado nuevos apuntes de 2º Electrotecnia: Exámenes conv ordinaria 2020
apuntes
-
Teoría 2020-2021
He publicado nuevos apuntes de 2º Electrotecnia: Teoría 2020-2021
examenes
-
Enunciados parciales
He publicado nuevos examenes de 2º Electrotecnia: Enunciados parciales
He publicado nuevos apuntes de 2º Electrotecnia: Formularios-I-Resumenes-electrotecnia.pdf
apuntes
-
Resúmenes 2 parte
He publicado nuevos apuntes de 2º Electrotecnia: Resúmenes 2 parte
apuntes
-
TRANSFORMADORES TODO
He publicado nuevos apuntes de 2º Electrotecnia: TRANSFORMADORES TODO
apuntes
-
LÍNEAS TODO
He publicado nuevos apuntes de 2º Electrotecnia: LÍNEAS TODO
He publicado nuevos examenes de 2º Electrotecnia: EXAMENES-RESUELTOS-MONOFASICA.pdf
apuntes
-
TRIFÁSICA TODO
He publicado nuevos apuntes de 2º Electrotecnia: TRIFÁSICA TODO
He publicado nuevos apuntes de 2º Electrotecnia: 201806ProblemasExamenResueltos.pdf